94403 (613103), страница 3
Текст из файла (страница 3)
4-гидроксибензен-1.3-дикарбоксильная кислота(4-гидроксиизофталевая кислота).
2-[[2-(ацетокси)бензоил]окси]бензойная кислота.
3.3. Получение кофеина.
Кофеин – алкалоид, обладающий наркотическими свойствами и содержащийся в таких растениях, как кофейное дерево, чай, мате, гуарана, кола, и некоторых других. Также производится синтетически. Содержится в различных напитках (значительнее всего в чае), оказывает стимулирующее действие на нервную систему.
Химическое название кофеина – 1,3,7-триметилксантин. Соединяясь с водой, даёт кофеидин C7H12N4O. По строению и фармакологическим свойствам кофеин близок к теобромину и теофиллину; все три алкалоида относятся к группе метилксантинов. Кофеин лучше действует на центральную нервную систему, а теофиллин и теобромин – в качестве стимуляторов сердечной деятельности и лёгких мочегонных средств.
Ф
изические свойства кофеина: белые шелковистые игольчатые кристаллы или белый кристаллический порошок горьковатого вкуса, без запаха. Плохо растворим в воде (1:60), легко – в горячей (1:2), трудно растворим в спирте (1:50). Растворы имеют нейтральную реакцию; стерилизуют при +100 °С в течение 30 мин. Тпл =234 °C.
Кофеин экстрагируют из отходов чая ( содержание алкалоида до 5 %), кофейных бобов (до 1.5 %) . В промышленности кофеин синтезируют из мочевой кислоты и ксантина. Ниже приведена схема синтеза кофеина из мочевой кислоты:
Качественной реакцией на кофеин служит образование соединений темно-коричневой окраски под действием концентрированной соляной кислоты на аммиачный раствор анализируемого образца.
Наличие примесей в кофеине проводят методом тонкослойной хроматографии, используя в качестве тонкого слоя силикагель GF 254.
Для приготовления испытуемого раствора 0,2 г субстанции кофеина растворяют в смеси растворителей: метанол + хлороформ в соотношении 4:6 и доводят объем раствора той же смесью растворителей до 10 мл.
Раствор сравнения: 0,5 мл испытуемого раствора доводят смесью растворителей метанол + хлороформ в соотношении 4:6 до объема 100 мл.
На линию старта хроматографической пластинки наносят 10 мкл (200 мкг) испытуемого раствора и 10 мкл (1 мкг) раствора сравнения. Пластинку помещают в камеру со смесью растворителей: раствор аммиака концентрированный NH4OH + ацетон (CH3)2=O + хлороформ CHCl3 + бутанол C4H9OH в соотношении 10:30:30:40. Когда фронт растворителей пройдет 15 см от линии старта, пластинку вынимают из камеры, сушат на воздухе и просматривают в УФ-свете при длине волны 254 нм.
На хроматограмме испытуемого раствора любое пятно, кроме основного, не должно быть интенсивнее пятна на хроматограмме раствора сравнения.
На наличие в растворе сульфатов, которых не должно быть больше 0.05 % (500 ppm), 15 мл раствора должны выдерживать испытание на сульфаты. Эталон готовят с использованием смеси 7.5 мл эталонного раствора сульфата (10 ppm SO4) и 7.5 мл воды дистиллированной.
Физиологические особенности действия кофеина на центральную нервную систему были изучены И. П. Павловым и его сотрудниками, показавшими, что кофеин усиливает и регулирует процессы возбуждения в коре головного мозга; в соответствующих дозах он усиливает положительные условные рефлексы и повышает двигательную активность. Стимулирующее действие приводит к повышению умственной и физической работоспособности, уменьшению усталости и сонливости. Большие дозы могут, однако, привести к истощению нервных клеток. Действие кофеина (как и других психостимулирующих средств) в значительной степени зависит от типа высшей нервной деятельности; дозирование кофеина должно поэтому производиться с учётом индивидуальных особенностей нервной деятельности. Кофеин ослабляет действие снотворных и наркотических средств, повышает рефлекторную возбудимость спинного мозга, возбуждает дыхательный и сосудодвигательный центры. Сердечная деятельность под влиянием кофеина усиливается, сокращения миокарда становятся более интенсивными и учащаются. При коллаптоидных и шоковых состояниях артериальное давление под влиянием кофеина повышается, при нормальном артериальном давлении существенных изменений не наблюдается, так как одновременно с возбуждением сосудодвигательного центра и сердца под влиянием кофеина расширяются кровеносные сосуды скелетных мышц и других областей тела (сосуды головного мозга, сердца, почек), однако сосуды органов брюшной полости (кроме почек) сужаются. Диурез под влиянием кофеина несколько усиливается, главным образом в связи с уменьшением реабсорбции электролитов в почечных канальцах.
Под влиянием кофеина происходит стимуляция секреторной деятельности желудка.
По современным данным, в механизме действия кофеина существенную роль играет его угнетающее влияние на фермент фосфодиэстеразу, что ведёт к внутриклеточному накоплению циклического аденозинмонофосфата. Циклический АМФ рассматривается как медиаторное вещество (вторичный медиатор), при помощи которого осуществляются физиологические эффекты различных биогенных лекарственных веществ. Под влиянием циклического АМФ усиливаются процессы гликогенолиза, стимулируются метаболические процессы в разных органах и тканях, в том числе в мышечной ткани и в ЦНС. Полагают, что стимуляция кофеином желудочной секреции тоже связана с увеличением содержания циклического АМФ в слизистой оболочке желудка.
В нейрохимическом механизме стимулирующего действия кофеина важную роль играет его способность связываться со специфическими («пуриновыми», или аденозиновыми) рецепторами мозга, эндогенным лигандом для которых является пуриновый нуклеозид – аденозин. Структурное сходство молекулы кофеина и аденозина способствует этому. Поскольку аденозин рассматривается как фактор, уменьшающий процессы возбуждения в мозге, замещение его кофеином приводит к стимулирующему эффекту. При длительном применении кофеина возможно образование в клетках мозга новых аденозиновых рецепторов и действие кофеина постепенно уменьшается. Вместе с тем при внезапном прекращении введения кофеина аденозин занимает все доступные рецепторы, что может привести к усилению торможения с явлениями утомления, сонливости, депрессии и др.
В медицине кофеин (и кофеин-бензоат натрия) применяют при инфекционных и других заболеваниях, сопровождающихся угнетением функций ЦНС и сердечно-сосудистой системы, при отравлениях наркотиками и другими ядами, угнетающими ЦНС, при спазмах сосудов головного мозга (при мигрени и др.), для повышения психической и физической работоспособности, для устранения сонливости. Применяют также кофеин при энурезе у детей.
Средняя доза медицинского кофеина для взрослых 0,05 – 0,1 г на приём 2 – 3 раза в день. Детям старше 2 лет назначают по 0,03 – 0,075 г на приём в зависимости от возраста (до 2 лет не назначают). Высшие дозы для взрослых внутрь: разовая 0,3 г, суточная 1 г.
Противопоказания
Кофеин, как и другие стимуляторы ЦНС, противопоказан при повышенной возбудимости, бессоннице, выраженной гипертензии и атеросклерозе, при органических заболеваниях сердечно-сосудистой системы, в старческом возрасте, при глаукоме.
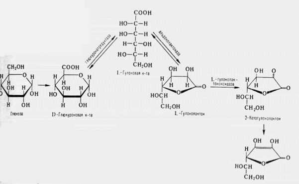
3.4. Получение аскорбиновой кислоты.
Химическая формкда аскорбинговой кислоты C6H806, ее молярная масса 176.1 г/моль.
Кислота аскорбиновая, ее химическое название (R)-5-[(S)-1,2-дигидроксиэтил]-3,4-дигидрокси-5Н-фуран-2-он.
Кристаллический порошок белого или почти белого цвета или бесцветные кристаллы, изменяющие цвет под действием воздуха и влаги. Легко растворима в воде, растворима в 96 % спирте, практически не растворима в эфире. Плавится при температуре около 190 0С с разложением.
Для количественного определения аскорбиновой кислоты используют метод титрования. Раствор аскорбиновой кислоты готовят растворяя 1.0 г субстанции в воде, свободной от углерода диоксида, и доводят объем раствора тем же растворителем (водой) до 20 мл. процесс титрования проводят следующим образом: 0.150 г субстанции растворяют в смеси 10 мл кислоты серной разведенной и 80 мл воды, свободной от углерода диоксида. Прибавляют 1 мл раствора крахмала и титруют 0.05 М раствором йода до получения устойчивого сине-фиолетового окрашивания. 1 мл 0.05 М раствора йода соответствует 8.81 мг C6H806.
Аскорбиновую кислоту получают с помощью биосинтеза из глюкозы или галактозы. Схема синтеза наведена ниже.
Синтез производят в реакторах биологического синтеза.
4. Изготовление цитрамона
Цитрамон П изготовляют из смеси ацетилсалициловой кислоты, парацетамола, кофеина, аскорбиновой кислоты и медицинских наполнителей, таких как повидон, крахмал медицинский, глюкоза. Схема изготовления препарата наведена на рисунке 2.
Рассмотрим основные этапы производства и аппараты, которые используют при этом.
Для измельчения исходных продуктов используют роторную мельницу 1. Измельченные продукты попадают в смеситель 2, где их перемешивают до получения однородной смеси. С помощью вакуумных насосов 3 и 6 производится перемещение полуфабрикатов от одного аппарата к другому. После смесителя полученная однородная смесь попадает в гранулятор 4, в который попадает также вода, раствор желатина или 5 % раствор крохмала для увлажнения смеси и получения гранул. Полученные гранулы сушатся в сушилке 5. Наиболее часто сушка гранул происходит потоком сухого подогретого воздуха, гранулы с помощью вакуумного насоса или транспортера поступают в сушилку, где они рассыпаются тонким слоем по поверхности сит, снизу с помощью компрессора вдувается поток теплого воздуха. Высушеные гранулы с помощью транспортера или вакумного насоса подаются в пресс-автомат (7) для прессования в таблетки. После пресс-автомата готовые таблетки поступают по транспортеру (8) в упаковочный автомат (9), который упаковывает таблетки в бумажную обертку.
Такова упрощенная схема изготовления цитрамона.
Далее мы более детально рассмотрим изготовление таблеток цитрамона, рассмотрим характеристики технологического оборудования, которое используется для этого, отметим некоторые нюансы процесса изготовления.
Первым этапом изготовления таблеток данного препарата будет измельчение веществ для изготовления таблеток. Его производят на мельницах, потом просеивают полученный порошок через сита определенного диаметра для отделения комков большой массы. После подготовки составляющие таблеточную смесь лекарственные и вспомогательные вещества необходимо тщательно смешивать для равномерного распределения их в общей массе. Получение однородной по составу таблеточной смеси является очень важной и довольно сложной технологической операцией. В связи с тем, что порошки обладают различными физико-химическими свойствами: дисперсностью, насыпной плотностью, влажностью, текучестью и др. На этой стадии используют смесители периодического действия лопастного типа, форма лопастей может быть различной, но чаще всего червячная или зетобразная.
На предприятии используется смеситель универсальный, технические параметры наведены ниже:
Объем бункера 10 литров
















