288386 (609907)
Текст из файла
СОДЕРЖАНИЕ
ВВЕДЕНИЕ
1. ПОСТАНОВКА ЗАДАЧИ
2. ОПИСАНИЕ ИСПОЛЬЗОВАННЫХ АЛГОРИТМОВ
2.1 Алгоритм сегментации текста
2.2 Алгоритм распознавания слова. Персептрон
3. РАЗРАБОТКА И РЕАЛИЗАЦИЯ ПО
3.1 Архитектура программы
3.2 Интерфейс программы
3.3 Описание разработанных классов
4. ТЕСТИРОВАНИЕ ПО
4.1 Запуск приложения
ВЫВОДЫ
СПИСОК ИСПОЛЬЗОВАННЫХ ИСТОЧНИКОВ
ПРИЛОЖЕНИЕ A ЛИСТИНГ ПРОГРАММЫ
ОПИСЬ ЛИСТОВ ГРАФИЧЕСКОЙ ЧАСТИ
ВВЕДЕНИЕ
В последние годы распознавание образов находит все большее применение в повседневной жизни. Распознавание речи и рукописного текста значительно упрощает взаимодействие человека с компьютером, распознавание печатного текста используется для перевода документов в электронную форму.
Реализация методов распознавания необходима в автоматизированных системах, предназначенных для использования в криминалистике, медицине, военном деле.
Особо следует отметить распознавание полноценных изображений. Область применения данного раздела многогранна. Например, на современных заводах контроль качества производимой продукции зачастую производят с использованием систем распознавания, которые отсеивают брак. Распознавание полноценных изображений применяется также на дорогах, для определения и распознавания номеров автомобилей, контроль их скорости. Обработка изображений актуальна и при анализе снимков из космоса и с самолётов. Таким образом, видно, что область применения распознавания изображений широка и многогранна и позволяет намного сократить и упростить рабочий процесс и вместе с тем повысить его качество. Однако, возможности интеллектуального анализа изображений с помощью компьютеров оставляют желать лучшего. Можно с уверенностью отметить лишь успехи в распознавании букв и цифр в документах и текстах, а также анализе изображений специального вида. Такая область как распознавание текстур, исследование в которой проводятся не одно десятилетие, пока не имеет универсальных методов.
Задачей распознавания изображений является применение методов, позволяющих либо получить некоторое описание изображения, поданного на вход системы, либо отнести это изображение к некоторому определенному классу. Процедура распознавания применяется к некоторому изображению и обеспечивает преобразование его в некоторое абстрактное описание: набор чисел, цепочку символов или граф. Последующая обработка такого описания позволяет отнести исходное изображение к одному из нескольких классов.
Но возникает ряд трудностей и проблем. Чаще всего это связано с тем, что изображения предъявляются на сложном фоне или изображения эталона и входные изображения отличаются положением в поле зрения, или входные изображения не совпадают с эталонами за счет случайных помех.
В данном курсовом проекте разработано приложение, позволяющие на изображении какого либо документа, либо просто текста находить слово "Указ". Входное изображение может быть любого размера, ориентация текста должна быть горизонтальной.
Приложение реализовано в среде программирования MS Visual Studio 2008 на языке C#. Платформа .Net дает широкий набор классов для работы с изображениями и обработки результатов.
1. ПОСТАНОВКА ЗАДАЧИ
Согласно заданию к курсовому проекту необходимо спроектировать приложение, реализованное на языке C# в среде разработки Microsoft Visual Studio 2008, реализующее распознавание слова "Указ" на изображении документа.
Исходные данные:
-
Растровое изображение документа.
-
Текст документа должен быть написан на белом фоне, черным шрифтом.
-
Шрифт текста не должен быть курсивным либо полужирным.
-
Размер изображения может быть любым.
-
Положение текста на изображении горизонтальное.
Приложение должно выполнять следующие задачи:
-
Загрузка изображения в приложение.
-
Сегментация текста на слова.
-
Распознавание среди слов слово "Указ".
Выходные данные:
-
Таблица найденных слов "Указ".
2. ОПИСАНИЕ ИСПОЛЬЗОВАННЫХ АЛГОРИТМОВ
2.1 Алгоритм сегментации текста
Процесс сегментации текста состоит из двух этапов: выделение строк текста и выделение слов в строках.
Поиск строк осуществляется путем просмотра пикселей изображения сверху вниз. При проходе запоминаются вертикальные координаты всех полностью белых полос на изображении (рисунок 2.1).
Рисунок 2.1 – Разбиение текста на строки
После нахождения всех белых горизонтальных полос анализируются их индексы. Для исключения соседних линий, строкой текста считается растр находящийся между двумя последовательными в списке, но не соседними белыми полосками.
Процесс поиска слов в строке заключается в анализировании вертикальных полос на изображении строки. При нахождении первой не полностью бело линии координата запоминается и считается начальной координатой слова, затем анализируются расстояния между буквами. При превышении некоторого порога слово "вырезается" из строки. Процесс продолжается до конца строки.
Алгоритм сегментации текста представлен в графической части
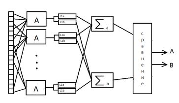
2.2 Алгоритм распознавания слова. Персептрон
Распознавание слова "Указ" в разработанном приложении, реализовано на базе персептрона. Алгоритм обучения персептрона – без учета правильности ответа. Персептрон построен по схеме "Несколько сумматоров". Общая схема персептрона представлена на рисунке 2.2
Рисунок 2.2 – Схема персептрона с несколькими сумматорами
Каждый А-элемент имеет несколько входов и один выход.
А-элементы производят алгебраическое суммирование сигналов, поступивших на их входы, и полученную сумму сравнивают с одинаковой для всех А-элементов величиной ϑ. Если сумма больше ϑ, А-элемент возбуждается и выдает на выходе сигнал, равный единице. Если сумма меньше ϑ, А-элемент остается невозбужденным и выходной его сигнал равен нулю. Таким образом, выходной сигнал j-го Α-элемента:
yj =
где величина rij принимает значение +1, если i -й рецептор подключен ко входу j-го Α-элемента со знаком плюс; и значение -1, если рецептор подключен со знаком минус, и значение 0, если i-ый рецептор к j-му Α-элементу не подключается (j = 1, 2, …, m, где m – число Α-элементов).
Выходные сигналы Α-элементов умножаются на переменные коэффициенты λj.
После умножения на λ выходные сигналы поступают на сумматоры Σ, количество которых также равно числу различаемых образов.
σ =
Предъявленный объект относится к тому образу, сумматор которого имеет наибольший сигнал.
В данной работе есть два распознаваемых класса условно из можно обозначить "Указ" и "Не указ". При обучении класса "Указ" на вход персептрона поступают изображения слова "Указ" написанное разными шрифтами. При обучении класса "Не указ", для повышения надежности работы персептрона, поступают те же изображения с текстом "Указ", но с инвертированными цветом.
В каждом такте персептрон отвечает на предъявленный ему объект возбуждением некоторых А-элементов. Обучение состоит в том, что коэффициенты λj возбужденных в данном такте А-элементов увеличиваются на некоторую величину (например на единицу), если в этом такте был предъявлен объект образа А, и уменьшается на эту же величину, если был предъявлен объект образа В.
3. РАЗРАБОТКА И РЕАЛИЗАЦИЯ ПО
3.1 Архитектура программы
Программа написана как проект Windows Forms Application, т.е. windows-приложение, графический интерфейс которого представлен формами и диалоговыми окнами. Структура разработанного проекта представлена на рисунке 3.1.
Рисунок 3.1 – Структура проекта
Приложение разработано на принципах ООП. Диаграмма разработанных классов представлена на рисунке 3.2
Рисунок 3.2 – Диаграмма классов приложения
Общая схема приложения в натации IDEF0 приведена на рисунке 3.3.
Рисунок 3.3 – Общая схема IDEF0 приложения
3.2 Интерфейс программы
Пользовательский интерфейс представлен главным окном приложения, со всеми элементами управления, необходимыми для отображения и обработки информации. Главная форма в режиме проектирования показана на рисунке 3.4.
Рисунок 3.4 – Главная форма приложения в режиме проектирования
3.3 Описание разработанных классов
Ниже представлен перечень классов разработанных в приложение с кратким описанием их назначения и описанием основных методов.
Form1 – класс, описывающий главную форму приложения, содержит методы обработки событий от элементов управления. Содержит элементы управления для отображения исходного изображения, сегментов изображения и результатов распознавания.
Segmentation – описывает процесс сегментации изображения.
Методы:
public static List
public static List
public static List GetWords(Bitmap text) – выделение слов из всего текста;
public static Bitmap TrimBitmap(Bitmap bmp) – обрезка белых полей вокруг изображения на битмапе.
Recognizer – класс, реализующий персептрон для распознавания образов.
Методы :
public void Teach(Bitmap b, int classindex) – обучение персептрона;
public string Recognize(Bitmap b) – распознавание изображения b;
public void SerializeParams() – сохранение параметров персептрона на диске;
public void DeserializeParams() – чтение параметров персептрона с диска;
public static Bitmap NormalizeBitmap(Bitmap b, Size sz) – подгонка битмапа b по размеру sz. На выходе бинаризованное изображение размера sz;
public static Bitmap InverseBitmap(Bitmap b) – инверсия цвета изображения b.
4. ТЕСТИРОВАНИЕ ПО
Требования к установленному ПО:
- .Net Framework 3.5
Целью проведения испытаний является проверка работоспособности (надежности) программы при различных условиях ее функционирования и настройках. Для демонстрации работоспособности программы необходимо провести ряд испытаний с различными начальными условиями.
Тестовые примеры выполнялись в среде операционной системы Windows 7 Ultimate при использовании процессора AMD Athlon 3600+ 1.9 ГГц, 1 Гб RAM и разрешении экрана 1280x1024.
Приложение подверглось критическому и углубленному тестированию.
При проведении критического тестирования не было выявлено ошибок и некорректной работы приложения.
4.1 Запуск приложения
Для запуска приложения необходимо запустить исполняемый файл WordSearcher.exe. Окно приложения после запуска показано на рисунке 3.4
Рисунок 3.4 – Главное окно приложения
Для начала работы необходимо загрузить исходное изображение, для чего необходимо нажать кнопку "Открыть". В диалоге выбора файла необходимо выбрать изображение. Окно программы после открытия исходного изображения представлено на рисунке 3.5
Рисунок 3.5 – Окно программы с открытым изображением
Характеристики
Тип файла документ
Документы такого типа открываются такими программами, как Microsoft Office Word на компьютерах Windows, Apple Pages на компьютерах Mac, Open Office - бесплатная альтернатива на различных платформах, в том числе Linux. Наиболее простым и современным решением будут Google документы, так как открываются онлайн без скачивания прямо в браузере на любой платформе. Существуют российские качественные аналоги, например от Яндекса.
Будьте внимательны на мобильных устройствах, так как там используются упрощённый функционал даже в официальном приложении от Microsoft, поэтому для просмотра скачивайте PDF-версию. А если нужно редактировать файл, то используйте оригинальный файл.
Файлы такого типа обычно разбиты на страницы, а текст может быть форматированным (жирный, курсив, выбор шрифта, таблицы и т.п.), а также в него можно добавлять изображения. Формат идеально подходит для рефератов, докладов и РПЗ курсовых проектов, которые необходимо распечатать. Кстати перед печатью также сохраняйте файл в PDF, так как принтер может начудить со шрифтами.















