99843 (613953)
Текст из файла
– анализируется система управления в ООО "ЮМА", стратегия управления производством, мотивация;
– анализируется техническое оснащение предприятия ООО "ЮМА", ряд его экономических показателей;
– проводится анализ структуры оборотных средств, анализ себестоимости продукции, анализ рентабельности, финансового состояния, трудовых показателей, анализ использования трудовых ресурсов, анализ производительности труда, анализ заработной платы;
– производится расчет экономического эффекта, расчет эффективности управленческого труда.
– на основе обобщения подходов, описанных в специальной литературе, формулируется концепция стратегического менеджмента в ООО "ЮМА", действующей на российском рынке;
Объектом исследования в настоящей работе является малое частное предприятие ООО "ЮМА". Предметом исследования – её хозяйственная деятельность.
1. Краткая характеристика объекта
-
Организационно-правовая форма и структура предприятия
Малое частное предприятие ООО "ЮМА" является обществом с ограниченной ответственностью.
Внутренняя среда организации – это часть общего окружения, которая находится в рамках организации. Она оказывает непосредственное воздействие на функционирование организации и состоит из нескольких элементов, каждый из которых включает в себя набор ключевых процессов и элементов организации, определяющих ее потенциал и возможности.
Организационная структура управления ООО "ЮМА" представлена на рисунке 1.
Рис. 1. Структура управления ООО "ЮМА"
Во главе ООО "ЮМА" находится совет учредителей, состоящий из учредителей предприятия. Он является координационным и управляющим центром и осуществляет руководство над предприятием.
Директор является главным менеджером организации. Он несет персональную ответственность за положение дел на предприятии, отвечает за подбор и расстановку кадров на предприятии и отчитывается перед учредителями.
Заместитель директора ведет учет и управление над производственными затратами, контролирует изменения в фактической себестоимости продукции. Он осуществляет внедрение новых и совершенствует действующие технологические процессы, контролирует качество продукции и соблюдение технологии. Следит за выполнением всех работ по обеспечению бесперебойной эксплуатации, обслуживания и ремонта механического и энергетического оборудования цеха, осуществляет техническое руководство, разрабатывает оперативно-календарные планы производства продукции. Заместитель директора курирует сбыт произведенной продукции и отвечает за поставки сырья.
Вместе с директором они руководят и отвечают за состояние работ, психологический климат в коллективе и за результаты всех видов его производственно-хозяйственной деятельности. Они распределяют работу, контролируют соблюдение технологической и трудовой дисциплины и обеспечивают достижение высоких конечных показателей.
Столяры, разнорабочие, водитель непосредственно участвуют в производственном процессе.
1.2. Система управления
1.2.1. Структура (линейная, функциональная, дивизионная, адаптивная)
Функции управления деятельностью предприятия реализуются подразделениями аппарата управления и отдельными работниками, которые при этом вступают в экономические, организационные, социальные, психологические и другие отношение друг с другом. Организационные отношения, складывающиеся между подразделениями и работниками аппарата управления предприятия, определяют его организационную структуру.
Под организационной структурой управления предприятием понимается состав (перечень) отделов, служб и подразделений в аппарате управления, системная их организация, характер соподчиненности и подотчетности друг другу и высшему органу управления фирмы, а также набор координационных и информационных связей, порядок распределения функций управления по различным уровням и подразделениям управленческой иерархии.
Базой для построения организационной структуры управления предприятием является организационная структура производства. Многообразие функциональных связей и возможных способов их распределения между подразделениями и работниками определяет разнообразие возможных видов организационных структур управления производством. Все эти виды сводятся в основном к четырем типам организационных структур: линейным, функциональным, дивизиональным и адаптивным.
Сущность линейной (иерархической) структуры управления состоит в том, что управляющие воздействия на объект могут передаваться только одним доминантным лицом – руководителем, который получает официальную информацию только от своих, непосредственно ему подчиненных лиц, принимает решения повеем вопросам, относящимся к руководимой им части объекта, и несет ответственность за его работу перед вышестоящим руководителем (рис. 2).
Рис. 2. Линейная структура управления: Р – руководитель; Л – лин. органы управления (лин. руководители); И– исполнители
Данный тип организационной структуры управления применяется в условиях функционирования мелких предприятий с несложным производством при отсутствии у них разветвленных кооперированных связей с поставщиками, потребителями, научными и проектными организациями и т. д. В настоящее время такая структура используется в системе управления производственными участками, отдельными небольшими цехами) а также небольшими фирмами однородной и несложной технологии. Функциональная структура (Рис. 3) сложилась как неизбежный результат усложнения процесса управления. Особенность функциональной структуры заключается в том, что хотя и сохраняется единоначалие, но по отдельным фикциям управления формируются специальные подразделения, работники которых обладают знаниями и навыками работы в данной области управления.
Рис. 3. Функциональная структура управления: Р – руководитель; Ф – функц. органы управления (функц. руководители); И – исполнители
В принципе создание функциональной структуры сводится к группировке персонала по тем широким задачам, которые он выполняет. Конкретные характеристики и особенности деятельности того или иного подразделения (блока) соответствуют наиболее важным направлениям деятельности всего предприятия.
Традиционные функциональные блоки предприятия – это отделы производства, маркетинга, финансов. Это широкие области деятельности, или функции, которые имеются на каждом предприятии для обеспечения достижения его целей.
Если размер всей организаций или данного отдела велик, то основные функциональные отделы можно, в свою очередь, подразделить на более мелкие функциональные подразделения. Они называются вторичными, или производными. Основная идея здесь состоит в том, чтобы максимально использовать преимущества специализации и не допускать перегрузки руководства. При этом необходимо соблюдать известную осторожность с тем, чтобы такой отдел (или подразделение) не ставил бы свои собственные цели выше общих целей всего предприятия.
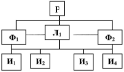
На практике обычно используется линейно-функциональная, или штабная, структура, предусматривающая создание при основных звеньях линейной структуры функциональных подразделений (Рис. 4). Основная роль этих подразделений состоит в подготовке проектов решений, которые вступают в силу после утверждения соответствующими линейными руководителями.
Рис. 4. Линейно-функциональная структура управления: Р – руководитель; Ф – функциональные органы управления (функциональные руководители); Л – линейные органы управления: И – исполнители
Наряду с линейными руководителями существуют руководители функциональных подразделений (планового, технического, финансового отделов, бухгалтерии), подготавливающие проекты планов, отчетов, которые превращаются в официальные документы после подписания линейными руководителями.
Основным достоинством этой структуры является то, что она, сохраняя целенаправленность линейной структуры, дает возможность специализировать выполнение отдельных функций и тем самым повысить компетентность управления в целом.
Необходимость новых подходов к организации управления была вызвана резким увеличением размеров предприятий, диверсификацией их деятельности и усложнением технологических процессов в условиях динамично меняющейся внешней среды. Первыми перестройку структуры по этой модели начали крупнейшие организации, которые в рамках своих гигантских предприятий (корпораций) стали создавать производственные отделения, предоставляя им определенную самостоятельность в осуществлении оперативной деятельности. В то же время администрация оставляла за собой право жесткого контроля по общекорпоративным вопросам стратегии развития, научно-исследовательских разработок, инвестиций и т. п. Поэтому данный тип структуры нередко характеризуют как сочетание централизованной координации с децентрализованным управлением (децентрализация при сохранении координации и контроля).
Ключевыми фигурами в управлении организациями с дивизиональной структурой становятся не руководители функциональных подразделений, а управляющие (менеджеры), возглавляющие производственные отделения.
Структуризация организации по отделениям производится обычно по одному из трех критериев; по выпускаемой продукции или предоставляемым услугам (продуктовая специализация), по ориентации на потребителя (потребительская специализация), по обслуживаемым территориям (региональная специализация).
Некоторые предприятия производят большой ассортимент товаров или услуг, которые отвечают запросам нескольких крупных групп потребителей или рынков. Каждая группа или рынок имеет четко определенные, или специфические, потребности. Если два или более таких элемента становятся особенно важными для предприятия, оно может использовать организационную структуру, ориентированную на потребителя, при которой все ее подразделения группируются вокруг определенных групп потребителей (Рис. 5).
Рис. 5. Организационная структура, ориентированная на потребителя
Данный тип организационной структуры находит применение в достаточно специфичных областях – в сфере образования, где в последнее время наряду с традиционными общеобразовательными программами возникли специальные отделения для обучения взрослых, повышения квалификации и т. д. Примером активного использования организационной структуры, ориентированной на потребителя, являются коммерческие банки. Основные группы потребителей, пользующихся их услугами, индивидуальные клиенты (частные лица), пенсионные фонды, трастовые фирмы, международные финансовые организации. Организационные структуры, ориентированные на покупателя, в равной степени характерны для торговых форм, торгующих оптом и в розницу.
Если деятельность предприятия охватывает большие географические зоны, особенно в международном масштабе, то может оказаться целесообразной организационная структура по территориальному принципу, т. е. по месту расположения ее подразделений. Региональная структура облегчает решение проблем, связанных с местным законодательством, обычаями и нуждами потребителей. Такой подход упрощает связь предприятия с клиентами, а также связь между его подразделениями.
Хорошо знакомым примером региональных организационных структур могут служить сбытовые подразделения крупных предприятий. Среди них зачастите можно встретить подразделения, деятельность которых обхватывает весьма обширные географические зоны, которые в свою очередь делятся на более мелкие подразделения, поделенные на еще более мелкие блоки.
Адаптивные, или органические, структуры правления обеспечивают быструю реакцию предприятия на изменения внешней среды, способствуют внедрению новых производственных технологий. Эти структуры ориентируются на ускоренную реализацию сложных программ и проектов, могут применяться на предприятиях, в объединениях, на уровне отраслей и рынков. Обычно выделяют два типа адаптивных структур: проектный и матричный.
Многосторонность содержания структур управления предопределяет множественность принципов их формирования. Прежде всего, структура должна отражать цели и задачи организации, а следовательно, быть подчиненной производству и меняться вместе с происходящими в нем изменениями. Она должна отражать функциональное разделение труда и объем полномочий работников управления; последние определяются политикой, процедурами, правками и должностными инструкциями и расширяются, как правило, в направлении более высоких уровней управления.
Полномочия руководителя любого уровня ограничиваются не только внутренними факторами, но и факторами внешней среды, уровнем культуры и ценностными ориентациями общества, принятыми в нем традициями и нормами. Другими словами, структура управления должна соответствовать социально-культурной среде, и при ее построении надо учитывать условия, в которых ей предстоит функционировать. Практически это означает, что попытки слепо копировать структуры управления, действующие успешно в других организациях, обречены на провал, если условия работы различны. Немаловажное значение имеет также реализация принципа соответствия между функциями и полномочиями, с одной стороны, и квалификацией и уровнем культуры – с другой.
Любую перестройку структуры управления необходимо оценивать прежде всего с точки зрения достижения поставленных перед ней целей. В условиях нормально развивающейся (не кризисной) экономики реорганизация направлена чаще всего на то, чтобы путем совершенствования системы управления повысить эффективность работы организации, при этом главными факторами улучшения являются рост производительности труда, ускорение технического развития, кооперация в принятии и реализации управленческих решений и т. д. В кризисный период изменения в структурах управления направлены на создание условий для выживания организации за счет более рационального использования ресурсов, снижения затрат и более гибкого приспособления к требованиям внешней среды.
В целом рациональная организационная структура управления предприятием должна отвечать следующим требованиям:
Характеристики
Тип файла документ
Документы такого типа открываются такими программами, как Microsoft Office Word на компьютерах Windows, Apple Pages на компьютерах Mac, Open Office - бесплатная альтернатива на различных платформах, в том числе Linux. Наиболее простым и современным решением будут Google документы, так как открываются онлайн без скачивания прямо в браузере на любой платформе. Существуют российские качественные аналоги, например от Яндекса.
Будьте внимательны на мобильных устройствах, так как там используются упрощённый функционал даже в официальном приложении от Microsoft, поэтому для просмотра скачивайте PDF-версию. А если нужно редактировать файл, то используйте оригинальный файл.
Файлы такого типа обычно разбиты на страницы, а текст может быть форматированным (жирный, курсив, выбор шрифта, таблицы и т.п.), а также в него можно добавлять изображения. Формат идеально подходит для рефератов, докладов и РПЗ курсовых проектов, которые необходимо распечатать. Кстати перед печатью также сохраняйте файл в PDF, так как принтер может начудить со шрифтами.
















