46867 (607963), страница 4
Текст из файла (страница 4)
getstatic java.lang.System::out:java.io.PrintStream;
ldc string "Invalid argument";
invokevirtual java.io.PrintStream::println(java.lang.String):void;
return;
protected_blocks;
java.lang.Exception
begin_try : end_try > exception;
end;
%возвращает сумму натуральных чисел от 1 до m_i.
public getSum():int;
maxstack 3;
maxlocals 2;
iconst_0;
istore_1;
aload_0; %this
getfield @::m_i:int;
loop:
dup;
iload_1; %result
iadd;
istore_1; %result
iconst_1;
isub;
dup;
iconst_0;
if_icmpgt loop;
pop;
iload_1; %result
ireturn;
end;
%возвращает значение поля m_i
public getI():int;
maxstack 1;
maxlocals 1;
aload_0; %this
getfield @::m_i:int;
ireturn;
end;
2.
%файл Switches.jsm
public class Switches;
fields;
methods;
%оба метода функционально эквивалентны следующей функции, написанной на Java.
% static int function(int i) {
% switch(i) {
% case 1: return 2;
% case 2: return -1;
% default: return 0;
% }
% }
public static lookup(int):int;
maxstack 1;
maxlocals 1;
iload_0;
lookupswitch
default : l_def
1 : l_1
2 : l_2;
l_def:
iconst_0;
ireturn;
l_1:
iconst_2;
ireturn;
l_2:
iconst_m1;
ireturn;
end;
public static table(int):int;
maxstack 1;
maxlocals 1;
iload_0;
tableswitch 1:2
default : l_def
1 : l_1
2 : l_2;
l_def:
iconst_0;
ireturn;
l_1:
iconst_2;
ireturn;
l_2:
iconst_m1;
ireturn;
end;
3.
Следующий пример представляет собой программу, состоящую из 5 классов.
%-------------------------------------------------------------%
%файл Figure.jsm
public interface Figure;
methods;
public abstract getArea():double;
%-------------------------------------------------------------%
%-------------------------------------------------------------%
%файл Circle.jsm
public class Circle;
implements Figure;
fields;
private m_radius:double;
methods;
public (double):void;
maxstack 4;
maxlocals 3;
aload_0;
invokespecial java.lang.Object::():void;
dload_1;
dconst_0;
dcmpg;
ifge l_endif;
new java.lang.IllegalArgumentException;
dup;
invokespecial java.lang.IllegalArgumentException::():void;
athrow;
l_endif:
aload_0;
dload_1;
putfield @::m_radius:double;
return;
end;
public getArea():double;
maxstack 4;
maxlocals 1;
aload_0;
getfield @::m_radius:double;
aload_0;
getfield @::m_radius:double;
dmul;
ldc2_w double 3.14159265;
dmul;
dreturn;
end;
%-------------------------------------------------------------%
%-------------------------------------------------------------%
%файл Rectangle.jsm
public class Rectangle;
implements Figure;
fields;
private m_a:double;
private m_b:double;
methods;
public (double, double):void;
maxstack 4;
maxlocals 5;
aload_0;
invokespecial java.lang.Object::():void;
dload_1;
dconst_0;
dcmpl;
iflt l_error;
dload_3;
dconst_0;
dcmpl;
ifge l_endif;
l_error:
new java.lang.IllegalArgumentException;
dup;
invokespecial java.lang.IllegalArgumentException::():void;
athrow;
l_endif:
aload_0;
dload_1;
putfield @::m_a:double;
aload_0;
dload_3;
putfield @::m_b:double;
return;
end;
public getArea():double;
maxstack 4;
maxlocals 1;
aload_0;
getfield @::m_a:double;
aload_0;
getfield @::m_b:double;
dmul;
dreturn;
end;
%-------------------------------------------------------------%
%-------------------------------------------------------------%
%файл Square.jsm
public class Square;
extends Rectangle;
methods;
public (double):void;
maxstack 5;
maxlocals 3;
aload_0;
dload_1;
dload_1;
invokespecial Rectangle::(double, double):void;
return;
end;
%-------------------------------------------------------------%
%-------------------------------------------------------------%
%файл MainClass.jsm
public class MainClass;
methods;
public ():void;
maxstack 1;
maxlocals 1;
aload_0;
invokespecial java.lang.Object::():void;
return;
end;
public static main(java.lang.String[]):void;
maxstack 8;
maxlocals 7;
iconst_3;
anewarray Figure;
astore_1;
aload_1;
iconst_0;
new Circle;
dup;
ldc2_w double 10;
invokespecial Circle::(double):void;
aastore;
aload_1;
iconst_1;
new Rectangle;
dup;
dconst_1;
ldc2_w double 2;
invokespecial Rectangle::(double, double):void;
aastore;
aload_1;
iconst_2;
new Square;
dup;
ldc2_w double 3;
invokespecial Square::(double):void;
aastore;
dconst_0;
dstore_2;
iconst_0;
istore 4;
l_50:
iload 4;
aload_1;
arraylength;
if_icmpge l_75;
dload_2;
aload_1;
iload 4;
aaload;
invokeinterface Figure::getArea():double, 1;
dadd;
dstore_2;
iinc 4, 1;
goto l_50;
l_75:
new java.io.BufferedReader;
dup;
new java.io.InputStreamReader;
dup;
getstatic java.lang.System::in:java.io.InputStream;
invokespecial java.io.InputStreamReader::(java.io.InputStream):void;
invokespecial java.io.BufferedReader::(java.io.Reader):void;
astore 4;
l_50:
aload 4;
invokevirtual java.io.BufferedReader::readLine():java.lang.String;
invokestatic java.lang.Double::parseDouble(java.lang.String):double;
dstore 5;
getstatic java.lang.System::out:java.io.PrintStream;
dload 5;
dload_2;
dadd;
invokevirtual java.io.PrintStream::println(double):void;
l_114:
goto l_127;
l_117:
astore 4;
getstatic java.lang.System::out:java.io.PrintStream;
ldc string "Error";
invokevirtual java.io.PrintStream::println(java.lang.String):void;
l_127:
return;
protected_blocks;
java.io.IOException l_75 : l_114 > l_117;
end;
%-------------------------------------------------------------%
Данная программа функционально эквивалентна следующему коду на Java (ассемблерный вариант создан на основе дизассемблированной с помощью утилиты javap Java-программы):
//-----------------------------------------------------------//
public interface Figure {
double getArea();
}
//-----------------------------------------------------------//
//-----------------------------------------------------------//
public class Circle implements Figure {
private double m_radius;
public Circle(double radius) {
if(radius<0)
throw new IllegalArgumentException();
m_radius = radius;
}
public double getArea() {
return m_radius*m_radius*Math.PI;
}
}
//-----------------------------------------------------------//
//-----------------------------------------------------------//
public class Rectangle implements Figure {
private double m_a;
private double m_b;
public Rectangle(double a, double b) {
if(!((a>=0)&&(b>=0)))
throw new IllegalArgumentException();
m_a = a;
m_b = b;
}
public double getArea() {
return m_a*m_b;
}
}
//-----------------------------------------------------------//
//-----------------------------------------------------------//
public class Square extends Rectangle {
public Square(double a) {
super(a, a);
}
}
//-----------------------------------------------------------//
//-----------------------------------------------------------//
import java.io.*;
public class MainClass {
public static void main(String[] args) {
Figure[] figures = new Figure[3];
figures[0] = new Circle(10);
figures[1] = new Rectangle(1, 2);
figures[2] = new Square(3);
double sum = 0;
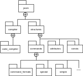
for(int i = 0; i sum += figures[i].getArea(); try{ BufferedReader br = new BufferedReader(new InputStreamReader(System.in)); double d = Double.parseDouble(br.readLine()); System.out.println(d+sum); } catch(IOException exc) { System.out.println("Error!"); } } } //-----------------------------------------------------------// Для реализации компилятора был использован язык программирования Java (JDK версии 1.5). Это позволяет запускать данный компилятор на любой платформе, для которой существует виртуальная машина Java v 1.5. При каждом запуске компилятора обрабатывается один файл исходного текста на языке ассемблера для платформы Java. Компилятор принимает два аргумента командной строки: имя файла исходного текста и имя создаваемого файла класса (явное указание расширения .class обязательно). В случае, если выходной файл уже существует, он перезаписывается без предупреждения. В случае синтаксической или иной ошибки на консоль выводится соответствующее сообщение. Можно выделить несколько основных этапов компиляции (проходов): Чтение исходного файла. При этом он разбивается на предложения, разделенные точками с запятыми, также выбрасываются комментарии; Разбор исходного текста. При последовательном переборе списка предложений выделяются синтаксические конструкции. При разборе используется лексический анализатор, разделяющий предложения на лексемы. На основании выделенных синтаксических конструкций генерируется внутреннее представление программы, имеющее вид древовидной структуры данных, корнем которой является представление класса в целом, узлами первого уровня - объекты, соответствующие методам, полям, элементам Constant Pool и т. д.; Замена номеров меток соответствующими смещениями в коде методов; Генерация байт-кода методов как массивов байт; Генерация файла класса на основании внутреннего представления программы. Данное деление является условным и не означает строгой временной последовательности. Третий и четвертый этапы, по сути дела, являются частями второго этапа. Диаграмма пакетов проекта изображена на рис. 1. Рис. 1. Диаграмма пакетов Корневой пакет проекта имеет имя jasm. Он содержит класс MainClass, метод main() которого является точкой входа в программу, и классы SyntaxErrorException и InternalCompilerErrorException, унаследованные от java.lang.Exception и представляющие ошибки, которые могут возникнуть в процессе компиляции. Пакет compiler содержит классы, ответственные за разбор исходного текста, причем классы, работающие с кодом методов, содержатся во вложенном пакете code_compiler. Пакет structures содержит классы, из объектов которых состоит внутреннее промежуточное представление программы, а также некоторые вспомогательные классы. Он имеет три вложенных пакета: commands, consts и attributes, классы из которых описывают, соответственно, команды байт-кода, элементы Constant Pool и атрибуты полей и методов. В пакет commands в свою очередь вложены пакет command_formats, содержащий базовые абстрактные классы для команд типичных форматов, пакеты, содержащие классы, представляющие команды каждого из типичных форматов, а также пакет special для классов, представляющих команды, имеющие особый формат. Большинство классов из пакета structures входят в иерархию, корнем которой является интерфейс IStructure, содержащий два метода int getLength() и byte[] getContent(), позволяющие получить, соответственно, размер, который займет структура при записи в выходной файл, и массив байт, которыми она представляется в выходном файле. Данный интерфейс не используется для полиморфного вызова методов, он играет лишь роль структурирования программы. Основные классы пакета structures изображены на диаграмме на рис. 2. Рис. 2. Классы пакета jasm.structures. Генерируемый класс как целое представляется объектом класса ClassFile, который содержит в своих полях ссылки на объекты классов ConstantPool, FiledInfo и MethodInfo, описывающие область констант, поля и методы создаваемого класса. Сам класс ClassFile интерфейс IStructure не реализует. Среди его членов следует отметить метод writeToFile(), создающий файл класса на основании информации, содержащейся в объекте. Данный компилятор может создавать атрибуты методов Code, Exceptions и атрибут поля ConstantValue, которые представляются классами, производными от AttributeStructure. Отмечу, что объект класса CodeAttribute содержит байт-код метода уже в виде массива байт, а не в виде объектов классов, представляющих отдельные команды (производных от Command), списки таких объектов используются лишь в процессе обработки кода метода. Абстрактный класс Command дополнительно к методам интерфейса IStructure содержит абстрактный метод byte getByte(int n), который должен возвращать байт с заданным номером в команде. Еще один метод changeOffset имеет пустую реализацию, но переопределяется в классах-потомках, соответствующих командам перехода. Он используется для замены номеров меток смещениями на третьем этапе компиляции. Непосредственными наследниками класса Command являются классы, соответствующие типичным форматам команд (абстрактные) и командам, имеющим уникальные форматы. Большинство команд представляются классами, наследующими классы типичных форматов. Имена классов команд имеют вид C_xxx, где xxx - мнемоническое имя команды. Пустой команде none соответствует класс NoCommand. Класс ConstantPool содержит как общий список для всех типов констант, хранящий объекты класса CpInfo (базовый тип для классов, представляющих различные виды констант), так и списки для констант отдельных типов, содержащие индексы элементов в первом списке. Эти списки описываются классами, вложенными в класс ConstantPool. Такая структура используется для того, чтобы при добавлении константы можно было быстро проверить, не присутствует ли уже идентичный элемент в ConstantPool (эта проверка производится не для всех типов констант). Для каждого типа констант в классе ConstantPool существует свой метод добавления, который возвращает индекс добавленного (или найденного существующего) элемента в общем списке. Среди наследников CpInfo имеется специальный класс CpNone, который соответствует пустой структуре, вставляемой после констант типа Long и Double т. к. следующий за ними индекс считается неиспользуемым. За процесс компиляции отвечает пакет compiler, который содержит следующие классы: Source - выполняет функцию выделения предложений в исходном тексте. Конструктор этого класса принимает в качестве параметра имя файла, содержимое которого разбивается на предложения и заносится в коллекцию типа ArrayList StringParser - выполняет функцию разделения строк на лексемы. Каждый объект этого класса соответствует одной обрабатываемой строке. TokenRecognizer - имеет статические методы, позволяющие определить, является ли некоторая строка ключевым словом или корректным идентификатором. Объекты этого класса никогда не создаются; DescriptorCreator - содержит статические методы для создания дескрипторов типов, полей и методов из строк, содержащих запись типов и сигнатур, используемую в языке. Экземпляры класса также не создаются; ClassHeaderParser, FieldDeclarationParser, MethodHeaderParser - используются при анализе заголовка класса, описаний полей и заголовков методов. Объекты этих классов сохраняют в себе информацию, извлеченную из анализируемого в конструкторе класса предложения; code_compiler.CodeCompiler - осуществляет анализ кода метода и генерацию байт-кода (включая третий и четвертый этапы компиляции). Данный процесс будет рассмотрен подробнее ниже; code_compiler.CommandCompiler - анализирует команды в исходном коде метода и создает объекты классов-потомков Command; code_compiler.Label - представляет метку в коде метода; code_compiler.LabelTable - таблица меток метода. Содержит имена меток, номера соответствующих им строк и смещения команд. SourceAnalyser - занимает центральное место в процессе анализа исходного текста. Конструктор данного класса принимает в качестве параметра объект класса Source. При вызове метода analyse() происходит анализ исходного кода и генерируется промежуточное представление программы в виде описанной выше структуры. В процессе анализа используются классы StringParser, ClassHeaderParser, FieldDeclarationParser, MethodHeaderParser, CodeCompiler и др. Данный метод возвращает объект класса ClassFile. Класс MainClass содержит единственный метод main, являющийся точкой входа в программу. Здесь вначале создается объект класса Source, который передается для обработки объекту класса SourceAnalyser, затем у возвращенного методом SourceAnalyser.analyse() объекта класса ClassFile вызывается метод writeToFile, который и генерирует файл класса, являющийся результатом работы компилятора. Все перечисленные операции заключены в блок try/catch, перехватывающий любые исключения, в случае возникновения которых на консоль выводится соответствующее сообщение и процесс компиляции завершается. Диаграмма, в упрощенном виде показывающая этот процесс, изображена на рис. 3. Рис. 3. Обработка исходного файла. Рассмотрим подробнее процесс компиляции кода метода. После обработки заголовка метода с помощью класса MethodHeaderParser, в случае, если метод не является абстрактным, в методе SourceAnalyser .analyse() считываются предложения maxstack и maxlocals. Затем считываются и заносятся в массивы предложения, содержащие команды и описания защищенных блоков. Эти массивы, а также ссылка на объект ConstantPool, представляющий область констант класса, передаются в качестве параметров конструктору класса CodeCompiler. У созданного объекта CodeCompiler вызывается метод compile(), возвращающий объект класса CodeAttribute, описывающий атрибут Code, содержащий байт-код метода. При этом происходят следующие процессы. В конструкторе класса CodeCompiler из строк, содержащих команды, выделяются имена меток, которые сохраняются в объекте класса LabelTable. Затем обрабатывается список строк, описывающих защищенные блоки. В методе CodeCompiler.compile() выполняются следующие операции. Сначала с помощью объекта класса CommandCompiler для каждой команды создается объект соответствующего класса. При этом одновременно для команд, при которых имеется метка, в объекте LabelTable сохраняется информация о смещении метки относительно начала метода. Как в описаниях защищенных блоков, так и в объектах, соответствующих командам перехода, на момент окончания этого шага вместо смещений перехода, содержатся порядковые номера команд, при которых расположены соответствующие метки. Замена их на действительные смещения производится на последнем шаге с помощью методов LabelTable.changePC() и Command.changeOffset(). Технология Java ориентирована на использование одного языка программирования. Система типов данных и другие особенности языка Java тесно связаны с функционированием JVM и форматом файла класса. Однако, существует открытая спецификация, позволяющие создавать как собственные реализации JVM, так и альтернативные средства разработки. С ее использованием мною разработан язык JASM, представляющий собой язык ассемблера для платформы Java, который позволяет создавать файлы классов, использующие значительную часть возможностей JVM, и реализован его компилятор. Грис, Д. Конструирование компиляторов для цифровых вычислительных машин. М., «Мир», 1975. Эккель, Б. Философия JAVA. СПб. 3-е изд.: Питер, 2003. Tim Lindholm, Frank Yellin. The Java Virtual Machine Specification Second Edition. Sun Microsystems Inc. 1999.
Проектирование и реализация компилятора.
Заключение.
Использованная литература.
















