2474 (599695), страница 5
Текст из файла (страница 5)
система пограничных значений (лимитов);
система полномочий и принятия решений;
информационная система;
система мониторинга;
система контроля.
5. Оценка кредитного риска.
5.1. Важнейшим вопросом для Банка является оценка и регулирование рискованности кредитного портфеля, как одного из основных направлений эффективного управления кредитной деятельностью Банка, а главная цель процесса управления кредитным портфелем - обеспечение максимальной доходности при определенном уровне риска.
5.2. Методология оценки риска кредитного портфеля банка предусматривает:
качественный анализ совокупного кредитного риска Банка. Заключается в идентификации факторов риска (выявлении его источников) и требует глубоких знаний, опыта и интуиции в этой сфере деятельности. Говоря о качественной оценке кредитного портфеля Банка, следует также учитывать наличие связанного кредитования и концентрацию кредитного риска;
количественную оценку риска кредитного портфеля Банка. Предполагает определение уровня (степени) риска. Степень кредитного риска является количественным выражением оценки Банком кредитоспособности заемщиков и кредитных операций.
5.3. Качественная и количественная оценка кредитного портфельного риска проводится одновременно, с использованием таких методов оценки риска кредитного портфеля Банка как: аналитический, статистический и коэффициентный.
5.4. Аналитический метод представляет собой оценку возможных потерь (уровня риска) Банка и осуществляется в соответствии с Положением Банка России от 26.03.2004 г. № 254-П “О порядке формирования кредитными организациями резервов на возможные потери по ссудам, по ссудной и приравненной к ней задолженности" (далее - Положение ЦБ РФ).
Методика оценки риска кредитного портфеля банка в соответствии с Положением ЦБ РФ предусматривает оценку уровня риска по каждой кредитной операции с учетом финансового состояния заемщика, обслуживания им кредитной задолженности и уровня ее обеспечения, после чего, производится классификация ссуды в одну из пяти категорий качества:
I (высшая) категория качества (стандартные ссуды);
II категория качества (нестандартные ссуды);
III категория качества (сомнительные ссуды);
IV категория качества (проблемные ссуды);
V (низшая) категория качества (безнадежные ссуды).
Классификация Банком ссуд производится согласно “Положению о порядке формирования Банком резервов на возможные потери по ссудам, по ссудной и приравненной к ней задолженности", а оценка финансового состояния заемщиков производится согласно “Правилам оценки финансового положения заемщиков".
5.5. Статистический метод оценки величины риска кредитного портфеля банка. Статистические величины показывают значимость каждой характеристики для определения уровня риска.
Оценка кредитного риска при помощи методов статистического анализа предполагает, что совокупные воздействия рисков на кредитный портфель отражаются на его качестве. Такое утверждение дает основание трактовать вариацию кредитных рисков относительно соглашений, составляющих кредитный портфель Банка, как обобщающий показатель рискованности кредитной деятельности.
Сущность статистического метода заключается в следующем:
анализ статистики кредитных рисков относительно соглашений, составляющих кредитный портфель Банка;
характеристика меры распыленности кредитных рисков по ссудному портфелю;
установление величины и частоты возникновения кредитного риска.
Основными инструментами статистического метода расчета и оценки риска кредитного портфеля Банка являются известные из общей теории: дисперсия, вариация, стандартное отклонение, коэффициент вариации и асимметрии.
Вероятность реализации кредитного риска Банка характеризуется распределением вероятностей. Основным статистическим показателем определения такой вероятности (уровня риска) выступает стандартное отклонение или коэффициент вариации. Расчет средневзвешенного кредитного портфельного риска, его дисперсии и среднеквадратического отклонения позволяет отследить уровень диверсификации кредитного портфеля Банка. Использование таких статистических величин, как положительная и отрицательная семивариация, положительное и отрицательное среднее семиквадратическое отклонение, а также расчет коэффициента асимметрии по кредитным рискам относительно соглашений, составляющих кредитный портфель, дает возможность определить для Банка частоту возникновения убытков в зависимости от количества случаев наступления соответствующих потерь и общего числа рисковых случаев в статистических данных.
Общий объем потерь от кредитных операций можно оценить как совокупную сумму обязательств заемщика (или группы) перед Банком, умноженную на вероятность потерь при проведении кредитных операций. Под вероятностью потерь от проведения кредитных операций понимается средняя за предшествующий трехлетний период деятельности Банка доля невозврата кредитов и невыполнения прочих обязательств клиентами (или их группами), имеющими похожие характеристики и показатели кредитоспособности.
Статистический метод оценки кредитного портфельного риска Банка строится на анализе статистических данных, связанных с финансовым состоянием заемщиков за определенный период времени. Такое исследование является основой для сравнения фактической частоты возникновения банковских потерь с прогнозными оценками.
5.6. Третий метод оценки кредитного портфельного риска - коэффициентный. Сущность метода заключается в расчете относительных показателей, позволяющих оценить кредитные риски, входящие в состав кредитного портфеля Банка, расчетные значения которых сравниваются с нормативными критериями оценки, и на этой основе качественно и количественно определяется уровень совокупного кредитного риска Банка.
Сложность применения метода коэффициентов при оценке совокупного риска кредитного портфеля Банка возникает в момент сравнения расчетных показателей с нормативными значениями. Поскольку значение одних рассчитанных показателей может соответствовать нормативным критериям, а другие - нет, в данном случае, необходимо выделить обобщающий показатель определения уровня риска.
5.7. Комплексная оценка риска кредитного портфеля банка предусматривает одновременное проведение количественной и качественной оценки кредитного риска.
Методология оценки степени риска кредитного портфеля Банка. Это математическая процедура для структуризации и иерархического предоставления множества показателей, которые определяют фактический уровень риска и предоставляют возможность выбрать эффективные методы его регулирования. Процесс построения комплексной системы оценки риска кредитного портфеля Банка начинается с формирования иерархической структуры этих интегральных показателей, которая представлена в Приложении 1.
Возможная (ожидаемая) величина убытков по кредитному портфелю - это важнейшая характеристика кредитного риска, так как служит центром распределения его вероятностей. Смысл данного показателя заключается в том, что он показывает наиболее правдоподобное значение уровня риска и определяется следующим образом:
где Si - сумма предоставленных кредитов і-ой группе контрагентов, і = 1, n;
pi (c) - кредитный риск относительно і-ой группы контрагентов.
Данный показатель является обобщенной количественной характеристикой, которая не позволяет принимать решение по поводу применения основных методов регулирования риска кредитного портфеля (диверсификации или концентрации). Однако для принятия решения необходимо определить меру изменчивости риска кредитного портфеля. Для этого применяют две близко связанные категории: дисперсию и среднеквадратическое отклонение. Для их расчета необходимо определить средневзвешенный риск кредитного портфеля Банка по следующей формуле:
Приведенный показатель является базисной величиной для расчета вариации кредитного риска относительно соглашений по і-ой группе контрагентов, которые составляют кредитный портфель Банка.
Дисперсию кредитного риска относительно соглашений по і-ой группе контрагентов, которые составляют кредитный портфель Банка, можно определить следующим образом:
,где
Приведенный показатель отражает вариацию признака по всей исследуемой совокупности под влиянием всех факторов, обусловивших эту вариацию.
Результаты анализа более наглядны, если показатель разброса случайной величины выражен в тех же единицах измерения, что и сама случайная величина. Для этих целей используют среднеквадратичное отклонение кредитного риска относительно соглашений по і-ой группе контрагентов, которые составляют кредитный портфель Банка:
Расчет этого показателя позволяет определить тесноту связи результативного и группировочного факторного признака. Оно имеет следующие пределы: 0<
<1. Если
= 0, то группировочный признак не влияет на результативный, а если
= 1 - результативный признак изменяется только в зависимости от группировочного.
Дисперсия и среднеквадратичное отклонение характеризуют меру распыленности кредитного риска относительно соглашений кредитного портфеля и средневзвешенного кредитного портфельного риска. Эти показатели отображают диверсификацию кредитного портфеля относительно риска. Чем больше значения дисперсии и среднеквадратичного отклонения, тем более диверсифицированным с точки зрения риска является кредитный портфель Банка. Дисперсия и среднеквадратичное отклонение показывают меру рассредоточения кредитного риска относительно соглашений кредитного портфеля как в лучшую сторону (их значения меньше средневзвешенного кредитного портфельного риска), так и в худшую сторону (их значения больше, чем средневзвешенный кредитный портфельный риск). Поэтому указанные показатели не дают возможности однозначно оценить степень рискованности кредитного портфеля. Для этого целесообразнее применить такой показатель риска как семивариация.
В зависимости от результата отклонения кредитного риска относительно соглашений кредитного портфеля от средневзвешенного кредитного риска семивариация риска по кредитным соглашениям может быть положительной или отрицательной.
Положительную семивариацию кредитного риска относительно соглашений по і-ой группе контрагентов, которые составляют кредитный портфель Банка, можно определить так:
где n - объем кредитного портфеля (количество соглашений);
ti - положительное отклонение кредитного риска относительно соглашений по і-ой группе контрагентов, составляющих кредитный портфель Банка, от средневзвешенного кредитного риска, то есть:
Отрицательная семивариация кредитного риска относительно соглашений по і-ой группе контрагентов, которые составляют кредитный портфель Банка определяется следующим образом:
где n - объем кредитного портфеля (количество соглашений по всем группам клиентов Банка);
li - отрицательное отклонение кредитного риска относительно соглашений по і-ой группе контрагентов, составляющих кредитный портфель Банка, от средневзвешенного кредитного риска, следовательно:
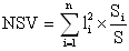
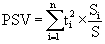
Также следует определить положительное и отрицательное среднее семиквадратическое отклонение кредитного риска относительно соглашений по і-ой группе контрагентов, составляющих кредитный портфель Банка. Для этого воспользуемся формулами:
где psv - положительное среднее семиквадратическое отклонение кредитного риска относительно соглашений по і-ой группе контрагентов, составляющих кредитный портфель Банка;
nsv - отрицательное среднее семиквадратическое отклонение кредитного риска относительно соглашений по і-ой группе контрагентов, составляющих кредитный портфель Банка.
Чем больше положительная семивариация (положительное среднее семиквадратическое отклонение) кредитного риска относительно соглашений кредитного портфеля и чем меньше их отрицательная семивариация (отрицательное среднее семиквадратическое отклонение), тем ниже степень риска кредитного портфеля Банка.
Использование в процессе анализа только двух параметров (средней и стандартного отклонения) может приводить к неверным выводам. Стандартное отклонение неадекватно характеризует риск при смещенных распределениях, т.к игнорируется, что большая часть изменчивости приходится на “хорошую” (правую) или “плохую" (левую) сторону ожидаемой доходности. Поэтому при анализе асимметричных распределений используют дополнительный параметр - коэффициент асимметрии кредитного риска относительно соглашений по і-ой группе контрагентов, составляющих кредитный портфель Банка. Он представляет собой нормированную величину третьего центрального момента и определяется по формуле:
1>














