101953 (614698), страница 3
Текст из файла (страница 3)
Выделение совокупности работ по каждому договору в качестве проекта означает, что в отношении данных работ выполняются следующие управленческие процедуры:
- управление содержанием проекта. При инициации проекта формируется план управления, представляющий собой совокупность документов: проектно-сметная и договорная документация, бюджет проекта, план закупок МТР и пр. Содержание проекта - перечень конкретных работ и объектов ремонта, который фиксируется в договорной и проектно-сметной документации. Оперативное управление работами и контроль за соблюдением технологии их выполнения возложены на технического руководителя проекта;
- управление временем проекта. Графики проведения работ являются неотъемлемой частью плана управления проектом. Соблюдение графиков контролируют технический руководитель проекта и менеджер проекта. Сбор информации о сроках выполнения проектов и анализ отклонений осуществляется производственно-техническим отделом;
- управление стоимостью проекта. Бюджет проекта определяется на основании договорной стоимости работ и всех потребляемых в ходе проекта ресурсов с учетом обеспечивающих процессов. Для выполнения данной функции разрабатывается соответствующая бюджетная модель;
- управление качеством проекта. Технический руководитель проекта контролирует качество выполняемых работ и в случае возникновения серьезных отклонений либо устраняет их сам, либо информирует менеджера проекта. Кроме того, технический руководитель проекта проверяет качество используемых МТР и принимает работу у субподрядных организаций. Менеджер ресурсов обеспечивает соблюдение технологии работ, норм охраны труда и техники безопасности. Технический руководитель проекта, менеджер ресурсов и менеджер проекта участвуют в сдаче проекта заказчику и обеспечивают выполнение требований по качеству;
- управление материальными и людскими ресурсами проекта. На стадии планирования технический руководитель проекта определяет необходимые ресурсы: перечень МТР, количество и квалификацию специалистов, объем субподрядных работ. Участники проектной группы на время реализации проекта переходят в оперативное управление технического руководителя проекта и менеджера проекта, оставаясь при этом в административном подчинении менеджера ресурсов. Все ресурсы (людские, материальные, привлекаемые подрядные организации), требуемые для выполнения работ, регистрируются в системе управленческого учета по каждому проекту;
- управление рисками проекта. Управление рисками реализуется через постоянный мониторинг состояния проектов производственно-техническим отделом и обсуждение возможных путей снижения рисков на заседаниях проектного комитета.
В целях идентификации и систематизации данных проекты классифицируются по менеджерам проектов, заказчикам, объектам работ, видам работ и видам оборудования. Сформированный в результате уникальный код проекта используется в учетной системе.
2.3 Применения проектных структур на примере ремонтного производственного предприятия ОАО «Электроремонт-ВКК»
Организационная структура предприятия разрабатывается с учетом особенностей проектной системы управления. Пример организационной структуры управления ОАО «Электроремонт-ВКК», внедрившего проектное управление, представлен на рис. 2. В структуре предприятия роль менеджера проекта выполняют коммерческие директора, роль владельцев ресурсов - директора филиалов. Вся инфраструктура, обеспечивающая функционирование предприятия, контролируется директором по операционной деятельности. Распределение функций и ответственности между менеджерами компании и основными подразделениями отражено в таблице.
Существенные изменения системы управления предполагают пересмотр принципов, заложенных в систему мотивации персонала. Очевидно, что в условиях проектного управления вознаграждение сотрудников предприятия следует непосредственно увязать с эффективностью выполнения проектов и готовностью к их реализации. Необходимо создать такую систему мотивации, при которой согласование различных, порой противоречивых интересов менеджеров позволит получить максимальный эффект от совместной деятельности.
Система оплаты труда и премирования при внедрении проектного управления базируется на следующих принципах:
- зоны ответственности различных категорий менеджеров не совпадают;
- вознаграждение менеджеров определяется достижением результатов в установленной зоне ответственности;
- вознаграждение участников проектных групп зависит от объемов и качества выполняемых работ;
- система оплаты труда и премирования тесно взаимосвязана с системой бюджетирования предприятия.
В ОАО «Электроремонт-ВКК» для различных категорий персонала были применены следующие виды вознаграждения:
1. Производственный персонал. Участники проекта, непосредственно выполняющие работы по нему, получают вознаграждение из фонда заработной платы проекта с учетом затраченного на выполнение проекта времени и уровня квалификации. Фонд заработной платы напрямую зависит от чистой стоимости проекта (стоимость работ без учета приобретенных ресурсов - услуги субподрядных организаций, материалы) и сроков выполнения работ.
2. Директора филиалов. Вознаграждение директоров филиалов зависит от фонда заработной платы персонала и уровня средней заработной платы по филиалу, что обеспечивает заинтересованность директоров в наличии производственного персонала требуемой численности и в повышении его квалификации. Наличие невостребованного персонала становится невыгодным.
3. Коммерческие директора. Единственным ограничителем вознаграждения коммерческого директора является превышение фактически полученной маржинальной прибыли по проектам над ее нормативной величиной. Такой способ мотивации коммерческого директора обусловлен его широкими полномочиями в отношении принятия решений по заключаемым договорам и использованию ресурсов, а также уровнем ответственности перед заказчиками.
4. Административный и технический персонал. Результаты деятельности административного и технического персонала оцениваются в соответствии с качеством и сроками проведенных работ, полнотой выполняемых функций, определенных должностными инструкциями. В случае соблюдения вышеназванных условий сотрудники операционного и технического центров получают дополнительное вознаграждение (в процентах к установленному окладу).
Внедрение системы проектного управления предполагает создание бюджетной модели, предусматривающей разделение полномочий и ответственности при решении задач в различных сферах деятельности.
Бюджетная модель строится с учетом следующих принципов:
- управление деятельностью посредством построения финансовой структуры предприятия;
- принятие управленческих решений через формирование бюджетов структурных единиц, выделяемых в рамках финансовой структуры;
- регулирование финансово-экономической деятельности путем создания целевых фондов;
- установление и обеспечение достижения целевых показателей деятельности.
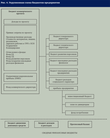
Финансовая структура предприятия схематично отражена на рис. 3, а взаимосвязь бюджетов предприятия - на рис. 4.
В основе бюджетной модели лежит механизм нормативного распределения средств по целевым фондам, которые являются источником финансирования различных направлений деятельности. Такой способ финансового управления позволяет менеджерам предприятия в рамках своих полномочий влиять на величину создаваемых источников и принимать самостоятельные решения по их использованию для достижения поставленных целей при обязательном условии недопущения перерасхода фонда. Система управления становится саморегулируемой, не требует принятия оперативных решений на уровне генерального директора.
Бюджет проекта не отражает операционной прибыли по каждому проекту, поскольку косвенные расходы не распределяются между проектами, а финансируются из специально созданных фондов. Целевые фонды формируются путем отчислений в пределах установленных нормативов.
Отчисления в целевые фонды включаются в расходную часть проекта и участвуют в создании маржинальной прибыли проекта, которая является целевой величиной, обеспечивающей получение прибыли и покрытие части накладных (управленческих) расходов, не финансируемых из других фондов. Превышение маржинальной прибыли проекта над его целевой величиной представляет собой доход менеджера проекта, что обусловливает стремление менеджера проекта к максимизации данного показателя.
Основной сложностью рассматриваемой бюджетной модели можно назвать построение учетной системы, отличной по своей структуре от бухгалтерской. Проблема решается посредством организации управленческого учета параллельно с бухгалтерским на основе единой базы первичной документации в рамках единой информационной системы. Кроме того, для повышения достоверности данных управленческого учета устанавливается перечень показателей, по которым данные бухгалтерского и управленческого учета совпадают.
Внедрение новых методов управления осуществляется последовательно: сначала опытная эксплуатация, а затем запуск системы в реальном режиме. В ходе опытной эксплуатации предприятие функционирует по действующим правилам, новые принципы отрабатываются параллельно. На данном этапе моделируется и просчитывается заработная плата персонала в соответствии с новой системой оплаты труда, формируются бюджеты с учетом специфики проектной деятельности, внедряются и отрабатываются элементы управленческого учета (учет рабочего времени по проектам, учет расходов по проектам), создается программа обучения персонала.
Для согласования действий менеджеров всех уровней целесообразно регулярно проводить заседания коллегиального органа управления, в состав которого должны входить все менеджеры, участвующие в проектной деятельности. В ОАО «Электроремонт-ВКК» для этих целей создан проектный комитет, основная задача которого - разрешение спорных, выходящих за рамки регламентов, ситуаций в ходе реализации проектов, а также координация деятельности участников проектного управления.
Заключение
В качестве заключения на мой взгляд можно привести ряд обобщающих выводов.
Эффективное функционирование организация предполагает построение определенной организационной структуры. Главной целью формирования организационной структуры является установление четких взаимосвязей между отдельными подразделениями организации, распределение между ними задач, прав и ответственности. Если все взаимосвязи, описываемые организационной структурой, применены правильно, то они ведут к гармоничному сотрудничеству и общему стремлению выполнить поставленные перед предприятием задачи.
Организационная структура - это своеобразный скелет организации, и если она выстроена неправильно, это ведет к различным патологиям, как то неэффективное выполнение бизнес-процессов компании, что приводит к тому, что организация не достигает ожидаемых результатов, либо их достигает, но с большим трудом, чем могла бы. Построение рациональной организационной структуры равносильно подбору слаженной проектной команды и разумному распределению ролей между ее участниками. Если все сделано верно, - команда будет работать слаженно и достигнет планируемых результатов.
На сегодняшний день наиболее распространенными являются линейно-функциональная, целевая и матричная структуры управления организацией.
Проектные структуры - это структуры управления комплексными видами деятельности, которые из-за их решающего значения для компании требуют обеспечения непрерывного координирующего и интегрирующего воздействия при жестких ограничениях по затратам, срокам и качеству работ.
Проектные структуры в компании, как правило, применяются тогда, когда возникает необходимость разработать и осуществить организационные проект комплексного характера, охватывающий, с одной стороны, решение широкого круга специализированных технических, экономических, социальных и иных вопросов, и, с другой стороны, деятельность различных функциональных и линейных подразделений. К организационным проектам можно отнести любые процессы целенаправленных изменений в системе, например, реконструкцию производства, разработку и освоение новых видов продукции и технологических процессов, строительство объектов и т. д.
Проектная структура управления предполагает обеспечение централизованного управления всем ходом работ по каждому крупному проекту.
Существует несколько типов проектных структур. В качестве одной из их разновидностей можно привести так называемые чистые или сводные проектные структуры управления, подразумевающие формирование специального подразделения - проектной команды, работающей на временной основе.
Чисто проектные структуры, как правило, используются для решения каких-либо особенно крупномасштабных задач. В случае менее крупных проектов затраты на дублирование уже существующих в компании служб в проектной структуре управления становятся нерациональными. В таких относительно небольших проектах его руководитель может выступать в качестве консультанта высшего руководства фирмы. Или же кто-нибудь из высшего руководящего состава компании координирует реализацию проекта в рамках обычной линейно-функциональной структуры.
Проектные структуры занимаются оперативным и стратегическим управлением только в рамках проекта.















