50064 (609891)
Текст из файла
1. Разработка эскизного и технического проектов программы
Придержан стандарт ГОСТ 19.404–79 к содержанию и оформлению программного документа «Пояснительная записка», входящего в состав документов на стадиях разработки эскизного и технического проектов программы.
1.1 Задание
Тема: Разработка приложения для Windows, представляющего собой выполнение операции над матрицами.
Условие задачи:
Составить программу, проверяющую, образуют ли элементы двумерного массива магический квадрат. В магическом квадрате суммы чисел по всем вертикалям, всем горизонталям и двум диагоналям одинаковы.
Составить контрольный пример.
1.2 Назначение и область применения
Необходимо разработать программу выполнения действий над элементами матрицы, учитывая условия магического квадрата.
Программа может быть использована в учебном процессе в качестве наглядного пособия.
Поскольку ставится задача разработать приложение для Windows, то использоваться программа может только под управлением ОС Windows.
1.3 Технические характеристики
Постановка задачи – разработать проект, который обеспечивает проверку, является ли заданная квадратная матрица магическим квадратом.
Программа должна осуществить сложение элементов матрицы по вертикали, по горизонтали и по диагоналям.
Входная информация по задаче – целочисленная квадратная матрица. Выходная информация – сообщение о том, что матрица является или не является магическим квадратом.
Также входными данными являются количество строк и столбцов матрицы.
Для программирования данной задачи используются структура данных – массив. Использованы конструкции разветвляющиеся и циклические конструкции.
Массив – совокупность однотипных элементов. Двумерный массив называются матрицей. Матрица определяется именем, размерность и типом. Например А [4,4] – матрица из 4 строк и 4 столбцов. Доступ к элементам массива осуществляется с помощью индексов. Для доступа к элементам матрицы используются два индекса. Например A [I, j] – элемент на пересечений i – строки, j – столбца.
В программе для удобства пользователю исходная матрица формируется с помощью генерации случайных чисел. Использованы случайные числа в пределах от 0 до 5.
Размерность матрицы вводится в поле ввода. Ограничение на размерность матрицы в пределах <30.
По условию поставленной задачи необходимо программировать проверку выполнения условий магического квадрата для исходной матрицы.
Операцию размернорсть матрицы должен выбрать пользователь.
Элементы матрицы формируются с помощью функции случайных чисел.
Проверка проверка условий магического квадрата выполняется вызовом отдельной процедуры, т.е. нажатием на button1.
В
программе решаются три независимые друг от друга подзадачи.
1. Формирование матрицы.
2. Суммирование элементов по строкам, по столбцам, по двум диагоналям и проверка условий.
Сложение элементов матрицы по строкам
Вначале проверяется равность суммы элементов двух диагоналей, если они равны по циклу проверяются равность сумм элементов строк, столбцов.
Входными данными в данной задаче являются число n – размер и матрица размером nхn. Для условий задачи подходит квадратная матрица. Выходными данными является сообщение, о результате «матрица является магическим квадратом» или «матрица не является магическим квадратом».
В программе для удобства исходная матрица формируется случайными числами.
Размер поля StringGrid меняется в зависимости от значения n.
Задание на курсовую работу – разработка приложения для Windows, поэтому использована среда разработки приложений Delphi.
Delphi – это среда быстрой разработки, в которой в качестве языка программирования используется Object Pascal. В основе идеологии Delphi лежит технология визуального программирования и методология объектно-ориентированного программирования. В курсовом проекте использованы три формы и следующие визуальные компоненты.
TLabel служит для отображения текста на экране. Можно изменить шрифт и цвет метки, если дважды щелкнуть на свойство Font в Инспекторе Объектов. Это легко сделать и во время выполнения программы, написав всего одну строчку кода.
TStringGrid – служит для представления текстовых данных в виде таблицы. Доступ к каждому элементу таблицы происходит через свойство Cell.
TButton позволяет выполнить какие-либо действия при нажатии кнопки во время выполнения программы. В Delphi все делается очень просто. Поместив TButton на форму, по двойному щелчку можно создать заготовку обработчика события нажатия кнопки.
Над объектами проекта использованы события Show, Create, onClick, Close.
Для полноценной работы данной программы необходимы следующие ресурсы компьютера: процессор Pentium IV или Celeron 2.0Ghz.
Оперативная память не менее 512 Мбайт, достаточное количество свободного места на диске – порядка 1 Гбайт.
2. Разработка рабочего проекта
2.1 Разработка программы
Проект программы содержит три окна:
1. Form1 – главное окно (выполнение операции над матрицами).
2. Form2 – справка о разработчике.
Окно Form1.
Главное окно программы – Form1
Ниже приведены описание компонентов, некоторые похожие компоненты не описаны.
Компонент Form1
Свойства:
Сaption – Магический квадрат;
Border – bsSingle;
BiSystemMenu – false;
BiMinimaze – false;
BiHelp – False;
События: нет.
1 – компонент TМainMenu
Свойства:
object MainMenu1: TMainMenu
Items
Справка (N1) О программе(N4)
Выход (N2)
События:
Для N1 – событие BitBtn1Click (приводится ниже).
N2Click – закончить работу с приложением.
N1Click – перейти к работе со второй формой.
2 – компонент StringGrid1
Свойства
Left = 152
Top = 42
Width = 220
Height = 180
DefaultColWidth = 20
DefaultRowHeight = 16
FixedCols = 0
FixedRows = 0
3 – компонент Button1
Caption = 'Магический квадрат?'
событие
OnClick = Button1Click
4 – компонент Label6:
Свойства
Left = 96
Top = 400
Width = 196
Height = 24
Caption = «Контрольный пример»
Font. Charset = DEFAULT_CHARSET
OnClick = Label6Click
5 – компонент Edit1:
Свойства
Left = 232
Top = 48
Width = 41
Height = 32
Ниже приводится окно Form2.
Окно Form2
компонент Form2
Свойства
Caption Справка
1-компонент Label1
object Label1: TLabel
Left = 24
Top = 48
Width = 582
Height = 20
Caption =
«Программа разработана в качестве курсовой работы по программированию»
Font. Charset = DEFAULT_CHARSET
Font. Color = clWindowText
Font. Height = -16
Font. Name = 'MS Sans Serif'
Font. Style = []
ParentFont = False
Написание программы
Для решения поставленной задачи в программе был объявлен двумерный массив(матрица)
x:array [0.. 10,0..10] of integer;
Доступ к элементам массива осуществляется с помощью индексов, поэтому были объявлены целочисленные простые переменные.
k, s, c, i, j, n:integer;
В программе используются циклические конструкции. Кроме вложенных циклов с параметром программа содержит сложную конструкцию Условие [Цикл[Условие]].
// процедура формирования матрицы x
procedure TForm1. Label3Click (Sender: TObject);
begin
if edit1. Text='' then showmessage ('введите размер матрицы') else
randomize;
n:=strtoint (edit1. Text);
stringgrid1. Visible:=true;
n:=n-1;
StringGrid1. Height:=StringGrid1. DefaultRowHeight* (strtoint (edit1.text)+1);
StringGrid1. Width:=StringGrid1. DefaultColWidth* (strtoint (edit1.text)+1);
StringGrid1. ColCount:=strtoint (edit1.text);
StringGrid1. RowCount:=strtoint (edit1.text);
for i:=0 to n do
for j:=0 to n do
begin
x [i, j]:=random(5)+1;
end;
for i:=0 to n do
for j:=0 to n do
begin
stringgrid1. Cells [j, i]:=inttostr (x[i, j]);
end;
end;
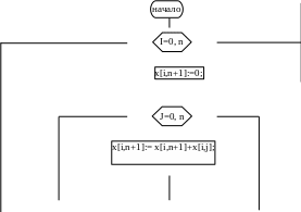
// процедура вычисления суммы элементов матрицы и проверки
procedure TForm1. Button1Click (Sender: TObject);
begin
s:=0;
for i:=0 to n do
s:= s+x [i, i];
c:=0;
for j:=n downto 0 do
c:= c+x [n-j, j];
for i:=0 to n do
begin
x [i, n+1]:=0;
for j:=0 to n do
x [i, n+1]:=x [i, n+1]+x [i, j];
end;
for i:=0 to n do
begin
x [n+1, i]:=0;
for j:=0 to n do
x [n+1, i]:=x [n+1, i]+x [j, i];
end;
k:=0;
if c=s then begin
for i:=0 to n do
if (c=x [n+1, i]) and (c=x [i, n+1]) then k:=k+1; end;
if k=n+1 then label4.caption:='Данная матрица является магичесим квадратом'
else label4.caption:='Эта матрица не является магическим квадратом';
end;
// Вывод в StringGrid3 контрольной матрицы
procedure TForm1. Label6Click (Sender: TObject);
begin
randomize;
n:=strtoint (edit1. Text);
stringgrid1. Visible:=true;
n:=n-1;
StringGrid1. Height:=StringGrid1. DefaultRowHeight* (strtoint (edit1.text)+1);
StringGrid1. Width:=StringGrid1. DefaultColWidth* (strtoint (edit1.text)+1);
StringGrid1. ColCount:=strtoint (edit1.text);
StringGrid1. RowCount:=strtoint (edit1.text);
for i:=0 to n do
for j:=0 to n do
begin
x [i, j]:=random(1)+1;
end;
for i:=0 to n do
for j:=0 to n do
begin
stringgrid1. Cells [j, i]:=inttostr (x[i, j]);
end;
end;
2.2 Спецификация программы
Исполняемый файл программы выполнения операции над матрицами имеет название Matr.exe и расположен на компакт-диске в каталоге Matr1\Magi. Состав проекта.
| Наименование | Обозначение | Примечания |
| Magi.res | Файл ресурсов | Содержит пиктограммы, графические изображения |
| Magi.dpr | Файл проекта | Связывает все файлы из которых состоит приложение |
| Magi.dof | Файл параметров проекта | Содержит текущие установки проекта: настройки компилятора и компоновщика, имена служебных каталогов, условные директивы |
| Magi.cfg | Файл, содержащий конфигурационную информацию о проекте | Содержит информацию о том какие окна открыты и в каких позициях они расположены |
| Unit2.pas | Файл программного модуля для формы №2 | Определяет функциональность формы №2 |
| Unit2.dfm | Файл формы №2 | Содержит список свойств всех компонентов, включенных в форму №2 |
| Unit2.dcu | Объектный файл для Unit2.pas | Откомпилированная версия Unit2.pas |
| Unit1.pas | Файл программного модуля для формы №1 | Определяет функциональность формы №1 |
| Unit1.dfm | Файл формы №1 | Содержит список свойств всех компонентов, включенных в форму №1 |
| Unit1.dcu | Объектный файл для Unit1.pas | Откомпилированная версия Unit2.pas |
2.3 Текст программы
Листинг программы.
unit Unit1;
interface
// подключение модулей
uses
Windows, Messages, SysUtils, Variants, Classes, Graphics, Controls, Forms,
Dialogs, StdCtrls, Grids, Menus;
// описание типов
type
TForm1 = class(TForm)
Label1: TLabel;
StringGrid1: TStringGrid;
Edit1: TEdit;
Label2: TLabel;
Label3: TLabel;
Button1: TButton;
Label4: TLabel;
Label6: TLabel;
MainMenu1: TMainMenu;
N1: TMenuItem;
N2: TMenuItem;
procedure Label3Click (Sender: TObject);
procedure FormCreate (Sender: TObject);
procedure Button1Click (Sender: TObject);
procedure Label6Click (Sender: TObject);
procedure N1Click (Sender: TObject);
procedure N2Click (Sender: TObject);
private
{Private declarations}
public
{Public declarations}
end;
// описание переменных
var
Form1: TForm1;
k, s, c, i, j, n:integer;
x:array [0.. 10,0..10] of integer;
implementation
uses Unit2;
{$R *.dfm}
// формирование матрицы
procedure TForm1. Label3Click (Sender: TObject);
begin
if edit1. Text='' then showmessage ('введите размер матрицы') else
randomize;
n:=strtoint (edit1. Text);
stringgrid1. Visible:=true;
n:=n-1;
StringGrid1. Height:=StringGrid1. DefaultRowHeight* (strtoint (edit1.text)+1);
StringGrid1. Width:=StringGrid1. DefaultColWidth* (strtoint (edit1.text)+1);
StringGrid1. ColCount:=strtoint (edit1.text);
StringGrid1. RowCount:=strtoint (edit1.text);
for i:=0 to n do
for j:=0 to n do
begin
x [i, j]:=random(5)+1;
end;
for i:=0 to n do
for j:=0 to n do
begin
stringgrid1. Cells [j, i]:=inttostr (x[i, j]);
end;
end;
procedure TForm1. FormCreate (Sender: TObject);
begin
stringgrid1. Visible:=false;
end;
// основная процедура вычислении и проверки
procedure TForm1. Button1Click (Sender: TObject);
begin
s:=0;
for i:=0 to n do
s:= s+x [i, i];
c:=0;
for j:=n downto 0 do
c:= c+x [n-j, j];
for i:=0 to n do
begin
x [i, n+1]:=0;
for j:=0 to n do
x [i, n+1]:=x [i, n+1]+x [i, j];
end;
for i:=0 to n do
begin
x [n+1, i]:=0;
for j:=0 to n do
x [n+1, i]:=x [n+1, i]+x [j, i];
end;
k:=0;
if c=s then begin
for i:=0 to n do
if (c=x [n+1, i]) and (c=x [i, n+1]) then k:=k+1; end;
if k=n+1 then label4.caption:='Данная матрица является магичесим квадратом'
else label4.caption:='Эта матрица не является магическим квадратом';
end;
// показать матрицу
procedure TForm1. Label6Click (Sender: TObject);
begin
randomize;
n:=strtoint (edit1. Text); // количество строк или столбцов
stringgrid1. Visible:=true; // видимость
n:=n-1;
// настройка размера StringGrid
StringGrid1. Height:=StringGrid1. DefaultRowHeight* (strtoint (edit1.text)+1);
StringGrid1. Width:=StringGrid1. DefaultColWidth* (strtoint (edit1.text)+1);
StringGrid1. ColCount:=strtoint (edit1.text);
StringGrid1. RowCount:=strtoint (edit1.text);
for i:=0 to n do
for j:=0 to n do
begin
x [i, j]:=random(1)+1; // контрольная матрица
end;
for i:=0 to n do
for j:=0 to n do
begin
stringgrid1. Cells [j, i]:=inttostr (x[i, j]);
end;
end;
// запустить 2-форму
procedure TForm1.N1Click (Sender: TObject);
begin
form2.show;
end;
// закрытие
procedure TForm1.N2Click (Sender: TObject);
begin
close;
end;
end.
// код для 2 – формы
unit Unit2;
interface
uses
Windows, Messages, SysUtils, Variants, Classes, Graphics, Controls, Forms,
Dialogs, StdCtrls;
type
TForm2 = class(TForm)
Label1: TLabel;
Label2: TLabel;
Label3: TLabel;
Label4: TLabel;
private
{Private declarations}
public
{Public declarations}
end;
var
Form2: TForm2;
implementation
{$R *.dfm}
end.
2.4 Описание программы
Программа предназначена для выполнения операции над матрицей. Программа написана на языке Object Pascal. Работает в среде операционных систем Widows 2000/XP. Для полноценной работы данной программы необходимы следующие ресурсы компьютера: процессор Pentium IV или Celeron 2.0Ghz.
Оперативная память не менее 512 Мбайт, достаточное количество свободного места на диске – порядка 1 Гбайт.
Программа запускается нажатием на файл Magi.exe. На открывающем окне формы расположен меню MainMenu, через которого можно открыть справки, помощь и закрыть программу. Ввод данных осуществляется с помощью случайных чисел. Нажатие на метку Показать вызывает процедуры формирования матрицы. Элементы матриц загружаются для отображения на форме в компонент StringGrid1.
Выходная информация размещается в поле Label4. Пользователю предлагается задать количество строк.
Программа загружается нажатием на файл Magi.exe из папкиmag Кусаинова.
Исходные матрица описана как квадратные целочисленные, диапазон значений элементов от 0 до 5. Такое ограничение обусловливается предотврощением перегруза памяти компьютера и ошибок связанные размерностью матриц. Значения для StringGrid1. ColCount и StringGrid1. RowCount задаются в окне ObjectInspektor.
2.5 Тестирование программы
Программа правильно работает для целочисленной квадратной матрицы размерностью менее 30х30.
Начальный вид формы
Матрица
Результат
Результат контрольного примера
Программа предназначена для выполнения операции над матрицей. Программа написана на языке Object Pascal. Работает в среде операционных систем Widows 2000/XP. Для полноценной работы данной программы необходимы следующие ресурсы компьютера: процессор Pentium IV или Celeron 2.0 Ghz.
Оперативная память не менее 512 Мбайт, достаточное количество свободного места на диске – порядка 1 Гбайт.
Программа запускается нажатием на файл Magi.exe. На открывающем окне формы расположен меню MainMenu, через которого можно открыть справки, помощь и закрыть программу. Ввод данных осуществляется с помощью случайных чисел. Нажатие на метку Показать вызывает процедуры формирования матрицы. Элементы матрицы и контрольной матрицы загружаются для отображения на форме в компонент StringGrid1.
Список использованных источников
-
Фаронов, В.В. Turbo Pascal [Текст]: учеб. пособие / В.В. Фаронов. – СПб.: Питер, 2006. – 366 с.
-
Бобровский, С.И. Технологии Delphi 2006. Новые возможности [Текст] / С.И. Бобровский. – СПб.: Питер, 2006.
-
Культин, Н.Б. Delphi в задачах и примерах [Текст] / Н.Б. Культин. – СПб.: БХВ-Петербург, 2004.
-
Культин, Н.Б. Основы программирования в Delphi 7 [Текст] / Н.Б. Культин. – СПб.: БХВ-Петербург, 2003.
-
Немнюгин, С.А. Turbo Pascal. Программирование на языке высокого уровня [Текст]: учебник для вузов / С.А. Немнюгин. – 2-е изд., перераб. и доп. – СПб.: Питер, 2006.
-
Немнюгин, С.А. Turbo Pascal: Практикум [Текст] / С.А. Немнюгин. – 2-е изд. Перераб. и доп. – СПб.: Питер, 2006.
-
Павловская, Т.А. Паскаль. Программирование на языке высокого уровня [Текст]: учебник для вузов / Т.А. Павловская. – СПб.: Питер, 2004. (допущен Министерством образования).
-
Фаронов, В.В. Турбо Паскаль 7.0. Практика программирования [Текст]: учебное пособие / В.В. Фаронов. – М.: ОМД Групп, 2003.
-
Фаронов, В.В. Delphi 2005. Язык, среда, разработка приложений [Текст] / В.В. Фаронов. – СПб.: Питер, 2005.
Характеристики
Тип файла документ
Документы такого типа открываются такими программами, как Microsoft Office Word на компьютерах Windows, Apple Pages на компьютерах Mac, Open Office - бесплатная альтернатива на различных платформах, в том числе Linux. Наиболее простым и современным решением будут Google документы, так как открываются онлайн без скачивания прямо в браузере на любой платформе. Существуют российские качественные аналоги, например от Яндекса.
Будьте внимательны на мобильных устройствах, так как там используются упрощённый функционал даже в официальном приложении от Microsoft, поэтому для просмотра скачивайте PDF-версию. А если нужно редактировать файл, то используйте оригинальный файл.
Файлы такого типа обычно разбиты на страницы, а текст может быть форматированным (жирный, курсив, выбор шрифта, таблицы и т.п.), а также в него можно добавлять изображения. Формат идеально подходит для рефератов, докладов и РПЗ курсовых проектов, которые необходимо распечатать. Кстати перед печатью также сохраняйте файл в PDF, так как принтер может начудить со шрифтами.















