48624 (608692)
Текст из файла
Кафедра «Автоматизированные системы управления»
Курсовая работа
по дисциплине ВТиП
Разработка программного модуля
Введение
Целью данной курсовой работы является разработка программного модуля, с помощью которого можно задать размерность квадратной матрицы, заполнить матрицу случайными целыми числами от 0 до 6 и вычислить:
- сумму элементов, находящихся под главной диагональю,
- сумму элементов, составляющих главную диагональ.
Для разработки программы использован табличный процессор Excel и язык программирования Visual Basic for Application.
В первом разделе, который называется «Постановка задачи», приведена математическая модель задачи, описаны входные и выходные данные, описана обработка ошибок.
Во втором разделе, «Проектирование программного модуля», изображена структурная диаграмма программного модуля, разработана схема программного модуля и пользовательский интерфейс.
В разделе «Реализация программного модуля» описан код программы, произведено описание используемых операторов и функций.
Тестирование программного модуля приведено в четвертом разделе.
Кроме того, дано заключение и приведён список использованных источников.
1. Постановка задачи
1.1 Математическая модель задачи
Определение квадратной матрицы: квадратной матрицей n-го порядка называется матрица, состоящая из m строк и m столбцов. Главной диагональю квадратной матрицы называется диагональ, составленная из элементов a11 a22… amm .
Способ нахождения суммы элементов квадратной матрицы, лежащих под главной диагональю:
Н
еобходимый результат получается при суммировании элементов в следующем порядке: а21 + а31 + а32 +…+ аi1 + ai2 + ai3 + ai(j-1) – суммируются элементы, начиная со второй строки, и, при увеличении строки на 1, число столбцов, содержащих нужные элементы, также увеличивается на 1. В кратком виде этот цикл выглядит так: i=f…m, где начальное f=2; j=1…(m-b), где начальное b=m-1. При каждой последующей итерации значение f увеличивается на 1, а значение b на 1 уменьшается.
Сумму элементов диагонали матрицы можно получить при суммировании элементов, лежащих на пересечении одинаковых строки и столбца, т.е. если i=j.
1.2 Входные данные
В данном курсовом проекте к входным данным относится размерность квадратной матрицы (значение m).
Требования к входным данным:
- значение m должно вводиться в числовой форме;
- значение m должно быть целым, положительным числом больше нуля.
1.3 Выходные данные
К выходным данным относятся:
- вывод заполненной матрицы на форму;
- вывод заполненной матрицы на лист Excel;
- сумма элементов, находящихся под главной диагональю;
- сумма элементов, составляющих главную диагональ.
Требования к выходным данным:
- выходные данные выводятся в числовом виде.
1.4 Обработка ошибок
При выполнении программного модуля произведена обработка следующих ошибок:
- в поле ввода размерности матрицы вводится нечисловое значение. В этом случае появляется сообщение об ошибке, которое имеет вид, представленный на рисунке 1:
Рисунок 1 - Сообщение об ошибке, в случае нечислового ввода размерности матрицы
- в поле ввода вводится дробное числовое значение. В этом случае появляется сообщение об ошибке, которое имеет вид, представленный на рисунке 2:
Рисунок 2 - Сообщение об ошибке, в случае ввода дробного значения размерности матрицы
- в поле ввода вводится отрицательное число, либо число равное нулю. В этом случае появляется сообщение об ошибке, которое имеет вид, представленный на рисунке 3:
Рисунок 3 - Сообщение об ошибке, в случае ввода отрицательного, либо нулевого значения размерности матрицы
После уведомления пользователя об ошибке поле ввода очищается, и курсор возвращается в это поле.
2. Проектирование программного модуля
2.1 Структурная диаграмма программного модуля
Программа имеет структуру, показанную на рисунке 4:
Рисунок 4 - Структурная диаграмма программного модуля
В данной диаграмме UserForm_Initialize() – процедура инициализации пользовательской формы. CommandButton1_Click() – процедура, срабатывающая при нажатии кнопки «Заполнить матрицу», которая производит проверку правильности ввода размерности матрицы, заполнение матрицы и вывод её на пользовательскую форму. CommandButton2_Сlick() – процедура, срабатывающая при нажатии кнопки «Очистить», которая очищает форму. CommandButton3_Сlick() – процедура, срабатывающая при нажатии кнопки «Выйти», позволяющая пользователю завершить работу с программой. CommandButton4_Click() – процедура, срабатывающая при нажатии кнопки «О программе», которая даёт краткие сведения о программе и её разработчике. CommandButton5_Сlick() – процедура, срабатывающая при нажатии кнопки «Работать с Excel», позволяющая пользователю переключиться на работу с листом Excel. OptionButton1_Click() – процедура-переключатель, при выборе которого вычисляется сумма элементов, находящихся под главной диагональю. OptionButton2_Click() – процедура-переключатель, при выборе которого вычисляется сумма элементов, составляющих главную диагональ.
2.2 Разработка схемы программного модуля и ее описание
Блок-схема процедуры заполнения квадратной матрицы представлена на рисунке 5:
1
2
3
4
5
6
7
8
9
Рисунок 5 – Схема программного модуля (Заполнение матрицы)
Описание блок-схемы:
1 – ввод размера массива;
2 – проверка того, что введённый размер массива является числом;
3 – проверка того, что введённый размер массива является положительным числом, отличным от нуля;
4 – проверка того, что введённый размер массива является целым числом;
5 – задание динамического массива;
6 – цикл, который пробегает значения строк от 1 до заданного размера массива, с шагом равным по умолчанию 1;
7 – цикл, который пробегает значения столбцов от 1 до заданного размера массива, с шагом равным по умолчанию 1;
8 – тело цикла, которое заполняет массив случайными числами от 0 до 6;
9 – вывод результата в поле, предназначенное для вывода квадратной матрицы.
Блок-схема процедуры для первого переключателя представлена на рисунке 6:
1
2
3
4
5
6
Рисунок 6 – Схема программного модуля (первый переключатель)
Описание блок-схемы:
1 – задание начальных параметров для вычисления суммы элементов матрицы;
2 – цикл, который пробегает значения строк от f до заданного размера массива, с шагом равным по умолчанию 1;
3 – цикл, который пробегает значения столбцов от 1 до m-b, с шагом равным по умолчанию 1;
4 – вычисление суммы элементов, лежащих под главной диагональю;
5 – увеличение параметра f на 1 и уменьшение параметра b на 1, после окончания цикла для столбцов (блок 3), и переход к циклу для строк (блок 2);
6 – вывод результата в поле вывода суммы элементов.
Блок-схема процедуры для второго переключателя представлена на рисунке 7:
1
2
3
4
5
6
Рисунок 7 – Схема программного модуля (второй переключатель)
Описание блок-схемы:
1 – задание начальных параметров для вычисления суммы элементов матрицы;
2 – цикл, который пробегает значения строк от 1 до заданного размера массива, с шагом равным по умолчанию 1;
3 – цикл, который пробегает значения столбцов от 1 до заданного размера массива, с шагом равным по умолчанию 1;
4 – проверка условия i = j. В случае выполнения данного условия происходит переход к блоку 5, в противном случае – к блоку 3;
5 – вычисление суммы элементов, составляющих главную диагональю;
6 – вывод результата в поле вывода суммы элементов.
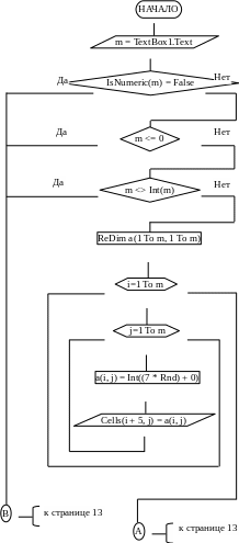
Блок-схема процедуры для работы с листом Excel представлена на рисунке 8:
1
2
3
4
5
6
7
8
9
10
11
12
13
14
15
16
17
18
19
20
2
1
Рисунок 8 – Схема программного модуля (Работа с листом Excel)
Описание блок-схемы:
1 – ввод размера массива;
2 – проверка того, что введённый размер массива является числом;
3 – проверка того, что введённый размер массива является положительным числом, отличным от нуля;
4 – проверка того, что введённый размер массива является целым числом;
5 – задание динамического массива;
6 – цикл, который пробегает значения строк от 1 до заданного размера массива, с шагом равным по умолчанию 1;
7 – цикл, который пробегает значения столбцов от 1 до заданного размера массива, с шагом равным по умолчанию 1;
8 – тело цикла, которое заполняет массив случайными числами от 0 до 6;
9 – вывод массива на лист Excel;
10 – задание начальных параметров для вычисления суммы элементов матрицы, расположенных под главной диагональю;
11 – цикл, который пробегает значения строк от f до заданного размера массива, с шагом равным по умолчанию 1;
12 – цикл, который пробегает значения столбцов от 1 до m-b, с шагом равным по умолчанию 1;
13 – вычисление суммы элементов, лежащих под главной диагональю;
14 – увеличение параметра f на 1 и уменьшение параметра b на 1, после окончания цикла для столбцов (блок 12), и переход к циклу для строк (блок 11);
15 – вывод суммы элементов, лежащих под главной диагональю на лист Excel;
16 – задание начальных параметров для вычисления суммы элементов матрицы, составляющих главную диагональ;
17 – цикл, который пробегает значения строк от 1 до заданного размера массива, с шагом равным по умолчанию 1;
18 – цикл, который пробегает значения столбцов от 1 до заданного размера массива, с шагом равным по умолчанию 1;
19 – проверка условия i = j. В случае выполнения данного условия происходит переход к блоку 5, в противном случае – к блоку 3;
20 – вычисление суммы элементов, составляющих главную диагональю;
21 – вывод суммы элементов, составляющих главную диагональ на лист Excel.
2.3 Разработка пользовательского интерфейса.
Пользовательский интерфейс (ПИ) программы - это совокупность элементов, позволяющих пользователю программы управлять ее работой и получать требуемые результаты, т.е. это диалог между компьютером и пользователем.
Интерфейс для программного модуля, разработанного в данном курсовом проекте представлен на рисунке 9:
1
10
7
6
5
2
3
Характеристики
Тип файла документ
Документы такого типа открываются такими программами, как Microsoft Office Word на компьютерах Windows, Apple Pages на компьютерах Mac, Open Office - бесплатная альтернатива на различных платформах, в том числе Linux. Наиболее простым и современным решением будут Google документы, так как открываются онлайн без скачивания прямо в браузере на любой платформе. Существуют российские качественные аналоги, например от Яндекса.
Будьте внимательны на мобильных устройствах, так как там используются упрощённый функционал даже в официальном приложении от Microsoft, поэтому для просмотра скачивайте PDF-версию. А если нужно редактировать файл, то используйте оригинальный файл.
Файлы такого типа обычно разбиты на страницы, а текст может быть форматированным (жирный, курсив, выбор шрифта, таблицы и т.п.), а также в него можно добавлять изображения. Формат идеально подходит для рефератов, докладов и РПЗ курсовых проектов, которые необходимо распечатать. Кстати перед печатью также сохраняйте файл в PDF, так как принтер может начудить со шрифтами.
















