93563 (613027), страница 5
Текст из файла (страница 5)
Ух = а + вХ, либо Утеоретич. = Усреднее + вХ,
где Ух — теоретические (расчетные) уровни ряда за каждый период;
а — среднеарифметический показатель уровня ряда, рассчитывается по формуле:
а = ΣУфакт. / n;
в — параметр прямой, коэффициент, показывающий различие между теоретическими уровнями ряда за смежные периоды, определяется путем расчета по формуле: в = Σ(ХУфакт)/ ΣХ2
где n — число уровней динамического ряда;
X — временные точки, натуральные числа, проставляемые от середины (центра) ряда в оба конца.
При наличии нечетного ряда уровень, занимающий срединное положение, принимается за 0. Например, при 9 уровнях ряда: -4, -3, -2, -1, 0, +1, +2, +3, +4.
При четном числе уровней ряда две величины, занимающие срединное положение, обозначаются через -1 и +1, а все остальные — через 2 интервала. Например, при 6 уровнях ряда: -5, -3, -1, +1, +3, +5.
Расчеты проводят в следующей последовательности:
-
Представляют фактические уровни динамического ряда (Уф)
-
Суммируют фактические уровни ряда и получают сумму Уфакт.
-
Находят условные (теоретические) временные точки ряда X, чтобы их сумма (ΣХ) была равна 0.
-
Возводят теоретические временные точки в квадрат и суммируют их, получая ЕX2.
-
Рассчитывают произведение Х на У и суммируют, получая ΣХУ.
-
Рассчитывают параметры прямой:
-
а = ΣУфакт / n в = Σ(Х Уфакт) / ΣX2
-
Подставляя последовательно в уравнение Ух = а + аУ значения X, находят выровненные уровни Ух.
Показатели динамического ряда
Для углубленного изучения процессов во времени рассчитывают показатели динамического ряда.
-
Для характеристики скорости изменения процесса применяются такие показатели, как абсолютный прирост (убыль), темп прироста (убыли).
-
Абсолютный прирост (убыль) характеризует скорость изменения процесса (абсолютную величину прироста (убыли) в единицу времени). Абсолютный прирост рассчитывается как разность между данным уровнем и предыдущим; обозначается знаком "+", характеризуя прирост, или знаком "—", характеризуя убыль.
-
Темп прироста (убыли) характеризует величину прироста (убыли) в относительных показателях в % и определяется как процентное отношение абсолютного прироста (убыли) к предыдущему уровню ряда; обозначается знаком "+" (прирост) или знаком "—" (убыль).
-
-
Для характеристики изменения процесса одного периода по отношению к предыдущему периоду применяется такой показатель, как темп роста (снижения); рассчитывается как процентное отношение последующего (уровня) к предыдущему.
-
При сравнении динамических рядов с разными исходными уровнями (например, средними, интенсивными, абсолютными) используется показатель — значение 1% прироста (убыли); рассчитывается как отношение абсолютного прироста к темпу прироста за каждый период.
-
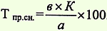
Для обобщенной количественной оценки тенденций динамического ряда используется показатель, именуемый средним темпом прироста (снижения), выраженный в %. При его расчете для большинства рядов можно использовать следующую формулу:
где К = 1 при нечетном числе уровней ряда; К = 2 при четном числе уровней ряда;
а и в — показатели линейной зависимости, используемые при выравнивании ряда методом наименьших квадратов.
Оценка достоверности результатов исследования
Применяя метод оценки достоверности результатов исследования для изучения общественного здоровья и деятельности учреждений здравоохранения, а также в своей научной деятельности, исследователь должен уметь правильно выбрать способ данного метода. Среди методов оценки достоверности различают параметрические и непараметрические.
Параметрическими называют количественные методы статистической обработки данных, применение которых требует обязательного знания закона распределения изучаемых признаков в совокупности и вычисления их основных параметров.
Непараметрическими являются количественные методы статистической обработки данных, применение которых не требует знания закона распределения изучаемых признаков в совокупности и вычисления их основных параметров.
Как параметрические, так и непараметрические методы, используемые для сравнения результатов исследований, т.е. для сравнения выборочных совокупностей, заключаются в применении определенных формул и расчете определенных показателей в соответствии с предписанными алгоритмами. В конечном результате высчитывается определенная числовая величина, которую сравнивают с табличными пороговыми значениями. Критерием достоверности будет результат сравнения полученной величины и табличного значения при данном числе наблюдений (или степеней свободы) и при заданном уровне безошибочного прогноза.
Таким образом, в статистической процедуре оценки основное значение имеет полученный критерий достоверности, поэтому сам способ оценки достоверности в целом иногда называют тем или иным критерием по фамилии автора, предложившего его в качестве основы метода.
Применение параметрических методов
При проведении выборочных исследований полученный результат не обязательно совпадает с результатом, который мог бы быть получен при исследовании всей генеральной совокупности. Между этими величинами существует определенная разница, называемая ошибкой репрезентативности, т.е. это погрешность, обусловленная переносом результатов выборочного исследования на всю генеральную совокупность.
| Средняя ошибка средней арифметической величины определяется по формуле: | | где σ — среднеквадратическое отклонение n — число наблюдений |
| Ошибка относительного показателя определяется по формуле: | | где p — показатель, выраженный в %, ‰, %оо и т.д. q = (100 - р), при p выраженном в %; или (1000 - р), при p выраженном в ‰ или (10000 - р), при p выраженном в %оо и т.д. |
| При числе наблюдений меньше 30 ошибки репрезентативности определяются соответственно по формулам: | | |
Определение доверительных границ средних и относительных величин
Формулы определения доверительных границ представлены следующим образом:
-
для средних величин (М): Мген = Мвыб ± tm
-
для относительных показателей (Р): Рген = Рвыб ± tm
-
где Мген и Рген — соответственно, значения средней величины и относительного показателя генеральной совокупности;
-
Мвы6 и Рвы6 — значения средней величины и относительного показателя выборочной совокупности;
-
m — ошибка репрезентативности;
-
t — критерий достоверности (доверительный коэффициент).
Данный способ применяется в тех случаях, когда по результатам выборочной совокупности необходимо судить о размерах изучаемого явления (или признака) в генеральной совокупности.
Обязательным условием для применения способа является репрезентативность выборочной совокупности. Для переноса результатов, полученных при выборочных исследованиях, на генеральную совокупность необходима степень вероятности безошибочного прогноза (Р), показывающая, в каком проценте случаев результаты выборочных исследований по изучаемому признаку (явлению) будут иметь место в генеральной совокупности.
При определении доверительных границ средней величины или относительного показателя генеральной совокупности, исследователь сам задает определенную (необходимую) степень вероятности безошибочного прогноза (Р).
Для большинства медико-биологических исследований считается достаточной степень вероятности безошибочного прогноза, равная 95%, а число случаев генеральной совокупности, в котором могут наблюдаться отклонения от закономерностей, установленных при выборочном исследовании, не будут превышать 5%. При ряде исследований, связанных, например, с применением высокотоксичных веществ, вакцин, оперативного лечения и т.п., в результате чего возможны тяжелые заболевания, осложнения, летальные исходы, применяется степень вероятности Р = 99,7%, т.е. не более чем у 1% случаев генеральной совокупности возможны отклонения от закономерностей, установленных в выборочной совокупности.
Заданной степени вероятности (Р) безошибочного прогноза соответствует определенное, подставляемое в формулу, значение критерия t, зависящее также и от числа наблюдений.
При n>30 степени вероятности безошибочного прогноза Р = 99,7% — соответствует значение t = 3, а при Р = 95,5% — значение t = 2.
При п<30 величина t при соответствующей степени вероятности безошибочного прогноза определяется по специальной таблице (Н.А. Плохинского).
Оценка достоверности разности результатов исследования
Данный способ применяется в тех случаях, когда необходимо определить, случайны или достоверны (существенны), т.е. обусловлены какой-то причиной, различия между двумя средними величинами или относительными показателями. Обязательным условием для применения данного способа является репрезентативность выборочных совокупностей, а также наличие причинно-следственной связи между сравниваемыми величинами (показателями) и факторами, влияющими на них.
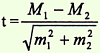
Формулы определения достоверности разности представлены следующим образом:
для средних величин для относительных
показателей
где t — критерий достоверности, m1 и m2 — ошибки репрезентативности, М1 и М2 — средние величины, Р1 и Р2 — относительные показатели.
Если вычисленный критерий t более или равен 2 (t ≥ 2), что соответствует вероятности безошибочного прогноза Р равном или более 95% (Р ≥ 95%), то разность следует считать достоверной (существенной), т.е. обусловленной влиянием какого-то фактора, что будет иметь место и в генеральной совокупности.
При t < 2, вероятность безошибочного прогноза Р < 95%, это означает, что разность недостоверна, случайна, т.е. не обусловлена какой-то закономерностью (не обусловлена влиянием какого-то фактора).
Поэтому полученный критерий должен всегда оцениваться по отношению к конкретной цели исследования.
Литература
-
Власов В.В. Эпидемиология. — М.: ГЭОТАР-МЕД, 2004. — 464 с.
-
Лисицын Ю.П. Общественное здоровье и здравоохранение. Учебник для вузов. — М.: ГЭОТАР-МЕД, 2007. — 512 с.
-
Медик В.А., Юрьев В.К. Курс лекций по общественному здоровью и здравоохранению: Часть 1. Общественное здоровье. — М.: Медицина, 2003. — 368 с.
-
Миняев В.А., Вишняков Н.И. и др. Социальная медицина и организация здравоохранения (Руководство в 2 томах). — СПб, 1998. -528 с.
-
Кучеренко В.З., Агарков Н.М. и др.Социальная гигиена и организация здравоохранения (Учебное пособие) — Москва, 2000. — 432 с.
-
С. Гланц. Медико-биологическая статистика. Пер с англ. — М., Практика, 1998. — 459 с.
-
Ревматология. Клинические рекомендации М. 2008 г.















