96626 (613558)
Текст из файла
Тенденції та перспективи розвитку товарної структури зовнішньої торгівлі України.
ПЛАН
Вступ 3
Розділ 1. Теоретичні аспекти торгової політики України 6
1.1. Система показників розвитку міжнародної торгівлі 6
1.2 Поняття та методи торгової політики 11
Розділ 2. Особливості товарної структури зовнішньої торгівлі України 18
2.1 Аналіз міжнародних торгових взаємовідносин України 18
2.2 Зовнішньоторговельна стратегія України 22
Розділ 3. Тенденції і суперечності розвитку зовнішньої торгівлі України 29
3.1 Перспективні економічні аспекти торгової політики 29
3.2 Напрямки удосконалення експортно-імпортного потенціалу України 32
Висновок 39
Список використаної літератури 41
Вступ
В даний час з'явилися реальні перспективи створення дійсно відкритої економіки в нашій країні, її ефективної інтеграції у світове господарство. Активне використання зовнішньоекономічного фактора сприяє подоланню негативних процесів в економіці і подальшому розвитку ринкових відносин.
Розвиток зовнішньої торгівлі, зокрема нарощування експорту країни на світовому ринку, збільшення або, принаймні, збереження його питомої ваги у світовій торгівлі є надзвичайно важливим чинником функціонування національної економіки будь-якої держави.
Експортний потенціал України визначається обсягами товарів і послуг, які можуть бути вироблені в економічній та соціальній сферах і реалізовані на світовому ринку з максимальною користю для країни. Як відомо, Україна завжди мала досить значний експортний потенціал. Маючи площу, що становить 0,4% світової суші, і чисельність населення близько 0,8% загальної його кількості, Україна виробляла у 1990 році 5% світової мінеральної сировини та продуктів її переробки. Розвідані запаси корисних копалин України оцінюються приблизно в 7 трильйонів, а за деякими даними – в 12-14 трильйонів доларів США. Участь України у світовому видобутку марганцевої руди становила 32 відсотки. Україна має також розвинену базу алюмінієвої сировини й експортувала свого часу до 30% глиноземів та 18% каолінів, що видобуваються у світі. Виробничі потужності металургійного комплексу становлять: у виробництві сталі – 54 млн т, чавуну – 52 млн т, готового прокату – 41,5 млн т. За цими показниками Україна посідає п’яте місце в світі після Японії, США, Китаю та Російської Федерації. На жаль, нині ці потужності сповна не використовуються, але відповідний потенціал поки що зберігся.
Крім того, Україна має конкурентоспроможні технології аерокосмічної галузі, суднобудування, виробництва нових матеріалів, біотехнології, регулювання хімічних, біохімічних та біофізичних процесів. Великий експортний потенціал мають також агропромисловий та енергетичний комплекси країни.
Вищенаведені факти дають підстави стверджувати, що Україна має можливості для поліпшення своїх позицій на світовій господарській арені і тому постає гостра необхідність вивчення основ зовнішньоторговельної діяльності діяльність. Практична затребуваність такого роду наукових досліджень, не розробленість окремих, але в сучасних умовах дуже важливих питань теорії, методології і практики проведення зовнішньоекономічних операцій свідчить про актуальність даної проблеми, що й обумовило вибір теми курсової роботи.
Мета і завдання дослідження. Основною метою курсової роботи є дослідження особливостей товарної структури зовнішньої торгівлі України.
Поставлена мета обумовила необхідність вирішення ряду взаємозалежних завдань:
-
розкрити сутність і зміст міжнародної торгівлі та торгової політики;
-
виявити вплив інструментів торгової політики на економічну ефективність її здійснення;
-
розглянути тенденції та суперечності розвитку зовнішньої торгівлі України.
Предмет дослідження. Предметом дослідження є теоретико-методологічні і прикладні проблеми формування торгової політики країни.
Об'єкт дослідження. Об'єктом дослідження є торгова політика держави.
Теоретичною методологічною основою курсової роботи являються основні положення і висновки, сформульовані в наукових фундаментальних працях вітчизняних і закордонних економістів в області теорії міжнародної торгівлі
В якості емпіричної бази дослідження використані законодавчі і нормативні документи регулюючі проведення зовнішньоекономічної діяльності.
Інформативною основою є праці українських і закордонних фахівців в області теорії міжнародної торгівлі; матеріали наукових конференцій; періодичної преси.
У ході дослідження використовувалися загальнонаукові методи, методи порівнянь, угруповань, спостереження, обстеження, комплексної оцінки, аналітичні процедури й ін.
Робота складається із вступу, трьох глав, висновку, списку використаної літератури, додатків в яких послідовно розкриваються основні завдання дослідження.
Розділ 1. Теоретичні аспекти торгової політики України
1.1. Система показників розвитку міжнародної торгівлі
Основою системи показників розвитку міжнародної торгівлі є група обсягових індикаторів, до складу якої входять експорт, реекспорт, імпорт, реімпорт, зовнішньоторговельний обіг, генеральна торгівля, спеціальна торгівля та фізичний обсяг торгівлі.
Експорт (від. лат. exportare — вивозити) — вивезення товарів, робіт, послуг, результатів інтелектуальної діяльності, в т. ч. виключних прав на них, з митної території країни за кордон без зобов'язання їх зворотного ввезення.
За визначенням статистичної комісії ООН, експорт — це вивезення з країни товарів:
1) вироблених, вирощених або добутих у країні;
2) раніше ввезених з-за кордону та:
-
перероблених на митній території;
-
перероблених під митним контролем;
Імпорт (від лат. importare — ввозити) — ввезення товарів, робіт, послуг, результатів інтелектуальної діяльності, в т. ч. виняткових прав на них, на митну територію країни з-за кордону без зобов'язання про зворотне вивезення. Цей процес характеризує показник «імпорт», який розраховується у вартісних одиницях за певний період, найчастіше, за рік. Обсяги імпорту однорідних, порівняних товарів можуть розраховуватись у кількісних, одиницях (цукор, пшениця, цемент тощо).
Уряд кожної країни встановлює кордони митної території, а також вирішує питання щодо виокремлення з неї вільних зон, які не підлягають митному контролю.[12]
Зовнішньоторговельний обіг — сума вартості експорту і імпорту країни або груп країн за певний період: рік, квартал, місяць. Зовнішньоторговельний обіг показує загальні обсяги зовнішньоторговельної діяльності, тобто експорту та імпорту в цілому:
ЗТО = Е + І, де
ЗТО — зовнішньоторговельний обіг;
Е — обсяг експорту (у вартісних одиницях);
I—обсяг імпорту (у вартісних одиницях).[15]
Світовий товарообіг — сума вартості експорту та імпорту всіх країн світу (вартість усіх товарів, що перетинають державні кордони). Вартість світового експорту завжди менша (приблизно на 3—6 %) за вартість імпорту на суму фрахту на страхування внаслідок того, що майже всі країни оцінюють експорт за цінами ФОБ, а імпорт більшості країн обліковується за цінами СІФ (FOB < GIF).
Генеральна (загальна) торгівля — прийняте у міжнародній статистиці позначення зовнішньоторговельного обігу з урахуванням вартості транзитних товарів. Показує загальне зовнішньоторговельне «навантаження» на країну, включаючи обсяги ввезення, вивезення та транзиту товарів:
ГТ = Е + І + Т,
де ГТ— генеральна (загальна) торгівля;
Е — вартість експорту;
I—вартість імпорту;
Т— вартість транзитних товарів, перевезених через територію країни.[12]
Спеціальна торгівля — експорт та імпорт, зумовлені існуванням двох систем обліку товарів у статистиці зовнішньої торгівлі:
-
спеціальної системи обліку для деяких видів товарів;
-
загальної системи, що застосовується до всіх товарів. Спеціальний експорт включає: » національний експорт;
-
вивезення товарів після переробки під митним контролем;
-
націоналізовані товари.
Фізичний обсяг зовнішньої торгівлі — оцінка експорту або імпорту товарів у незмінних цінах одного періоду (як правило, року) для отримання інформації щодо руху товарної маси без впливу коливання цін.
Індекс фізичного обсягу розраховується за формулою:
І ф.о — індекс фізичного обсягу;
Р0 — ціна товару в базисному періоді;
q1 -— кількість товару в періоді, що вивчається;
q0 — кількість товару в базисному періоді.[12]
Результуючі показники, до яких належать сальдо торговельного балансу, сальдо балансу послуг, сальдо балансу поточних операцій, індекси стану платіжного балансу, індекс «умови торгівлі», індекс концентрації експорту, коефіцієнт імпортної залежності країни, у сукупності характеризують стан зовнішньої торгівлі за критерієм збалансованості експорту та імпорту, ефективності та місця країни в світовій торгівлі.
Розрахунковий баланс — це співвідношення вимог і зобов'язань даної країни щодо інших країн на певну дату, незалежно від термінів надходження платежів. Розрахунковий баланс за певний період характеризує лише динаміку вимог і зобов'язань однієї країни стосовно інших, але не може використовуватись для оцінки результативності, збалансованості міжнародних економічних, в т. ч. торговельних відносин. Цю функцію виконує платіжний баланс.
Платіжний баланс — це співвідношення суми платежів, здійснених даною країною за кордоном, і надходжень, отриманих нею з-за кордону, за певний період (рік, квартал, місяць).
За методологією Міжнародного Валютного Фонду, платіжний баланс — це систематичний перелік усіх економічних операцій, що були здійснені за певний проміжок часу між резидентами даної країни та нерезидентами (резидентами всіх інших країн світу).
Сальдо (від італ. saldo — розрахунок, залишок) — різниця між грошовими надходженнями і витратами за певний проміжок часу.
Сальдо балансу поточних операцій:
Г = F - 1 Cп -Eпо -Iпо
де Спо — сальдо балансу поточних операцій;
Епо — надходження за статтями балансу поточних операцій;
Iпо — платежі за статтями балансу поточних операцій.
Сальдо, розраховані за даними статей балансу поточних операцій, показують результат зовнішньоторговельних операцій (перевищення експорту або імпорту) та абсолютний розмір різниці між експортом та імпортом.[15]
Індекс «умови торгівлі» — відношення експортних цін країни до її імпортних цін.
Якщо індекс розраховується щодо великої сукупності товарів, то він визначається як співвідношення індексів експортних та імпортних цін. Для цього розраховується індекс експортних цін (в одиницях національної або іншої валюти):
Остаточно індекс «умови торгівлі» розраховується як співвідношення двох індексів:
де І у.т. — індекс «умови торгівлі»;
Рх — індекс експортних цін (в одиницях національної або іншої валюти);
Рт — індекс імпортних цін.
Індекс «умови торгівлі» дає важливу інформацію для оцінки змін у зовнішній торгівлі країн, але використовувати його доцільно тільки в сукупності з даними щодо обсягів торгівлі та причин коливання (зменшення або збільшення) експортних та імпортних цін.[12]
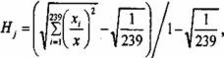
Індекс концентрації експорту (індекс Хіршмана) — застосовується у світових зіставленнях і показує, наскільки широкий спектр товарів експортує країна. При 239 класифікованих видах продукції (за методологією ООН), він має вигляд:
Нj — індекс концентрації експорту країни/ (j — індекс країни); 239 — кількість видів продукції за класифікацією ООН;
i — індекс товару (від 1 до 239); хі — вартість експортованих товарів країною. [2]
Коефіцієнт імпортної залежності країни — відношення обсягу імпорту певного товару до обсягу його споживання в країні. Імпортну залежність можна охарактеризувати як залежність країни від зовнішнього ринку в яких-небудь товарах або їх групах внаслідок відсутності в країні необхідних для виробництва потужностей, сировини, кваліфікованих кадрів або через причини економічного та політичного характеру.
Структурні показники розвитку міжнародної торгівлі характеризують експортні та імпортні товарні потоки за такими ознаками, як товарний склад і регіональна спрямованість.
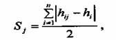
Індекс диверсифікації експорту — це індекс відхилення товарної структури експорту країни від структури світового експорту. Використовується, як правило, для визначення розбіжностей У структурі зовнішньої торгівлі країн, експорт яких є достатньо різнобічним. Розраховується на базі абсолютного відхилення частки або іншого товару в експорті країни від його частки у світовому експорті. Для цього використовується формула:
Sj — індекс диверсифікації експорту країни;
hj — частка товару в загальному експорті країни у';
hij. — частка товару в загальному світовому експорті.
Хоча індекс і характеризує кількісну відмінність товарної структури експорту країни від структури світового чи регіонального експорту, але на його підставі не можна засвідчувати, що структура експорту однієї країни краща або гірша за іншу.
Недоліком даного показника є його значна залежність від кон'юнктури світових товарних ринків і насамперед від коливання цін на сировину. Навіть незначна їх зміна на окремі товари може суттєво вплинути на рівень індексу диверсифікації експорту країни.[12]
1.2 Поняття та методи торгової політики
Розвиток економічної політики визначається перетинанням об'єктивних закономірностей з економічними інтересами і цінностями на національному рівні. В останні десятиліття в цю орбіту усе більше утягують колективні інтереси економічних блоків. Слід зазначити, що тут може мати місце визначена протидія з боку окремих держав чи їхнього блоку, оскільки та чи інша національна, політика може ущемляти конкретні економічні інтереси. У такій ситуації необхідно орієнтуватися на баланс інтересів держав, що досягається шляхом компромісу чи взаємних поступок. Це визначає наявність альтернативних варіантів зовнішньоекономічної політики, серед яких центральне місце займають важелі тиску чи опору, а у випадку відсутності таких погроз - вибір інструментів, що дозволяють враховувати національні інтереси держав при проведенні зовнішньоторговельної політики.
Характеристики
Тип файла документ
Документы такого типа открываются такими программами, как Microsoft Office Word на компьютерах Windows, Apple Pages на компьютерах Mac, Open Office - бесплатная альтернатива на различных платформах, в том числе Linux. Наиболее простым и современным решением будут Google документы, так как открываются онлайн без скачивания прямо в браузере на любой платформе. Существуют российские качественные аналоги, например от Яндекса.
Будьте внимательны на мобильных устройствах, так как там используются упрощённый функционал даже в официальном приложении от Microsoft, поэтому для просмотра скачивайте PDF-версию. А если нужно редактировать файл, то используйте оригинальный файл.
Файлы такого типа обычно разбиты на страницы, а текст может быть форматированным (жирный, курсив, выбор шрифта, таблицы и т.п.), а также в него можно добавлять изображения. Формат идеально подходит для рефератов, докладов и РПЗ курсовых проектов, которые необходимо распечатать. Кстати перед печатью также сохраняйте файл в PDF, так как принтер может начудить со шрифтами.















