86102 (612644), страница 2
Текст из файла (страница 2)
Выберем из всего множества сигналов такие, которые ограничены полосой частот 2I, т.е. имеющие спектр
. Рассмотрим периодическую функцию
такую, что:
, т.е. полученную периодизацией F1(ω) (рис. 3.14)
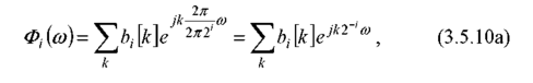
Тогда спектр функции: Fi (ω) при произвольном I можно представить в виде:
Где
- функция окна такая, что:
Посмотрим, как при этих условиях можно представить функцию f (t) во временной области. Для этого разложим периодическую функцию
с периодом
, в ряд Фурье (см.
):
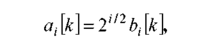
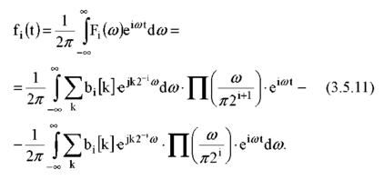
Где, подставляя (3.5.10а) в (3.5.9) и выполняя обратное преобразование Фурье, получим:
Вычислим первый интеграл. Переставляя операции суммирования и интегрирования и ограничивая пределы интегрирования с учетом функции окна, получим:
где вейвлет
(3.5.14)
и (см. рис. 3.16):
(3.5.15)
Выражение (3.5.13) является представлением функции f (t) в базисе вейвлет. В рассматриваемом частном случае идеальной полосовой фильтрации вейвлетом является функция (3.5.14), образованная из материнской функции
по (3.5.15) с учетом (3.5.12). Такой вейвлет называется sinc –вейвлетом по имени функции (3.5.12), которая его образует, а функция (3.5.12) получила название масштабной функции.
Множитель
при
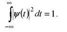
необходим для сохранения нормы
вне зависимости от величины масштаба, так как:
Покажем, что в рассматриваемом частном случае
т.е. определяется отсчетами функции
при
. Рассмотрим интеграл Фурье (
) при дискретных значениях
функции
, заданной на интервале
Имеем, с учетом (3.5.10б):
Последнее равенство справедливо при
и вещественных
Следовательно,
Выполнив преобразование Фурье выражения (3.5.14), можно видеть, что спектр Фурье sinc -вейвлета представляет собой идеальный полосовой фильтр, в общем случае занимающий полосу частот от
до
Вейвлет Хаара. Разобьем теперь временную ось на интервалы, как показано на рис. 3.17 и определим на единичном интервале функцию
Эта функция является материнским вейвлетом, так как она удовлетворяет условию (
). Система сдвигов таких функций
образует ортонормальный базис, так как их взаимная энергия равна нулю при
и равна единице при
Преобразование Фурье (
) вейвлета Хаара имеет вид и показано на рис. 3.17б.
Функции Хаара, также как sinc -вейвлет, могут быть получены с помощью масштабной функции
что иллюстрируется на рис. 3.18.
Из приведенных примеров следует ряд интересных выводов:
1. Представление вейвлет-функции в виде прямоугольников в любой из областей (частотной или временной) ведет к бесконечному расширению в противоположной области. Следовательно, для того, чтобы функции вейвлет были локализованы одновременно во временной и частотной областях, они должны убывать с ростом аргумента, по крайней мере, по закону обратной пропорциональности (см.(
и
)).
-
Вейвлеты ψ(t), спектры Фурье которых представляют собой полосовые фильтры, могут быть выражены через масштабные функции
(t), спектры Фурье которых представляют собой фильтры нижних частот (см. формулы (3.5.15) и (3.5.19)). -
Базисные функции для DWT могут быть получены из одной материнской функции путем ее масштабирования и сдвига (см. формулы (3.5.14) и (3.5.15)).
-
Любой сигнал f(t) из L2 может быть представлен своим вейвлет- разложением (3.5.13), если число компонентов fi(t) таково, что они занимают полосу частот большую, чем полоса сигнала.
Литература
1. Новиков И.Я., Стечкин СБ. Основы теории всплесков // Успехи математических наук. 1998. V. 53. № 6. С.9-13.
2.Петухов А.П. Введение в теорию базисов всплесков. СПб.: Изд. СПбГТУ, 1999. 131 с.
3.Воробьев В.И., Грибунин В.Г. Теория и практика вейвлет-преобразования. СПб.: ВУС, 1999. 203 с.
-
Астафьева Н.М. Вейвлет-анализ: основы теории и примеры применения// УФН . 1996. Т. 166, № 11. С. 1145-1170.
-
Martin Vatterli, Jelena Kovačevic. Wavelets and Subband Coding. Prentice Hall, New Jersey, 1995.
(t), спектры Фурье которых представляют собой фильтры нижних частот (см. формулы (3.5.15) и (3.5.19)).














