47637 (608322), страница 2
Текст из файла (страница 2)
Описание программного модуля.
Программа состоит из одного окна, на котором расположены все элементы управления. Справа формы находятся поля для ввода исходных данных.
В центре формы размещена кнопка «Вывести графики и вычислить», нажатие на которую запускает генератор случайных величин. На графике появляются две кривые описывающие функцию плотности логнормального распределения. Красным цветом изображена теоретическая кривая, а синим (метод обратной функции) и зеленым (метод Неймана) – полученная в результате эксперимента. Справа в полях отображаются значения математического ожидания и дисперсии..
Заключение
В моей работе я рассмотрел логнормальное распределение, мы получили графики плотности распределения и функции распределения, и связи с другими распределениями.
В результате работы был создан программный продукт в среде Delphi 7, где мы можем посмотреть как моделируется логнормальное распределение, выводятся графики плотности распределения при помощи аналитических расчетов и стохастических преобразований. А также вычисляется мат. ожидание и дисперсия, стохастическим и аналитическим способами.
Список используемой литературы
-
http://en.wikipedia.org
-
Шеффе Г. Дисперсионный анализ. - М.: Физматгиз, 1980. - 628 с.
-
«Delphi 2005: «Секреты программирования»», Михаил Фленов.
| Общие данные логнормальное распределение | |
| Плотность вероятности | |
| Функция распределения | |
| Параметры | |
| Носитель | |
| Плотность вероятности | |
| Функция распределения | |
| Математическое ожидание | |
| Медиана | eμ |
| Мода | |
| Дисперсия | |
| Коэффициент асимметрии | |
| Коэффициент эксцесса | |
| Информационная энтропия | |
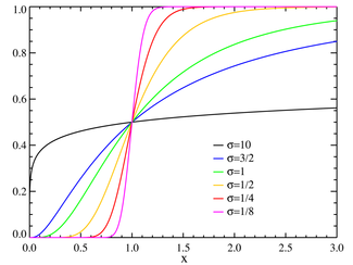
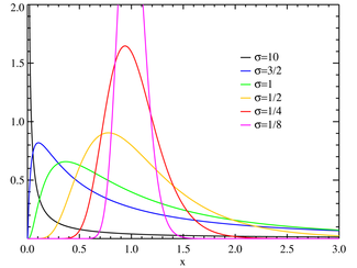
Логнорма́льное распределе́ние в теории вероятностей - это двухпараметрическое семейство абсолютно непрерывных распределений. Если случайная величина имеет логнормальное распределение, то её логарифм имеет нормальное распределение.
Определение
Пусть распределение случайной величины X задаётся плотностью вероятности, имеющей вид:
,
где
. Тогда говорят, что X имеет логнормальное распределение с параметрами μ и σ. Пишут: X˜LogN(μ,σ2).
Моменты
Формула для k-го момента логнормальной случайной величины X имеет вид:
откуда в частности:
,
.
Свойства логнормального распределения
-
Если
- независимые логнормальные случайные величины, такие что
, то их произведение также логнормально:
.
Связь с другими распределениями
-
Если X˜LogN(μ,σ2), то
Y = lnX˜N(μ,σ2).















