274605 (609279), страница 3
Текст из файла (страница 3)
У звіт до проекту також включений:
1. План офісу;
2. Скріншоти 3D-проекти офісу;
3. Звіт по підборі встаткування;
4. Схема електропроводки;
5.Розрахунки енергоспоживання й навантаження на силові елементи.
2 МАТЕМАТИЧНЕ МОДЕЛЮВАННЯ
2.1 Завдання 1.1
Варіант 3
Модель об'єкта представлена системою лінійних рівнянь:
Визначити невідомі змінні(Xi)
-
використовуючи функцію Find;
-
використовуючи Поиск решения у Excel. Зрівняти результати.
Система лінійних рівнянь
Рішення засобами Excel
Щоб вирішити систему рівнянь, використаємо команду Пошук рішення. Однак спочатку формується таблиця початкових даних (рис.2.1):
Рисунок 2.1 - Таблиця початкових даних
Правильність рішення системи рівняння можна простежити, якщо включити режим відображення формул (рис. 2.2):
Рисунок 2.2 - Дані в режимі відображення формул
Для рішення рівняння, необхідно заповнити вікно "Пошук рішення" у такий спосіб (рис. 2.3)
Рисунок 2.3 - Вікно пошуку рішень
При натисканні клавіші "Виконати" на екрані з'являється наступне вікно й таблиця з рішенням (рис 2.4)
Рисунок 2.4 - Вікно з рішеннями
Рисунок 2.5- Результат рішення
Результат: x1=5; x2=0; x3=3; x4=2
Рішення засобами MathCAD
Рішення даної системи рівняння можна знайти за допомогою розв'язуваного блоку Given...Find.
Функція Find шукає точне рішення системи рівнянь, записаної після слова Given.
Результат: x1=5; x2=0; x3=3; x4=2
Перевірка:
Щоб перевірити отримані значення підставляємо в дану систему рівнянь.
Дане рівняння вирішили різними методами й засобами в результаті одержали однакові відповіді, але методи рішення відрізняються. Тому що за допомогою програми Math CAD неможливо зрозуміти процес рішення задачі, що дозволяє зробити MS Excel.
2.2 Завдання 1.2
Варіант 13
Перетворити модель, задану у вигляді системи нелінійних рівнянь до виду f 1(x) = y й f 2 (y)= x. Побудувати їхні графіки й визначити початкове наближення рішення. Вирішити систему нелінійних рівнянь.
Рішення засобами Excel
Знайдемо крапку перетинання y й x. Тому що sin перебувають у проміжку
від -1 до 1, то можна скласти наступні нерівності:
Після побудови й настроювання графіків був зроблений висновок, що доцільно задатися інтервалами, показаними на рис.6
Рисунок 2.6- Інтервали пошуку рішення
Далі необхідно побудувати таблицю й графік функцій використовуючи отримані обмеження.
При побудові графіка необхідно використати дані значення (рис. 7)
Рисунок 2.7- Вибір вихідних даних
Натискаємо "Далі", уводимо назву графіка, поміщаємо діаграму на наявному аркуші, натискаємо "Готове". Після виконання всіх операцій одержимо графіки функцій (рис.2.8).
Рисунок 2.8 - Побудовані графіки функцій
Далі для знаходження точного рішення необхідно заповнити таблицю з вихідними даними й розрахунковими формулами.
Для цього необхідно заповнити таблицю з вихідними даними й
розрахунковими формулами. Задаємо початкові значення х и y рівні "0" (рис. 2.9)
Рисунок 2.9 - Таблиця вихідних даних
Необхідно включити режим відображення формул, для перевірки правильності рішення (рис. 2.10)
Рисунок 2.10 - Дані в режимі відображення формул
Для того щоб вирішити рівняння, скористаємося вікном "Пошук рішення" (рис. 2.11)
Рисунок 2.11 - Вікно пошуку рішень
При натисканні клавіші "Виконати" на екрані з'являється наступне вікно й таблиця з рішенням (рис. 2.12).
Рисунок 2.12 - Результат рішення
Результат: x=0,582,y=1,7999
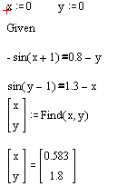
Рішення засобами MathCAD
Систему нелінійних рівнянь можна знайти за допомогою блоку Given...Find[3].
Д
е - початкові значення. Функція Find шукає точне рішення системи рівнянь, записаної після слова Given.
Результат: x=0,582, y=1,799
Перевірка:
Отримані значення підставляємо в дану систему рівнянь
Результати збігаються значить отримані розрахунки різними методами й засобами були зроблені правильно. Але при порівнянні методу рішення в даних програмних продуктах, з'являються відмінності. MathCAD дає можливість швидко й просто одержати результат, а Excel у відмінності від Math CAD дає користувачеві можливість, зрозуміти процес рішення задачі, методом градиентного, імовірнісного пошуку. Так само більш чітко видно значення початкових умов для рішення задачі.
2.3 Завдання 2.1
Варіант 4
Задача А.
Вирішити задачу проектування конусоподобного фільтра.
Із круглої заготівлі (r = 2) фільтровані папери вирізують сектор з кутом , потім з іншого роблять фільтр у вигляді конуса. Необхідно розрахувати величину
кута , при якій забезпечується максимальний об'єм конуса.
R -радіус основи конуса; h - висота конуса; r - радіус заготівлі фільтрованого паперу.
Рішення засобами MathCAD.
Таким чином, задача зведена до максимізації функції однієї змінної.
Максимум цільової функції можна знайти, використовуючи:
Потужним способом MathCAD для рішення оптимизационных задач є використання убудованих функцій Minimize й Maximize. Функція Maximize
використається у вигляді:
Maximize (цільова функція, параметр1, параметр2, ..., параметрN )
Вирішимо нашу задачу використовуючи функцію Maximize
Рішення засобами Excel
Алгоритм рішення даної задачі аналогічний раніше розглянутому. Спочатку ми задаємо цільову функцію, потім визначаємо для неї обмеження, вибираємо змінювані змінні й, задавши перші наближення для змінних, виконуємо Пошук рішення.
Як цільова функція виберемо рівняння об'єму конуса умови незаперечності змінних величин, і кут Q не повинен перевищувати 2 ПІ .
Рисунок 2.13 - Дані в режимі відображення формул
Застосувавши Пошук рішення
Рисунок 2.14 - Вікно пошуку рішення
При натисканні клавіші "Виконати" на екрані з'являється наступне вікно й таблиця з рішенням (рис. 15):
Рисунок 2.15 - Результат рішення
Висновок: Отримані в результаті обчислень різними програмними продуктами (MathCAD ,Excel) значення повністю ідентичності, що говорить про вірогідність рішення. Так само наочно видно, що обчислення в MathCAD більше громіздкі, але з математичної точки зору більше правильні.
Задача Б.
Проектування 2 -х конусоподібних (пожежних) цебер.
Із круглої заготівлі жерсті (r = 3) вирізують сектор з кутом , потім з іншого роблять цебро у вигляді конуса й з вирізаного сектора теж (тобто 2-а цебра). Необхідно розрахувати величину кута θ, тобто Як необхідно розкроїти заготівлю, щоб об'єм 2-х цебер був максимальним.
R -радіус основи конуса; h - висота конуса; r - радіус заготівлі
Рішення засобами Excel.
Для рішення даної задачі необхідно заповнити таблицю з вихідними даними й розрахунковими формулами (рис.16).
| R= | 3 |
| T= | 2,03583904182688 |
| 2Пи-T= | =2*ПИ()-B3 |
| V1 | =(((B2^2)*(B3^2))/(6*ПИ()))*(КОРЕНЬ(B2^2-((B2^2)*(B3^2))/(4*(ПИ()^2)))) |
| V2 | =(((B2^2)*(B4^2))/(6*ПИ()))*(КОРЕНЬ(B2^2-((B2^2)*(B4^2))/(4*(ПИ()^2)))) |
| V | =B6+B7 |
| 2ПИ | =2*ПИ() |
Рисунок 2.16 - Дані в режимі відображення формул
Об'єм першого сектора розраховується по формулі:
Об'єм другого сектора розраховується по формулі:
Далі задається початкове значення кута
=0, установлюється цільовий осередок (загальний об'єм). Викликається "Пошук рішень" (мал.14). Тому що коло - це , тобто, то обмеження для кута
наступні:
.Нижче наведені відповідні таблиці .
Рисунок 2.17- Вікно пошуку рішень
Виконавши даної операції, було отримано наступне рішення (рис. 18,19).
Рисунок 2.18 – Вікно результату пошуку рішень
| R= | 3 |
| T= | 2,035839 |
| 2Пи-T= | 4,247346 |
| V1 | 5,616486 |
| V2 | 19,04211 |
| V | 24,65859 |
| 2ПИ | 6,283185 |
Рисунок 2.19 - Результат рішення
Рішення засобами MathCAD.
Для рішення даної задачі необхідно заповнити таблицю з вихідними даними й розрахунковими формулами, представленими вище.
А далі скористаємося вже відомою структурою Given.















