5049 (600227), страница 4
Текст из файла (страница 4)
Рис. 2. Бортовые отсосы: а — простой; б — опрокинутый.
Когда щели расположены горизонтально в плоскости, параллельной зеркалу ванны. Чем токсичнее выделения с зеркала ванны, тем ближе их нужно прижать к зеркалу, чтобы не допустить попадания вредных веществ в зону дыхания работающих у ванн.
Простые отсосы следует применять при высоком стоянии уровня растврра в ванне, когда расстояние до щели отсоса Н составляет менее 80—150 мм; при более низком стоянии уровня раствора (//=150... 300 мм и более) значительно меньшего расхода воздуха требуют опрокинутые бортовые отсосы.
Расход воздуха на все виды бортовых отсосов тем больше, чем больше ширина ванны В, выше температура раствора и чем ближе к поверхности раствора необходимо прижать поток с учетом токсичности выделений.
Определение расхода воздуха, отсасываемого от горячих ванн. Расход воздуха, отсасываемого от промышленных ванн, впервые теоретически определил инж. И. Л. Виварели.
При работе бортового отсоса на частицу воздуха, находящуюся у поверхности раствора в ванне, действуют подъемная сила и сила всасывания. Под влиянием их частица движется по криволинейной траектории.
Исходя из условия постоянства подъемной силы Р в потоке (при постоянных температуре и плотности среды) по всему его пути, можно записать
где
— плотность воздуха в потоке;
— плотность окружающего воздуха;
— масса потока в том же сечении.
Пренебрегая увеличением массы на небольшом расстоянии от ванны, можно принять ускорение постоянным, и тогда сила Р может быть определена как
где u — скорость восходящего потока; t—время с момента отрыва потока от зеркала ванны; отсюда
Заменяя отношение плотностей отношением абсолютных температур, получим:
После интегрирования при uнач=0 определим
На небольшом расстоянии от ванны отношение избыточных температур может быть принято равным
где Тв — абсолютная температура нагретой жидкости в ванне.
Подставляя вместо
получим:
Скорость, создаваемая однобортовым отсосом, рассматриваемым как линейный сток, может быть определена по формуле
где L—объемный расход воздуха для всей щели отсоса. м3/с;
— угол, образованный границами всасывающего факела; г — расстояние от щели до рассматриваемой точки.
На основании приведенных рассуждений И. Л. Виварели были получены расчетные формулы.
Ванна считается холодной, если температура жидкости в ней примерно равна температуре воздуха в помещении
и горячей, если
Объемный расход воздуха L, м3/ч, отсасываемого от горячих ванн, может быть определен по формуле
где Кз— коэффициент запаса, равный 1,5—1,75; для ванн с особо вредными растворами Кз=1,75...2; КТ— коэффициент для учета подсоса воздуха с торцов ванны, зависящий от отношения ширины ванны В к ее длине l для однобортового простого
для двухбортового
при наличии сдува КТ=1;
Б — безразмерная характеристика, равная для однобортового отсоса 0.35, а для двухбортового 0,5; р — угол между границами всасывающего факела, рад; ТВ и ТПОМ — абсолютные температуры соответственно жидкости в ванне и воздуха в помещении К.
Пример 1. Определить расход воздуха, удаляемого двухбортовым отсосом ванны травления серной кислотой, установленной у стены, при следующих данных tn=60° С; tПОМ= 16° С; B=0,9 м; l= 1 м; φ = π/2.
Решение. Принимаем коэффициент запаса K3=1,5, коэффициент для учета подсоса воздуха с торцов ванны
безразмерную характеристику Б=0,5.
В этом случае объемный расход отсасываемого воздуха будет равен:
3.3 ОЧИСТКА СТОЧНЫХ ВОД ГАЛЬВАНИЧЕСКОГО ЦЕХА
Предназначение очистных сооружений заключается в том, чтобы очистить сточные воды (кислотно-щелочных, хромсодержащих, цианистых, фторсодержащих) после операций промывки в гальваническом производстве до норм предельно допустимых концентраций ПДК вредных веществ по тяжелым металлам с последующим сбросом очищенной воды в систему канализации или возвратом на повторное использование в цикле оборотного водоснабжения предприятия.
Сточные воды из гальванического цеха поступают самотеком на очистные сооружения по раздельным трубопроводам для каждого вида загрязнений. Смешение стоков разных видов не допускается. Стоки содержат циан, 6-ти валентный хром, кислоты, щелочи и соли тяжелых металлов (никеля, цинка, железа), содержание которых при сбросе в городскую канализацию лимитируется санитарными нормами.
Сточные воды после ванн электрохимического обезжиривания и после ванн травления гальванического цеха, загрязненные кислотами, щелочами и солями тяжелых металлов очищаются химическим способом на заводских очистных сооружениях.
Этот метод обработки кислотно - щелочных стоков учитывает возможность наличия в кислотно – щелочных стоках примесей тяжелых металлов. Сущность процесса обезвреживания кислотно-щелочных стоков заключается во взаимной нейтрализации этих стоков с последующей донейтрализацией их раствором щелочи и высаждении растворенных металлов в виде гидроокисей раствором гашеной извести.
Установка предназначена для очистки промывных вод и регенерации отработанных травильных растворов и рабочих электролитов: хромирования, меднения, электрополирования.
Установка комплексной очистки сточных вод гальванического производства включает четыре основных узла:
I – узел очистки промывных вод;
II – узел регенерации отработанных растворов электролитов;
III – узел регенерации отработанных травильных растворов;
IV – узел регенерации моющих и обезжиривающих растворов.
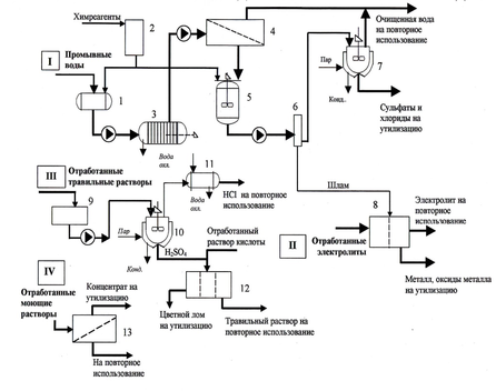
Комплексная установка работает по следующей технологической схеме (рис. 3). Промывные воды собираются в усреднитель 1, где производится при необходимости корректировка рН путем добавления реагентов с узла реагентной обработки 2. После предварительной очистки от механических примесей на фильтре 3 воды подаются на обратноосмотическое обессоливание в мембранный модуль 4, где под действием давления до 5 МПа происходит концентрирование солей тяжелых металлов на полупроницаемой мембране. Очищенная до требуемых показателей вода (пермеат) возвращается для повторного использования в ванны промывки. Концентрат поступает в реактор-нейтрализатор 5, где с помощью химических реагентов оставшиеся тяжелые металлы переводятся в нерастворимые соединения в виде гидроокисей. Полученная тонкодисперсная суспензия разделяется на микрофильтре 6, осветленный раствор подается на выпарную установку 7 с конденсатором, конденсат возвращается на повторное использование. Сухой остаток, в основном, сульфаты и хлориды, утилизируется.
Обезвоженный шлам после фильтра 6 направляется в электролизер 8, где растворяется в отработанных электролитах, которые подаются в электролизер для регенерации. В электролизере происходит выделение в виде цветного лома металла и восстановление до первоначальной формы основных компонентов электролита. Регенерированные рабочие электролиты подвергаются корректировке по составу и используются повторно.
Отработанные травильные растворы соляной и других минеральных кислот из емкости 9 подаются на узел регенерации, где в испарителе 10 выделяется и конденсируется в холодильнике 11 фракция соляной кислоты, направляемая на повторное использование. Сконцентрированный раствор (кубовый остаток минеральной кислоты) далее подвергается электрохимическому воздействию в электролизере (или электродиализаторе) 12 с целью извлечения примесей тяжелых загрязняющих металлов и возврата регенерированного травильного раствора кислот в основное производство. Примеси металлов утилизируются, как цветной лом.
Отработанные моющие и обезжиривающие растворы, содержащие как основную примесь эмульгированные нефтепродукты, подвергаются очистке на ультрафильтрационной установке 13 на базе трубчатых ультрафильтров типа БТУ 05/2 и возвращаются на повторное использование.
Рис. 3. Технологическая схема комплексной установки очистки сточных вод гальванических производств:
1 – усреднитель; 2 – узел реагентной обработки; 3 – фильтр;
4 – обратноосмотический мембранный модуль; 5 – реактор-
нейтрализатор; 6 – микрофильтр; 7 – выпарная установка;
8 – электролизер; 9 – емкость; 10 – испаритель; 11 – холодильник;
12 – электродиализатор; 13 – ультрафильтрационная установка
Установка может работать в едином комплексе или как отдельные локальные очистные сооружения.
3.4 УТИЛИЗАЦИЯ ГАЛЬВАНИЧЕСКИХ ОТХОДОВ
Гальванический шлам является побочным продуктом гальваностегии и гальванопластики.
Гальванопластика является частью методики электролитического осаждения металлов, итогом которого становится точное копирование формы предмета.
Гальваностегия — способ нанесения защитного или декоративного покрытия на какое-либо изделие путём электрохимической реакции.
Чаще всего в качестве защитного металла используется медь, реже - железо, хром, серебро и никель.
Получаемые в результате вышеуказанных методик гальваношламы внешне представляют собой пастообразную массу сложного и нестабильного состава. Её цвет колеблется от тёмно-серого до тёмно-коричневого. В состав гальваношламов кроме железа и кальция входят представляющие опасность для природной среды и здоровья человека соединения тяжёлых металлов. Это марганец, свинец, медь, никель и т.д.
Наиболее перспективным является способ утилизации гальванических отходов, который заключается в их применении в строительной сфере. Сейчас четвёртая часть отходов химических производств применяется повторно. Во многих европейских странах широко используется восстановление металлов из отходов. К примеру, в Германии 38 процентов железа используется повторно, а в Великобритании - 60 процентов свинца. Однако добыча металла из гальваношлама приносит экономическую выгоду только при его высокой концентрации. А гальваношламы, как правило, включают в себя довольно невысокие концентрации ценных металлов. Кроме того, для их добычи требуется применение специальных химических технологий. Поэтому добыча цветных металлов из отходов гальванопластики и гальваностегии не приносит экономическую выгоду.















