19732 (602653), страница 3
Текст из файла (страница 3)
3.2 Учет расчетов платежными поручениями
Расчеты платежными поручениями – самая распространенная в настоящее время в России форма безналичных расчетов. Примерно 90-95 процентов платежей в России осуществляется с помощью платежных поручений. Они используются:
-
при перечислении за поставленные товарно – материальные ценности, выполненные работы и оказанные услуги;
-
для платежей в бюджет и внебюджетные фонды;
-
при возврате или размещении кредитов (займов), депозитов и процентов по ним;
-
для платежей в других целях.
Если на расчетном счете предприятия нет средств для осуществления платежей, то платежные поручения помещаются в картотеку до момента поступления денег.
Платежные поручения принимаются банком независимо от наличия денежных средств на счете плательщика.
Схема расчетов платежными поручениями
Рисунок 1 - Схема расчетов платежными поручениями
После получения продукции (1), покупатель выписывает платежное поручение (2) своему обслуживающему банку. Тот перечисляет деньги (3) с расчетного счета (Р/с) покупателя на расчетный счет поставщика. Банк поставщика, зачислив деньги на расчетный счет своего клиента, делает ему выписку (4). Затем он извещает банк покупателя (5), который делает соответствующую выписку своему клиенту (6).
В бухгалтерском учете покупателя делаются проводки.
| Содержание проводки | Дебет | Кредит |
| оприходованы материалы, поступившие от поставщика | 10 | 60 |
| отражена сумма налога на добавленную стоимость (НДС) по поступившим материалам | 19 | 60 |
| платежным поручением переведены деньги поставщику | 60 | 51 |
| предъявлена к вычету сумма НДС по оприходованным материалам. | 68 | 19 |
3.3 Учет расчетов платежными требованиями и инкассовыми поручениями
Расчеты платежными требованиями и инкассовыми поручениями объединены общим понятием "расчеты по инкассо", смысл которого заключается в получении (востребовании) платежей.
Отличие операций, осуществляемых согласно платежным требованиям и инкассовым поручениям, заключается в том, что первые могут проводиться плательщиком с акцептом (т.е. с учетом его согласия) или без него, а вторые – всегда в бесспорном порядке.
Платежные требования используются при расчетах за поставленные товарно – материальные ценности, выполненные работы и оказанные услуги, а также в некоторых других случаях. Списание денежных средств с расчетного счета плательщика без его согласия проводится в случаях, установленных законодательством, или если это определено условиями договора.
Платежное требование является расчетным документом, содержащим требование кредитора по основному договору к должнику об уплате определенной денежной суммы через банк. Платежные требования применяются при расчетах за поставленные товары, выполненные работы, оказанные услуги, а также в иных случаях, предусмотренных основным договором.
Срок для акцепта не может быть менее пяти рабочих дней. Если в платежном поручении нет записи "Без акцепта", то платежное требование считается акцептным со сроком пять дней. Покупатель имеет право частичного или полного отказа от акцепта. При отказе от акцепта продукция принимается на ответственное хранение (забалансовый счет 002 "Товарно-материальные ценности, принятые на ответственное хранение") и затем отгружается в адрес поставщика после его распоряжения.
Инкассовые поручения применяются при списании денежных средств с расчетного счета плательщика:
-
если такой порядок установлен законодательными (в том числе контрольными) органами;
-
при взысканиях по исполнительным документам;
-
в случаях, предусмотренных договором между сторонами, и при условии предоставления банку-эмитенту (банку покупателя) такого права.
Банки не принимают к исполнению инкассовые поручения, ели исполнительные документы предъявлены им по истечении срока, установленного законодательством.
Инкассовые поручения применяются не только в случаях взаимодействия покупателей и поставщиков. В общем случае расчеты проводятся между различными контрагентами, один из которых является плательщиком, а другой – получателем. При этом могут быть задействованы три типа банков: банк плательщика (банк-эмитент), исполняющий банк и банк получателя. В частном случае банк получателя может совмещать функции и исполнителя и получателя.
Инкассовые поручения применяются не только в случаях взаимодействия поставщиков и покупателей. В общем случае расчеты проводятся между различными контрагентами, один из которых является плательщиком, а другой – получателем.
В бухгалтерском учете поставщика делаются проводки.
| Содержание проводки | Дебет | Кредит |
| Списана на реализацию готовая продукция | 90 | 43 |
| Списаны на реализацию продукции коммерческие расходы | 90 | 44 |
| Выставлено платежное требование покупателю | 62 | 90 |
| Начислен НДС от реализации продукции | 90 | 68 |
| Определена прибыль от реализации продукции | 90 | 99 |
3.4 Учет расчетам по аккредитивам
Аккредитив – расчетный документ, поручение одного банка (эмитента) другому (исполняющему) банку произвести за счет специально забронированных средств оплату товарно-транспортных документов.Сфера применения аккредитивной формы расчетов недостаточно широка, ее удельный вес в структуре форм безналичных расчетов невелик, но относительно стабилен в условиях как планово-распределительной, так и рыночной экономики.
Аккредитив открывается покупателем только для расчета с одним поставщиком. Срок действия и порядок расчета по аккредитиву устанавливается в договоре между ними. Аккредитив может быть отзывным и безотзывным. Отзывной аккредитив может быть изменен или аннулирован без предварительного согласования с поставщиком. Безотзывной аккредитив не может быть изменен или аннулирован без предварительного согласования с поставщиком.
Аккредитив может быть покрытым и непокрытым. Покрытый (депонированный) аккредитив – это аккредитив, на основании которого банк-эмитент перечисляет средства плательщика (или предоставленного ему кредита) в распоряжение исполняющего банка на весь срок действия данного расчетного документа. Непокрытый (гарантированный) – это аккредитив, на основании которого банк-эмитент предоставляет исполняющему банку право списывать со своего корреспондентского счета в этом банке сумму, упомянутую в данном расчетном документе.
За нарушения, допущенные при исполнении аккредитивной формы расчетов, банки несут ответственность согласно законодательству.
Для простоты рассмотрим случай, когда взаимодействуют только два банка (покупателя – банк-эмитент и поставщика – исполняющий банк), а расчеты осуществляются с помощью покрытого аккредитива.
В соответствии с договором между поставщиком и покупателем последний (покупатель) подает в свой обслуживающий банк (банк-эмитент) заявление на открытие аккредитива (1).
На основании этого заявления банк открывает специальный счет и резервирует (депонирует) на нем сумму аккредитива, переводя ее с расчетного счета (Р/с) на специальный счет (С/с) (2).
Схема расчетов с помощью аккредитива
Рисунок 2 – Схема расчетов аккредитивами.
Одновременно банк покупателя дает извещение банку поставщика (банку исполняющему) об открытии аккредитива (3).
Открыв аккредитив, банк поставщика отправляет своему клиенту извещение об этом (4). На основании этого извещения поставщик отгружает продукцию в адрес покупателя (5), а расчетные документы предоставляет в свой банк (6). Проверив соответствие документов аккредитивному заявлению и определив их идентичность, банк поставщика зачисляет деньги с аккредитива на расчетный счет поставщика (7). Затем он перечисляет расчетные документы банку покупателя (8), и тот списывает сумму с депозитного счета, делая выписку своему клиенту (9) и передавая ему с нею товаросопроводительные документы. Банк поставщика тоже делает выписку своему клиенту.
Аккредитивная форма расчетов обеспечивает определенные гарантии поставщикам. Однако оформление сделок применительно к этому способу расчетов несколько увеличивает время оборота денежных средств. Сроки действия и порядок расчетов по аккредитиву устанавливаются в договоре между плательщиком и поставщиком.
В бухгалтерском учете покупателя записываются проводки.
| Содержание проводки | Дебет | Кредит |
| Отражено депонирование суммы для проведения сделки и открытие аккредитива | 55 | 51 |
| Учтен НДС по оприходованным товарам | 19 | 60 |
| Поступили товары по сделке, на которую открыт аккредитив | 60 | 55 |
| Предъявлен к вычету НДС по полученным товарам | 68 | 19 |
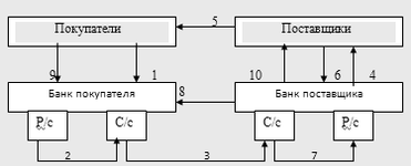
3.5 Учет расчетам по чекам
Чек – ценная бумага, содержащая ничем не обусловленное распоряжение банку чекодателя произвести платеж в пользу чекодержателя определенной денежной суммы.
Покупатель продает в свой обслуживающий банк платежное поручение о депонировании (резервировании) определенной суммы на депозитном счете (1) и одновременно предоставляет заявление о выдаче ему лимитированной чековой книжки (2). На основании этих документов банк покупателя открывает своему клиенту депозит (3). После открытия депозита банк выдает чековую книжку (4). После отгрузки продукции или оказания услуги поставщикам (5) покупатель оплачивает их чеком (6).
Схема расчетов чеками.
Рисунок 2 – Схема расчетов аккредитивами.
Поставщик в срок не позднее десять дней с момента получения чека предоставляет его вместе с реестром в свой обслуживающий банк (7). Эта операция считается предъявлением чека к оплате. Тот в свою очередь пересылает чек с реестром в банк покупателя (8). Банк покупателя перечисляет деньги (9). После этого делаются выписки банков своим клиентам (10) и (11).
В бухгалтерском учете покупателя выполняются проводки.
| Содержание проводки | Дебет | Кредит |
| Открыт депозит и получена чековая книжка | 55 | 51 |
| Включена в состав расходов стоимость услуги сторонней организации, оказанной основному производству (без НДС) | 20 | 76 |
| Учтен НДС по принятой услуге от сторонней организации | 19 | 76 |
| Отражен процесс оплаты услуги с помощью чека | 76 | 55 |
| Предъявлен к вычету НДС по оприходованной услуге | 68 | 19 |
Бланки чеков являются бланками строгой отчетности.
В соответствии с нормативными актами чекодатель не в праве отозвать выданный чек до истечения срока для его предъявления к оплате.
Чековая форма расчетов, как и аккредитивная, обеспечивает определенные гарантии поставщикам. Однако оформление сделок несколько увеличивает время оборота денежных средств.















