101196 (614428), страница 2
Текст из файла (страница 2)
В отношении работников, достигших определенной стадии личностного развития, очень важными мотиваторами становятся возможности самовыражения и наличие "вызова", который содержит в себе та или иная деятельность. Этому аспекту уделяется очень серьезное внимание, что нашло отражение, в частности, в уже рассмотренной нами системе планирования карьеры в фирмах, и в выработке определенного стиля управления, а также в идеологии, или философии фирмы, предусматривающих бережное отношение к людским ресурсам и высокий уровень требовании к профессионализму и этике в деловых отношениях.
1.2 Основные типы организации оплаты труда
В условиях формирования рыночных отношений предприятия, получившие право самостоятельно решать вопросы организации заработной платы, используют для этого различные модели и подходы.
Под организацией заработной платы понимается ее построение, обеспечение взаимосвязи количества труда с размерами его оплаты, а также совокупность составных элементов. В настоящее время принято выделять тарифный и бестарифный типы организации оплаты труда на предприятии.
Основными элементами организации оплаты труда тарифного типа являются: нормирование труда, тарифная система, формы и системы заработной платы. Каждый элемент имеет строго определенное назначение.
Нормирование труда — это установление научно обоснованных затрат труда и его результатов: норм времени, численности, управляемости обслуживания, выработки, нормированных заданий. Без этого невозможно учесть количество труда, индивидуальный вклад каждого работника в общие результаты.
Формы и системы заработной платы — это механизм установления размера заработка в зависимости от количественного результата и качества труда (его сложности, интенсивности, условий).4
Тарифная система представляет собой совокупность различных нормативных материалов, с помощью которых устанавливается уровень заработной платы работников на предприятии в зависимости от квалификации работников (сложности работ), условий труда, географического расположения предприятия и других отраслевых особенностей. К числу основных элементов тарифной системы относятся тарифные сетки, тарифные ставки, тарифно-квалификационные справочники, должностные оклады, тарифные справочники должностей служащих, надбавки и доплаты к тарифным ставкам, районные квалификационные коэффициенты к заработной плате.
Тарифная сетка – шкала разрядов, каждому из которых присвоен свой тарифных коэффициент, показывающий, во сколько раз тарифная ставка любого разряда больше первого. Тарифный коэффициент первого разряда всегда равен единице. Количество разрядов и величины, соответствующих им тарифных коэффициентов определяются коллективным договором, заключаемым на предприятии. Коллективный договор разрабатывается на основе тарифного соглашения и не должен предусматривать ухудшение положения работников по сравнению с его условиями.
Тарифная ставка – выраженный в денежной форме абсолютный размер оплаты труда в единицу рабочего времени. На основе тарифной сетки и тарифной ставки первого разряда рассчитываются тарифные ставки каждого последующего разряда. Тарифная ставка первого разряда определяется коллективным договором предприятия и зависит, с одной стороны, от его финансовых возможностей, а с другой – от условий оплаты труда, отраженных в отраслевом соглашении. При этом она не должна быть законодательно ниже установленного уровня минимальной заработной платы. Тарифная ставка является исходной величиной для установления уровня оплаты труда рабочих независимо от того, какие формы и системы оплаты труда применяются на предприятии.
В зависимости от избранной единицы времени тарифные ставки бывают часовые, дневные и месячные (оклады). Наибольшее распространение имеют часовые тарифные ставки, так как на их основе исчисляются различные доплаты. Дневная и месячные ставки рассчитываются путем умножения часовой ставки на количество часов в рабочей смене и среднемесячное количество отработанных часов в месяц.
Тарифно-квалификационные справочники — это нормативные документы, с помощью которых устанавливается разряд работы и рабочего. В них содержится информация о том, что должен знать теоретически и уметь практически рабочий каждого разряда каждой специальности. Указанные справочники состоят из трех разделов: «Характеристика работ», «Должен знать» и «Примеры работ».
Квалификационный разряд присваивается рабочему квалификационной комиссией (обычно цеховой или заводской).5
Предприятия, использующие традиционные подходы в организации оплаты труда, применяют тарифные сетки, тарифные ставки и тарифно-квалификационные справочники для определения размеров заработной платы рабочих. Для служащих, являющихся работниками управленческого труда на таких предприятиях, применяют штатно-окладную систему. Ее особенностью является составление штатного расписания, где указываются перечень должностей, имеющихся на конкретном предприятии, численность работников по каждой должности и размеры месячных окладов.
Аттестационная комиссия предприятия на основе использования квалификационных справочников должностей в процессе аттестации присваивает служащим квалификационную категорию. Квалификационный справочник должностей служащих состоит из отдельных характеристик. Каждая квалификационная характеристика имеет три раздела. «Должностные обязанности», «Должен знать», «Квалификационные требования». Как и тарифно-квалификационный справочник, квалификационный справочник должностей служащих имеет рекомендательный характер и может произвольно использоваться предприятиями с корректировкой и внесением изменений в его разделы. Периодичность проведения аттестации служащих определяется самим предприятием.
Многие предприятия сейчас идут по пути поиска новых, наиболее эффективных подходов к организации оплаты труда на основе элементов традиционной тарифной системы. Это позитивный процесс, который является следствием предоставления предприятиям самостоятельности в решении рассматриваемых вопросов. Наиболее широкое применение получает использование общей тарифной сетки для организации оплаты труда всех работающих на предприятии. Как правило, количество разрядов, присваиваемых рабочим, остается прежним (6—8). Максимальное количество разрядов в сетке и соответствующий им тарифный коэффициент могут быть определены на конкретном предприятии произвольно и обязательно закреплены в коллективном договоре.
К основным элементам тарифной системы относятся также районные коэффициенты и надбавки к заработной плате за стаж работы в неблагоприятных климатических районах. Районный коэффициент представляет собой нормативный показатель степени увеличения заработной платы в зависимости от месторасположения предприятия, организации. Он устанавливается непосредственно к заработной плате, на которую распространен. Районные коэффициенты могут колебаться в пределах от 1,0 до 2,0.
Для целей анализа трудовых показателей, начисления заработка, становления доплат необходимо иногда использование величин среднего разряда работ, рабочих, установление среднего тарифного коэффициента, средней тарифной ставки. Все эти показатели определяются на основе элементов действующей на предприятии тарифной системы оплаты труда.
Для целей анализа трудовых показателей, начисления заработка, становления доплат необходимо иногда использование величин среднего разряда работ, рабочих, установление среднего тарифного коэффициента, средней тарифной ставки. Все эти показатели определяются на основе элементов действующей на предприятии тарифной системы оплаты труда.
Средний разряд рабочих исчисляется по формул
где Ч - численность рабочих с одинаковым разрядом;
Н - номер разряда рабочего.
Установление среднего разряда работы, необходимое для проведения аналитической работы по выявлению резервов роста производительности труда, связанных со структурой кадров, может осуществляться по одной их двух методик.
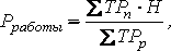
1. Если имеется или возможна группировка трудоемкости работ по разрядам, то для расчета среднего разряда работы применяется формула
где ТРп – трудоемкость производственной программы;
ТРр – трудоемкость работ по каждому разряду.
2. Если предыдущий вариант расчета невозможен или затруднителен, то используется методика, основанная на применении средней тарифной ставки работ. В этом случае средний разряд работ определяется следующим образом
где Рм - тарифный разряд, соответствующий меньшей из двух смежных тарифных ставок, между которыми находится средняя тарифная ставка;
Тс - средняя тарифная ставка;
Тм - меньшая из двух смежных тарифных ставок;
Тб - большая из двух смежных тарифных ставок.
Или
где Рб - тарифный разряд, соответствующий большей из двух смежных тарифных ставок, между которыми находится средняя тарифная ставка.
При расчете средней тарифной ставки может быть использована одна из двух методик:
где Т - тарифная ставка рабочих (работ), имеющих одинаковый разряд;
Ч - численность рабочих, имеющих одинаковый разряд.
Эта методика расчета наиболее приемлема для оценки средней тарифной ставки рабочих-повременщиков.
где ТРр - трудоемкость работ по каждому разряду.
По этой формуле рассчитывается средняя тарифная ставка работ, трудоемкость которых известна.
Средняя тарифная ставка может быть также определена как произведение среднего тарифного коэффициента на тарифную ставку первого разряда.
Средний тарифный коэффициент исчисляется по одной из формул:
где К - тарифный коэффициент, соответствующий разряду данной группы рабочих (работ);
Ч - численность рабочих, имеющих одинаковые разряды;
ТРр - трудоемкость работ, имеющих одинаковые разряды;
Кб, Км - тарифные коэффициенты, соответствующие большему и меньшему из двух смежных разрядов, между которыми находится средний разряд;
Рс - средний тарифный разряд рабочих (работ);
Рб, Рм - больший и меньший из двух смежных разрядов тарифной сетки, между которыми находится средний разряд.6
Для аналитических целей расчет вышеприведенных средних показателей целесообразен только по рабочим, так как тарифный коэффициент и разряд у них характеризуют уровень квалификации, сопоставимый с требованиями к этой квалификации, обусловленными сложностью работы. Руководителям, специалистам и служащим при использовании Единой тарифной сетки разряд присваивается с целью четкой дифференциации в оплате труда.
Бестарифный тип организации заработной платы предусматривает оплату не столько по индивидуальным, сколько по конечным результатам работы. Такая организация предполагает установление не фиксированных уровней оплаты труда для отдельных работников, а определение коэффициентов их долевого участия в фонде оплаты труда предприятия. Бестарифный вариант оплаты труда характеризуется следующими основными чертами:
· тесной связью уровня оплаты труда работника с фондом заработной платы, начисляемым по коллективным результатам работы (в этом качестве «бестарифные» системы оплаты принадлежат к классу коллективных систем оплаты труда);
· присвоением каждому работнику постоянных (относительно постоянных) коэффициентов, комплексно характеризующих его квалификационный уровень и определяющих в основном его трудовой вклад в общие результаты труда по данным о предыдущей трудовой деятельности работника или работников, относимых к этому квалификационному уровню (своего рода базовый коэффициент трудового участия, применяемый в коллективных системах оплаты);
· определение коэффициентов трудового участия каждого работника в текущих результатах деятельности, дополняющих опенку его квалификационного уровня.
Индивидуальная заработная плата (ЗП) каждого работника представляет собой его долю в заработанном всем коллективом фонде заработной платы (фонде оплаты труда). Формула ее расчета может быть представлена в следующем виде:















