92026 (612914), страница 2
Текст из файла (страница 2)
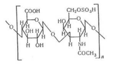
Хондроїтинсульфатна кислота також є гетерополісахаридом. Молекула її побудована з фрагментів глюкуронової кислоти і N-ацетилгалактозамінсульфату, сполучених між собою 1,3-глікозидними зв'язками:
Такі фрагменти, так само як і в гіалуроновій кислоті, з'єднуються між собою 1,4-зв'язками, створюючи молекулу хондроїтинсульфатної кислоти з молекулярною масою 50-100 тис.
Хондроїтинсульфатна кислота - обов'язкова складова частина хрящів (до 40% у перерахунку на суху масу), кісток, основної речовини сполучної тканини, серцевих клапанів, стінок кровоносних судин, шкіри й ін., тобто в організмі вона виконує опорні функції. Крім того, хондроїтинсульфатна кислота бере участь в іонному обміні і регуляції надходження в клітину поживних речовин.
Гепарин - кислий гетерополісахарид, що складається із залишків глюкуронової кислоти і глюкозаміну, із молекулярною масою до 20 000. Він міститься у різних органах і тканинах тварин. Особливо багато його в печінці (до 100 мг на 1 кг тканини), легенях, серці, селезінці, щитовидній залозі, крові. Гепарин є потужним антикоагулянтом, у мізерно малих кількостях запобігає зсіданню крові. Його використовують у медицині для профілактики і лікування тромбозів, а також як стабілізатор крові при її збереженні і переливанні. [15, 84]
4. Лікарські рослини, що містять гетерополісахариди
Лікарські рослини, що містять гетеро полісахариди можна розглянути на прикладі алтеї гірської, подорожника великого, мати–й-мачухи.
Алтея гірська дуже поширена в Європі. В Україні зустрічається всюди, крім гірських районів Карпат і Криму. Росте на зволожених ділянках долин і берегів річок, озер, водойм. У басейні Дніпра утворює незначні зарості. В культурі вирощують ряд спеціалізованих господарств та аматори.(рис. 2)
Корені алтеї містять до 35 % слизу. До складу їх входять: крохмаль (35 %), цукор (8 - 10 %), пектинові речовини (16 %), аспаргін тощо. Листки та квіти містять ефірну олію із запахом валер'яни. [17, с. 83]
Корені використовують у медицині як сировину для чаїв і зборів. Їх застосовують як відхаркувальний і протизапальний засіб при захворюваннях дихальних шляхів (особливо дітей), для лікування хвороб травного каналу (зокрема виразки шлунка та ін.).
Мати-й-мачуха — цінна лікарська рослина, яку використовують для лікування простудних захворювань в офіційній і народній медицині. Добрий медонос, але і в'їдливий бур'ян. На Україні росте один вид мати-й-мачухи. ( рис. 3)
Листя мати-й-мачухи звичайної (Tussilagofarfara L.) містять глікозид тусилягін, інулін, ефірну олію, слизові тадубильні речовини.
Препарати мати-й-мачухи стимулюють відхаркування, посилюючифізіологічну активність мерехтливого епітелію та перистальтичні рухи бронхіол,що сприяє просуванню мокротиння із нижніх у верхі відділи дихальних шляхів тайого виділенню. [6, с. 94]
Препарати мати-й-мачухи застосовують якдопоміжний лікарський засіб у комплексній терапії гострих та хронічних запальнихзахворювань дихальних шляхів (ларингіти, трахеїти, бронхіти, бронхопневмонія, бронхоектатична хвороба).
Подорожник великий росте на галявинах, луках, уздовж просік, на лісокультурних площах і як бур'ян на розсадниках. Тіньовитривала рослина. Цвіте у травні - липні. Поширений по всій Україні. Заготовляють у всіх областях України. Запаси сировини значні. (рис. 4)
У науковій медицині використовують листки подорожника великого, середнього і ланцетолистого - Folia Plantaginis. Препарати з подорожника мають тонізуючу дію, збуджують апетит, сприяють підвищенню гемоглобіну в крові, позитивно діють при гострих шлунково-кишкових захворюваннях (гастритах, ентероколітах), виразках шлунка і дванадцятипалої кишки, як ранозагоювальний засіб. Консервований у спирті сік подорожника - чудовий відхаркувальний засіб, особливо при коклюші і туберкульозі. Екстракт рослина має протисклеротичну дію, знижує вміст холестерину в крові. Розтерті листки подорожника прикладають до ран, фурункулів, набряків внаслідок удару, при запаленнях шкіри, укусах комах. Листки містять глікозид аукубін, гіркі й дубильні речовини, каротин, вітаміни С і К, лимонну кислоту. [6, с. 128]
У народній медицині листки використовують як кровоспинний і ранозагоювальний засіб, при ударах, порізах, наривах, носових кровотечах; усю рослину - при гастритах, проносі, виразках, внутрішніх ранах, при хворобах нирок, серця, гіпертонії, туберкульозі легень, бронхіальних запаленнях, хворобах печінки та при жовтяниці, при хворобах ясен, очей, зубному болю. Листки прикладають до шкіри при рожистих запаленнях. Насіння подорожника містить слиз, аукубін, білкові й дубильні речовини, жирну олію, ферменти, смоли. У народній медицині їх застосовують при запальних процесах у шлунку, кишечнику та при хронічних запорах. Насіння є також добрим кормом для птахів. Корені подорожника використовують при запаленні нирок і сечового міхура.
У гомеопатії використовують есенцію зі свіжої рослини. У ветеринарії порошок з сухих листків використовують для лікування сибірки. Свіжі і квашені листки подорожника вживають у їжу як салат, з них готують перші страви: супи й бульйони. Насіння подорожника, заквашене з молоком, вважається смачною і корисною приправою до м'ясних і рибних страв.
Подорожники - добрі пилконоси, особливо подорожник середній. Подорожник ланцетолистий добре поїдається худобою, особливо в сіні. Сік подорожника входить до складу деяких косметичних лосьйонів для догляду за шкірою. [4, с. 85]
Висновки
Сучасні економічні проблеми призвели до значного зменшення обсягів виробництва лікарської рослинної сировини в Україні. Запаси дикорослих рослин значно зменшились, і багато з них занесені до Червоної книги. Інтенсивна експлуатація природних масивів і різке погіршення екологічних умов спричинили кризову ситуацію, і під загрозою знищення знаходяться такі цінні лікарські рослини, як астрагал шерстистоквітковий, оман високий, аїр, солодець голий, сагайдак прямостоячий.
Лікарські рослини, та лікарські препарати, що з них виготовляють, є традиційними лікарськими засобами як у нашій країні, так і у багатьох інших країнах, а їх використання в сучасній медицині не лише залишається стабільним, але й має тенденцію до збільшення. Великі обсяги заготівлі ЛРС у складних екологічних умовах у багатьох регіонах нашої країни можливі лише на основі раціонального природокористування.
На нагромадження камеді у рослинах впливають різні чинники: вік і фази розвитку рослин. Чинники зовнішнього середовища (світло, грунт, кліматичні умови, висота над рівнем моря й ін.) сильно впливають на нагромадження камеді.
Камедi - затвердiлi видiлення слизистих, переважно вуглеводистих, речовин (клей янтарного кольору на стовбурах кiсточкових дерев). Камедi у водi утворюють в'язкi, клейкi, набухаючi розчини i використовуються як емульгатори для приготування емульсiй.
У південних районах рослини більш багаті ними. Збільшується вміст камеді у високогірних районах, а також під впливом світла і на грунтах, багатих мікроэлементами.
Найбільш багатими на камеді рослинами є рослини з сімейства бобових. Деякі види бобових використовуються в медицині (термопсис, солодець, буркун, калабарський біб, касія). В медицині вони також використовуються як стабілізатори суспензій і емульсій.
Найбільш багатим лікувальним потенціалом характеризуються боби і солодка гола.
Гетерополісахариди — полімери, побудовані з великої кількості різних моносахаридних одиниць та їх похідних. У біохімії та фізіології людини і тварин найбільше значення мають гетерополісахариди глікозамінглікани.
Важливе медичне значення мають рослини, які містять гетерополісахариди.
Список використаної літератури
-
Государственная фармакопея СССР. – 10-е, 11-е изд. – М.: Медицина, 1987. – Вып.1; 1990. – Вып.2
-
Ісакова Т.І. Фармакогнозія з основами біохімії рослин. – Харків: Прапор, 2000.
-
Правила сбора и сушки лекарственных растений / Сборник инструкций. – М.:Медицина, 1985.
-
Лікарські рослини: Енциклопедичний довідник/ А.М. Гродзинського. – К.: видавництво “Укр.енциклопедія” ім. М.П. Бажана, 1992.
-
Турова А.Д. Лекарственные растения и их применение. – М.: Медицина, 1974.
-
Визначник рослин України. – К.: Урожай, 1965.
-
І.С. Чекман Клінічна фітотерапія. – К.: Видавництво “А.С.К.”, 2003
-
Диагностика болезней внутренних органов: Т.7: М.: Мед.лит. 1999/Окороков А.Н./, ст.1-35
-
Окороков А.Н. Лечение болезней внутренних органов: Т.3, кн.2: Лечение болезней сердца и сосудов – М.: Мед.лит., 1999, ст.70-77.
-
В.В. Кархут Жива аптека. – К.: Видавництво “Здоров’я”, 2007
-
М.А. Носаль Лікарські рослини і способи їх застосування в народі. – К.: Видавництво “Здоров’я”, 1964.
-
С.С. Коновалов Книга, которая лечит серце и сосуды. – М.: Видавництво «Олма-пресс», 2004.
-
Ю.Я. Элін, М.Я. Зерова, В.І. Лугина, С.І. Шабарова Дари лісів. – К.: Видавництво “Урожай”, 1983.
-
Вернон Коулмен Гипертония. – Санкт-Петербург: Питер, 1997.
-
Журнал «Клінічна і експериментальна медицина”. – том 3 №1, 2004
-
Журнал “Будьмо здорові”. - №7, 2002, ст.11.
-
Ивашин Д.С., Кашина З.Ф. и др. Лекарственные растения Украины. – К.: Урожай, 1978.















