101016 (614358)
Текст из файла
Федеральное агентство морского и речного транспорта
Федеральное государственное образовательное учреждение
высшего профессионального образования
ВОЛЖСКАЯ ГОСУДАРСТВЕННАЯ АКАДЕМИЯ ВОДНОГО ТРАНСПОРТА
Кафедра: экономики и менеджмента
ОПЕРАТИВНО ПРОИЗВОДСТВЕННОЕ ПЛАНИРОВАНИЕ
Курсовая работа
Тема: Сетевое планирование
Выполнил: Ляпин М.С.
Нижний Новгород
2007г.
Задание №2.
Исходные данные
| № работы | Содержание работы | Работы, окончание которых является необходимым условием для начала рассматриваемой | Время выполнения, сут. |
| Стратегическое планирование проекта | |||
| 1. | Разработка технической конфигурации | - | 3 |
| 2. | Разработка первоначального финансового плана | 1 | 9 |
| 3. | Юридическое согласование | 1 | 3 |
| 4. | Уточнение источников финансирования | 2 | 2 |
| 5. | Обоснование и принятие решения о выборе между собственным изготовлением и закупкой оборудования | 3 | 2 |
| Оперативное планирование проекта | |||
| 6. | Изготовление работы чертежей и документации | 4,5 | 2 |
| 7. | Подготовка и прекращение работы старого оборудования | 4,5 | 2 |
| 8. | Закупка материалов и комплектующих | 6 | 4 |
| 9. | Демонтаж старого оборудования | 7 | 2 |
| 10. | Планирование монтажа нового оборудования | 8 | 2 |
| 11. | Разработка справочника по обслуживанию оборудования | 6 | 2 |
| 12. | Изготовление оборудования | 8 | 93 |
| 13. | Подготовка монтажа оборудования | 9,10,11 | 1 |
| 14. | Обучение обслуживающего персонала | 9,10,11 | 3 |
| 15. | Монтаж нового оборудования | 12,13 | 2 |
| 16. | Испытание и приемка | 14,15 | 1 |
| 17. | Включение в производственный процесс | 16 | 2 |
Задание № 3
Определить все полные пути, их продолжительность, выделить критический путь.
Таблица №1
| Наименование полного пути | Продолжительность пути | Резервы времени пути | Коэффициент напряженности | |
| 1 | 0-1-2-4-5-7-9-10-11-12 | 118 | 0 | 1 |
| 2 | 0-1-2-4-5-8-9-10-11-12 | 24 | 94 | 0,203 |
| 3 | 0-1-2-4-5-8-10-11-12 | 24 | 94 | 0,203 |
| 4 | 0-1-2-4-5-7-8-10-11-12 | 28 | 90 | 0,237 |
| 5 | 0-1-2-4-5-7-8-9-10-11-12 | 28 | 90 | 0,237 |
| 6 | 0-1-2-4-6-8-10-11-12 | 24 | 94 | 0,203 |
| 7 | 0-1-2-4-6-8-9-10-11-12 | 24 | 94 | 0,203 |
| 8 | 0-1-3-4-5-7-9-10-11-12 | 112 | 3 | 0,949 |
| 9 | 0-1-3-4-5-8-9-10-11-12 | 18 | 100 | 0,152 |
| 10 | 0-1-3-4-5-7-8-10-11-12 | 22 | 96 | 0,186 |
| 11 | 0-1-3-4-6-8-10-11-12 | 18 | 100 | 0,152 |
| 12 | 0-1-3-4-6-8-9-10-11-12 | 18 | 100 | 0,152 |
| 13 | 0-1-3-4-5-8-10-11-12 | 18 | 100 | 0,152 |
| 14 | 0-1-3-4-5-7-8-9-10-11-12 | 22 | 96 | 0,186 |
Пример:
путь 0-1-3-4-6-8-10-11-12
Продолжительность полного пути определяется суммированием продолжительности работ составляющих этот путь
L=3+3+2+2+2+3+1+2=18
Резерв времени полного пути
R(L)=TKp - T(L)
118-24=94
Кн = 24/118=0,203
Задание №4
По данным задания 2 и 3 определить графически и в табличной форме параметры событий и работ.
Таблица №2
| Работ а (i,j) | Прод-ть работы (i,j) | Ранние сроки совершения событий | Поздний срок события, j | Резерв времен и события ия | Резервы времени работ | Коэф- нт напр. работ (i,j) | ||||
| i | j | Полный | Свободный | |||||||
| 1 | 2 | 3 | 4 | 5 | 6 | 7 | 8 | 9 | ||
| 0,1 | 3 | 0 | 3 | 3 | 0 | 0 | 0 | 1(к) | ||
| 1,2 | 9 | 3 | 12 | 12 | 0 | 0 | 0 | 1(к) | ||
| 1,3 | 3 | 3 | 6 | 12 | 6 | 6 | 0 | 0,455 (п) | ||
| 2,4 | 2 | 12 | 14 | 14 | 0 | 0 | 0 | 1(к) | ||
| 3,4 | 2 | 6 | 14 | 14 | 0 | 6 | 6 | 0,455 (п) | ||
| 4,5 | 2 | 14 | 16 | 16 | 0 | 0 | 0 | 1(к) | ||
| 4,6 | 2 | 14 | 16 | 110 | 94 | 94 | 0 | 0,05 (р) | ||
| 5,7 | 4 | 16 | 20 | 20 | 0 | 0 | 0 | 1(к) | ||
| 5,8 | 2 | 16 | 22 | 112 | 90 | 94 | 4 | 0,03 (р) | ||
| 6,8 | 2 | 16 | 22 | 112 | 90 | 94 | 4 | 0,05 (р) | ||
| 7,8 | 2 | 20 | 22 | 112 | 90 | 90 | 0 | 0,03 (р) | ||
| 7,9 | 93 | 20 | 113 | 113 | 0 | 0 | 0 | 1(к) | ||
| 8,9 | 1 | 22 | 113 | 113 | 0 | 90 | 90 | 0,03 (р) | ||
| 8,10 | 3 | 22 | 115 | 115 | 0 | 90 | 90 | 0,05 (р) | ||
| 9,10 | 2 | 113 | 115 | 115 | 0 | 0 | 0 | 1(к) | ||
| 10,11 | 1 | 115 | 116 | 116 | 0 | 0 | 0 | 1(к) | ||
| 11,12 | 2 | 116 | 118 | 118 | 0 | 0 | 0 | 1(к) | ||
(к)- критическая зона
(п) - подкритическая зона
(р) - резервная зона
Пример
Работа (1,3)
Резерв времени
Rn(j)=Tп(j)-Tp(j)
Rn(3)=12-6
Полный резерв времени
Rn(i,j)=Tп(j)-Tp(i)-T(i,j)
Rn(1,3) 12-3-3=6
Свободный резерв времени работы
Rc( i,j)=Rn(i,j)-R(j)
Rc(l,3)=2-2=0
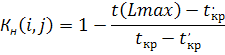
Коэффициент напряженности работы позволяет определить степень сложности выполнения в срок каждой группы работ
где:
t (Lmax) - продолжительность максимального пути, проходящего через работу (i,j);
tкp - длина критического пути;
tкр'- продолжительность (длина) отрезка рассматриваемого пути, совпадающего с критическим.
Кн(5.8)=(116-97)/(118-96)=0,03
По результатам расчета коэффициента напряженности работ классифицировать работы по зонам:
-
критическая (Кн>0,8)
-
подкритическая (0,6<=Кн<=0,8)
-
резервная зона (Кн< 0,6)
Задание №5
Оптимизация - это процесс улучшения организации выполнения работ с учетом срока выполнения. Она проводится для сокращения длины критического пути, регулирования степени напряженности работ, более рационального использования всех видов ресурсов. Критический путь должен составить 25 дней.
Оптимизация сетевой модели производится по времени. Будет использован метод привлечение дополнительных ресурсов (рабочих мест).
Условно принимаем число рабочих мест на начальном этапе оптимизации по всем работам, кроме изготовления оборудования, равным 1 человеку. При изготовлении оборудования - 5 человек.
На критическом пути наибольшую продолжительность имеет 12 работа: изготовление оборудования - 75 дней. Начнем оптимизацию с данной работы. Сократим продолжительность до 7 дней. Тогда число рабочих определяется следующим образом:
Сократим продолжительность стратегического планирования проекта по следующим работам:
-
Разработку первоначального финансового плана выполняет 1 рабочий за 7 дней. Внесем изменения: пусть 7 рабочих за 1 день разработают данный план;
-
Обоснование и принятие решения о выборе между собственным изготовлением и закупкой оборудования производится за 1 день 2 рабочими.
Сократим продолжительность оперативного планирования проекта по таким направлениям:
1) Монтаж нового оборудования будет осуществляться за 1 день 2
рабочими;
2) Включение в производственный процесс будет так же осуществляться двумя рабочими за 1 день.
Таким образом, продолжительность критического пути сократилась от 98 дней до 25, а общее число работников для осуществления данного проекта возросло с 21 человека до 80.
Характеристики
Тип файла документ
Документы такого типа открываются такими программами, как Microsoft Office Word на компьютерах Windows, Apple Pages на компьютерах Mac, Open Office - бесплатная альтернатива на различных платформах, в том числе Linux. Наиболее простым и современным решением будут Google документы, так как открываются онлайн без скачивания прямо в браузере на любой платформе. Существуют российские качественные аналоги, например от Яндекса.
Будьте внимательны на мобильных устройствах, так как там используются упрощённый функционал даже в официальном приложении от Microsoft, поэтому для просмотра скачивайте PDF-версию. А если нужно редактировать файл, то используйте оригинальный файл.
Файлы такого типа обычно разбиты на страницы, а текст может быть форматированным (жирный, курсив, выбор шрифта, таблицы и т.п.), а также в него можно добавлять изображения. Формат идеально подходит для рефератов, докладов и РПЗ курсовых проектов, которые необходимо распечатать. Кстати перед печатью также сохраняйте файл в PDF, так как принтер может начудить со шрифтами.















