2300 (599636), страница 2
Текст из файла (страница 2)
- облікова ставка центрального банку;
- рівень інфляції;
- строк позички;
- ціна сформованих ресурсів;
- ризик;
- розмір позички;
- попит на банківські позички;
- якість застави;
- зміст заходів, що кредитуються;
- витрати на оформлення позички і контроль;
- .ставка банку-конкурента;
- характер відносин між банком і клієнтом;
- норма прибутку від інших активних операцій, та інші.
Вплив цих факторів на рівень процентної плати за користування банківськими позичками є взаємозв'язаним, тому важко визначити кількісне значення кожного з них, але враховувати їх у сукупності доцільно.
Визначення розмірів процентних ставок досить складний процес для банків, тому що потрібно враховувати всі зазначені вище фактори та, щоб за даними ставками діяльність банків була максимально ефективною та приносила йому прибуток.
Отже, існує необхідність дослідження питань, пов'язаних зі спрощенням розрахунків розмірів процентних ставок та оптимізацією розмірів» банківських відсотків, за якими б діяльність банку була найбільш ефективною та прибутковою.
Для визначення фінансового стану банків НБУ використовує систему рейтингу банків, що має назву CAMEL. Для визначення рейтингу банку за цією системою, розраховується дужо багато різних показників, що робить її досить громіздкою й складною. Тому є доцільним подальше удосконалення відомих методів та розробка нових методик рейтингової оцінки, які були б простіші у використанні.
Відомо, що найбільшу питому вагу в доходах банку займають його процентні доходи, а основу прибутку банку складає його чистий процентний дохід, що визначається як різниця між процентними доходами і процентними витратами, тобто, величина чистого процентного доходу визначається в такий спосіб:
ЧПрД = А * %а - II * %п, (1)
• де ЧПрД - чистий процентний дохід; А - загальна величина активних операцій, що приносять банку процентний дохід; П - загальна величина пасивних операцій банку, що складають його процентні витрати; %а - прибутковість банку за всіма активними операціями, що приносять йому процентний дохід, або середньозважена відсоткова ставка за сукупним кредитним портфелем; %п - прибутковість клієнтів банку за всіма його пасивними операціями, що складає процентні витрати банку, або середньозважена відсоткова ставка за сукупним депозитним портфелем. Отже, можна зробити висновок, що основними факторами, що впливають на розмір чистого процентного доходу, є %а і %п.
Отже, для оптимізації необхідно визначити взаємозв'язок між цими двома факторами, тобто треба визначити таку величину %а (при заданій %п),при якій, на величину %а впливає %п, тому що величина %п визначає розміри процентних витрат, які необхідно покрити процентними доходами. Для того, щоб залучити кошти, банк здійснює певні витрати, а також передбачає деяку норму прибутку. Отже можна припустити, що залежність між %а і %п може мати вид:
%а = Ь0 + Ь * %п, (2)
де b0 і b1 - коефіцієнти, які враховують фактори, що впливають на %а.
За станом на 01.01.2004 НБУ, у відповідності з системою рейтингової оцінки банків CAMEL, виділив 4 групи банків. Кожна група буде мати свою структуру доходів і витрат, показники рентабельності і ліквідності, тому можна припустити, що для кожної групи банків запропонована вище модель (1) буде мати свій вигляд.
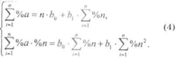
Для того, щоб максимізувати прибуток банку, розрахуємо оптимальну %п для даної %п, використовуючи запропоновану модель, а також статистичні дані, представлені в таблицях 1 та 2. Номера банків з 1 до 5 - належать до 1-ї групи, з 6 до 10 - до 2-ї, з 11 до 15 - до 3-ї, з 16 до 20 - до 4-ї групи. Відповідно до методу найменших квадратів, для кожної групи банків розрахуємо коефіцієнти Ь0 і Ь1 за допомогою системи рівнянь:
Таблиця 1.
Статистичні дані по банкам за станом на 01.01.2004
| № | № рейт. | Банк | Чист.проц.дохід дохід | П | А | % | % а |
| 1 | 3 | Промінвестбанк | 141757 | 6469554 | 5770245 | 7,3 | 15,8 |
| 2 | 5 | Укрсоцбанк | 236795 | 4528238 | 3690948 | 8,2 | 16,5 |
| 3 | 7 | Укрсиббанк | 174909 | 3294859 | 3284732 | 10,7 | 16,1 |
| 4 | 6 | Укрексім | 258490 | 3384766 | 2962242 | 6,3 | 15,9 |
| 5 | 1 | "Аваль" | 461749 | 8918609 | 8163885 | 9,1 | 15,6 |
| 6 | 24 | "Хрещатик" | 29541 | 830295 | 803889 | 12,6 | 16,7 |
| 7 | 12 | Правекс - банк | 44527 | 1460079 | 1287471 | 11,4 | 16,4 |
| 8 | 17 | "Форум" | 50634 | 1011864 | 1006510 | 11,1 | 16,2 |
| 9 | 22 | "Укрпромбанк" | 34049 | 868449 | 912510 | 13,3 | 16,4 |
| 10 | 23 | Вабанк | 33512 | 832414 | 798371 | 12,1 | 16,8 |
| 11 | 47 | "Ажіо" | 22049 | 295356 | 352733 | 12,0 | 16,3 |
| 12 | 28 | "Біг Енергія" | 27796 | 598474 | 633265 | 12,8 | 16,5 |
| 18 | 44 | "Таврика" | 20597 | 347211 | 358989 | 11,0 | 16,4 |
| 14 | 37 | Альфа-банк | 11975 | 365235 | 446267 | 16,6 | 16,3 |
| 15 | 36 | "Київ" | 23832 | 396515 | 469664 | 13,9 | 16,8 |
| 16 | 73 | Промекономбанк | 7490 | 177504 | 195197 | 14,0 | 16,6 |
| 17 | 87 | "Золоті ворота" | 4697 | 133270 | 144144 | 14,2 | 16,4 |
| 18 | 90 | Реал банк | 6923 | 129364 | 155163 | 14,6 | 16,6 |
| 19 | 88 | Ікар - банк | 7478 | 129281 | 153592 | 14,2 | 16,8 |
| 20 | 100 | Агробанк | 6700 | 109545 | 122986 | 12,4 | 16,5 |
Таблиця 2.
Статистичні дані по банкам за станом на 01.04.2004
| № | № рейт. | Банк | Чист.проц. дохід | П | А | %п | %а |
| 1 | 3 | Промінвестбанк | 113256 | 6952543 | 6391888 | 12,7 | 15,6 |
| 2 | 5 | Укрсоцбанк | 53945 | 4576909 | 4045131 | 12,8 | 15,8 |
| 3 | 7 | Укрсиббанк | 56665 | 3584688 | 3412708 | 13,3 | 15,6 |
| 4 | 6 | Укрексім | 56038 | 3761051 | 3297397 | 12,0 | 15,4 |
| 5 | 1 | "Аваль" | 107388 | 9524413 | 8758279 | 12,8 | 15,2 |
| б | 24 | "Хрещатик" | 8699 | 763427 | 742786 | 13,9 | 15,5 |
| 7 | 12 | Правекс-банк | 13503 | 1239816 | 1109064 | 12,7 | 15,4 |
| 8 | 17 | "Форум" | 18610 | 1153040 | 1185442 | 14,4 | 15,6 |
| 9 | 22 | "Укрпромбанк" | 21561 | 1080080 | 1159978 | 15,0 | 15,8 |
| 10 | 23 | Вабанк | 10237 | 819883 | 747048 | 13,1 | 15,7 |
| 11 | 47 | "Ажіо" | 6087 | 232444 | 254483 | 14,5 | 15,6 |
| 12 | 28 | "Біг Енергія" | 5956 | 629448 | 691154 | 16,4 | 15,8 |
| 13 | 44 | "Таврика" | 7703 | 345689 | 392322 | 15,8 | 15,9 |
| 14 | 37 | Альфа-банк | 5449 | 462913 | 464276 | 14,8 | 15,9 |
| 15 | 36 | "Київ" | 6188 | 534766 | 519785 | 14,5 | 16,1 |
| 16 | 73 | Промекономбанк | 2176 | 163099 | 159753 | 14,3 | 16,0 |
| 17 | 87 | "Золоті ворота" | 1570 | 242482 | 240619 | 14,9 | 15,7 |
| 18 | 90 | Реал банк | 1963 | 128288 | 152808 | 17,3 | 15,8 |
| 19 | 88 | Ікар-банк | 2091 | 116203 | 132954 | 16,5 | 16,0 |
| 20 | 100 | Агробанк | 2959 | 126197 | 146527 | 16,1 | 15,9 |
У результаті рішення системи для коленої групи банків були одержані залежності %а під %н:















