2975 (599911), страница 4
Текст из файла (страница 4)
Эмпирический коэффициент детерминации:
Эмпирическое корреляционное отношение:
Вывод: Вариация прибыли коммерческих банков на 95,2% обусловлена вариацией объема депозитов юридических и физических лиц.
Между этими признаками существует весьма тесная связь или весьма тесная зависимость (по шкале Чеддока).
Задание 3.
Применение выборочного метода в финансово-экономических задачах.
По результатам выполнения задания 1 с вероятностью 0,954 определите:
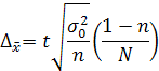
1. Ошибку выборки среднего объема депозитов юридических и физических лиц и границы, в которых он будет находиться в генеральной совокупности;
Решение:
Средний объем депозитов юридических и физических лиц на 1 банк в выборочной совокупности составит:
Оценим величину ошибки выборки для среднего значения признака.
Предельная ошибка выборки для среднего значения:
Границы определим по формуле:
Вывод: С вероятностью 0,954 можно утверждать, что средний объем депозитов юридических и физических лиц на 1 банк в генеральной совокупности можно ожидать в пределах от 56962 млн. руб. до 75158 млн. руб. Эти пределы распространяются на 954 единицы из 1000.
2. Ошибку выборки доли коммерческих банков с объемом депозитов от 66060 млн. руб. и более и границы, в которых будет находиться генеральная доля.
Решение:
Доля коммерческих банков с объемом депозитов юридических и физических лиц свыше 66060 млн. руб. в выборочной совокупности составляет:
Предельная ошибка выборки доли признака:
Вывод: С вероятностью 0,954 можно утверждать, что доля коммерческих банков с объемом депозитов юридических и физических лиц 66060 млн. руб. и выше ожидается в пределах от 17,4% до 42,6%. Это утверждение распространяется на 954 единицы из 1000.
Задание 4.
Использование одного из статистических методов в финансово-экономических задачах.
Имеются следующие данные по коммерческому банку о просроченной задолженности по кредитным ссудам:
Таблица 8
| Годы | Задолженность по кредиту, млн. руб. | По сравнению с предыдущим годом | Абсолютное значение 1% прироста, млн. руб. | ||
| Абсолютный прирост, млн. руб. | Темп роста,% | Темп | |||
| 1 | - | - | - | - | |
| 2 | 106,25 | 16 | |||
| 3 | +100 | ||||
| 4 | 30,0 | ||||
| 5 | 108,5 | ||||
Определите:
1. Задолженность по кредиту за каждый год.
2. Недостающие показатели анализа ряда динамики, внесите их в таблицу.
3. Основную тенденцию развития методом аналитического выравнивания.
Осуществите прогноз задолженности на следующие два года на основе найденного тренда. Постройте графики. Сделайте выводы.
Решение:
Таблица 9. Расчетная таблица для нахождения недостающих показателей
| Годы | Задолженность по кредиту, млн. руб. | По сравнению с предыдущим годом | Абсолютное значение 1% прироста, млн. руб. | |||
| Абсолютный прирост, млн. руб. | Темп роста,% | Темп прироста,% | ||||
| 1 |
|
|
|
|
| |
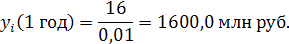
| 1 | 1600,0 | - | - | - | - | |
| 2 | 1700,0 | +100,0 | 106,3 | 6,3 | 16,0 | |
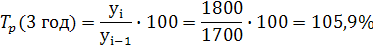
| 3 | 1800,0 | +100,0 | 105,9 | 5,9 | 17,0 | |
| 4 | 2340,0 | +540,0 | 130,0 | 30,0 | 18,0 | |
| 5 | 2538,9 | +198,9 | 108,5 | 8,5 | 23,4 | |
Расчеты для 1 года:
Расчеты для 2 года:
Расчеты для 3 года:
Расчеты для 4 года:
Расчеты для 5 года:
Вывод: На основании полученных данных таблицы можно сделать вывод о том, что задолженность по кредиту нарастает с каждым годом. Наибольший абсолютный прирост, темп роста и темп прироста приходится на 4 год и составляет соответственно 540 млн. руб., 130% и 30%.
3. Выявим тенденцию ряда динамики, используя уравнение линейного тренда:
где
и
найдены из системы нормальных уравнений:
Таблица 10. Расчетная таблица для нахождения тенденции развития
| Годы | Задолженность по кредиту, млн. руб. |
|
|
|
|
|
|
| 1 | 1600,0 | 1 | 1 | 1600,0 | 1492,2 | 107,8 | 11620,8 |
| 2 | 1700,0 | 2 | 4 | 3400,0 | 1744,0 | -44,0 | 1936,0 |
| 3 | 1800,0 | 3 | 9 | 5400,0 | 1995,8 | -195,8 | 38337,6 |
| 4 | 2340,0 | 4 | 16 | 9360,0 | 2247,6 | 92,4 | 8537,8 |
| 5 | 2538,9 | 5 | 25 | 12694.5 | 2499,3 | 39,6 | 1568,2 |
| Итого | 9978,9 | 15 | 55 | 32454.5 | 9978,9 | 0 | 62000,4 |
Отсюда уравнение имеет вид:
Построим прогноз на 2 года вперед:
а) точечный прогноз
млн. руб.
млн. руб.
б) интервальный прогноз
млн. руб.
млн. руб.
Вывод: При сохранении существующей закономерности прогнозные значения задолженности по кредиту на 6 и 7 годы составят 2751,2 и 3003,0 млн. руб. соответственно и с вероятностью 0,7 будут находиться в интервалах:
6 год: 2751,2
261,7 (млн. руб)
7 год: 3003,0
317,8 (млн. руб)
Отобразим на графике динамику изменения задолженностей.
Рис.1. Динамика просроченной задолженности по кредитам за 5 лет.
3. Аналитическая часть
3.1 Постановка задачи
Обобщенную оценку эффективности деятельности хозяйствующих субъектов дают достигнутые ими финансовые результаты. Одним из направлений изучения финансовых результатов деятельности предприятия является анализ кредиторской задолженности, полученной за несколько отчетных периодов, т.е. ее динамика.
По данным за несколько периодов, представленных в табл.1, проведем анализ динамики кредиторской задолженности, для чего рассчитаем следующие показатели:
абсолютный прирост;
темп роста;
темп прироста;
абсолютное значение 1% прироста;
средние за период уровень ряда, абсолютный прирост, темпы роста и прироста.
Таблица 1. Задолженность по кредитам, предоставленным кредитными организациями юридическим лицам, по Липецкой области (на начало года; млн. руб.)
| Год | Задолженность по кредитам |
| 2001 | 4466,6 |
| 2002 | 7644,8 |
| 2003 | 12763,6 |
| 2004 | 13742,3 |
| 2005 | 25103,1 |
3.2 Методика решения задачи
Расчет показателей анализа ряда динамики осуществим по формулам, представленным в табл. 2.
Таблица 2. Формулы расчета показателей
| Показатель | Базисный | Цепной | Средний |
| Абсолютный прирост |
|
|
|
| Темп роста |
|
|
|
| Темп прироста |
|
|
|
Средний уровень в интервальном ряду динамики вычисляется по формуле:















