274605 (609279), страница 4
Текст из файла (страница 4)
Висновок: Отримані в результаті обчислень різними програмними продуктами (Excel, MathCAD) значення повністю ідентичності, що говорить про вірогідність правильного рішення.
Задача 4.
Ємність відстійника для відходів повинна складати 40000 л. Виготовляється з залізобетону товщиною 10 см. Визначити геометричні параметри відстійника (L,H,a,W), при яких на його виготовлення піде мінімальна кількість бетону (див. Рис.).
Рис.
2.4 Завдання 2.2
Функція об'єкта
задана неявно рівнянням
,
,
. Побудувати графіка залежності функції
на заданому відрізку
й знайти ee мінімум і максимум з точністю
Рішення засобами Excel
Щоб вирішити задачу необхідно заповнити таблицю. Задаємо значення t=[4,7]. Задаємо функцію f(x), у якій початкове значення х буде дорівнює "0".
Далі скористаємося вікном "підбор параметра":
Рисунок 2.24- Вікно підбора параметра
Рисунок 2.25 - Вікно результату підбора параметра з результатом
Рисунок 2.26 - Результат рішення
Отримане значення х необхідно перенести в наступний осередок і на це значення х зробити підбор параметра.
Рисунок 2.27 - Вікно підбора параметра
Така дія необхідно виконувати доти, поки t не буде дорівнює "7".Далі необхідно побудувати графік за значеннями x й t (рис. 2.28 ):
Рисунок 2.28 - Побудова графіка
Для визначення максимуму й мінімуму функції необхідно заповнити таблицю з вихідними даними й розрахунковими формулами. Задаємо початкові значення x й y рівні "0"
Рисунок 2.29 - Таблиця початкових даних
Максимальні й мінімальні значення необхідно знайти за допомогою вікно Пошук рішень.
Рисунок 2.30 - Вікно пошуку рішень на максимум
При натисканні клавіші "Виконати" на екрані з'являється наступне вікно й таблиця з рішенням.
Рисунок 2.31 - Результат максимуму функції
Рисунок 2.32 - Вікно пошуку рішень на мінімум
При натисканні клавіші "Виконати" на екрані з'являється наступне вікно й таблиця з рішенням.
Рисунок 2.33 - Результат мінімуму функції
Результат: max x = 1.284 t = 1.6
min x = 0.1476 t = -1
Розрахункові дані одержали тільку за допомогою програми MS Excel. Тому що функція є складної, знайти її максимум і мінімум можна тільки через підбор параметрів з попереднього значення х, що не вийде зробити в Math CAD.
2.5 Завдання 2.4
Варіант 3
Задача про проектування оптимального асортиментах.
Підприємство планує випускає 2 види продукції. Ціна одиниці 1 виду продукції - 2500, 2-го виду продукції - 5000. Для виготовлення продукції використаються три види сировини, запаси якого 37, 57,6 й 7 умовних одиниць. Норми витрат кожної сировини на одиницю продукції представлені в таблиці.
| Продукция | Затраты сырья | |
| 1-вид | 2-вид | |
| Нормы | ||
| 1,2 | 1,9 | 37+0,1*N |
| 2,3 | 1,8 | 57,6+0,1*N |
| 0,1 | 0,7 | 7+0,1*N |
Рисунок 2.34 - Вихідні дані
Потрібно визначити планова кількість випускає продукции, що (підібрати параметри плану) таким чином, щоб прибуток був максимальною (при заданих обмеженнях).
Для варіантів (27й 28) вирішити задачу з урахуванням собівартості (С) продукції рівної : С1 = 10*N, С2 = 30*N, де N -номер варіанта.
Задачу вирішити засобами Excel й Mathcad зробити висновки
Рішення засобами Excel
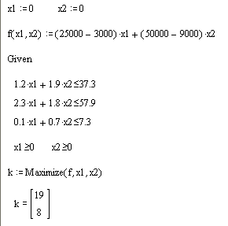
1-й вид - x1 одиниць, 2-й вид - x2 одиниць: зроблена продукція
Тоді прибуток від зробленої й проданої продукції виражається цільовою функцією (уважаючи собівартість Сi рівної нулю):
f(x1,x2)=(2500-с1) x1+(5000-с2)x2.
Обмеження по запасах сировини:
1,2 x1+1,9 x2 ≤ 37,3
2,3 x1+1,8 x2 ≤ 57,9
0,1 x1+0,7 x2 ≤ 7,3
Необхідно задати початкові значення х1 і х2, які будуть дорівнюють нулю (рис. 35)
Рисунок 2.35 - Таблиця початкових даних
Рисунок 2.36 - Дані в режимі відображення формул
Далі необхідно скористатися вікном "Пошук рішення".
Рисунок 2.37 - Вікна пошуку рішень
При натисканні клавіші "Виконати" на екрані з'являється наступне вікно й таблиця з рішенням (рис. 38)
Рисунок 2.38 - Результати рішення
Результат: x1 = 19 x2 = 7
з урахуванням собівартості: x1 = 17 x2 = 8
Рішення засобами MathCAD
Дану функцію необхідно задатися початковими значеннями.
- початкові значення.
Вибираємо обмеження
З урахуванням собівартості:
Результат: x1 = 19 x2 = 7
з урахуванням собівартості: x1 = 17 x2 = 8
Перевірка:
Отримані значення підставляємо в дані функції.
(2500-30)*17+(5000-90)*8=81270
2500*19+5000*7=82500
Результати збігаються, отримані різними засобами й методами. Порівнюючи методи рішення можна сказати, що програма MathCAD зручна своєю простотою й швидкістю у відмінності від Excel, що у свою чергу дозволяє зрозуміти процес рішення задачі.
ВИСНОВКИ
Мети й завдання курсової роботи з теми "Проектування офісу програмування" досягнуті в повному обсязі: систематизація й закріплення теоретичних знань, отриманих при вивченні навчальної дисципліни "Основи автоматизованого проектування складних систем" і придбання навичок у використанні сучасних інформаційних технологій, а також придбання й закріплення навичок самостійної роботи.
У математичному моделюванні були вирішені всі задані завдання за допомогою Excel, MathCAD. Всі отримані результати вирішені двома програмами сходяться значити отримані розрахунки були зроблені правильно. Порівнюючи методи рішення можна сказати, що програма MathCAD зручна своєю простотою й швидкістю у відмінності від Excel, що у свою чергу дозволяє зрозуміти процес рішення задачі.
У графічному моделюванні був змодельований офіс, ведучий свій бізнес у сфері одягу. План офісу розроблявся, виходячи з кількості співробітників і заданого встаткування (2 комп'ютери, 2 принтери, 1 сканер, 2 блоку безперебійного живлення). На плані показані меблі, комп'ютери, електротехнічні арматури (світильники, вимикачі, розетки), вікна й двері. Розроблений дизайн офісу (килимове покриття, кольори стін, форми вікон і т.д.). На території крім офісу, розміщені газони, доріжки, під'їзд для автомобіля. Розташувати ємність для поливу газону на плані території офісу. Був зроблено альтернативний вибір комп'ютерного забезпечення. План офісу займає 21,5 м².
У даній курсовій роботі є недоліки, які можна в наслідку модернізувати, наприклад, електропроводка в офісі.
СПИСОК ВИКОРИСТАНИХ ДЖЕРЕЛ
-
Конспект лекцій по дисципліні "Основи автоматизованого проектування складних систем". Лектор Карчевскій В.П.
-
Інформатика: Базовий курс/ С.В.Симонович ізд. - Спб.: Пітер, 2001.-640з
-
http://www.spez.com.ua
-
Леонтьев В.П. Новітня енциклопедія персонального комп'ютера. - М.: Олма-пресс Утворення, 2004. - 734 с.: іл.
-
Комп'ютер з нуля. Книга + Відеокурс: учеб. пособ/ під ред. Ф.Н. Рєзникова. - М.:Кращі книги, [2005]. - 384 с.: іл. + [1] CD. іл.
Додаток - Створення презентації курсового проекту за допомогою Power Point















