166141 (599181), страница 2
Текст из файла (страница 2)
Сюда относят, например, многочисленные случаи альдольной конденсации, зачастую представляющей собой предварительную стадию кротоновой конденсации, Михаэля реакцию, бензоиновую и ацилоиновую конденсации, диеновый синтез, а также реакции гидро- и карбометаллирования олефинов и ацетиленов.
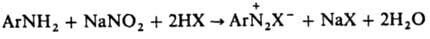
Диазотирование
Способ получения ароматических диазосоединений, заключающийся обычно в действии NaNO2 на первичные ароматические амины в присутствии минеральной к-ты НХ:
Диазотирование проводят в воде, концентрированных кислотах, реже – в неводных средах. Поскольку реакция экзотермична, а диазосоединения при нагревании легко разлагаются, реакционная смесь обычно охлаждают, поддерживая температуру в интервале 0–10 °С. При недостатке кислоты могут образовываться диазоамино- и аминоазосоединения. Производные о-аминонафтолов при диазотировании окисляются; для предотвращения этого в реакционную смесь добавляют соли Сu или Zn. Механизм диазотирования включает нитрозирование свободного амина с последующим отщеплением Н2О от катиона N‑нитрозаммония (I) или ОН – от N‑нитрозамина (II):
Нитрозирующий агент NOX образуется по р-ции: NO2- + + 2Н+ + Х- D NOX + Н2O, где X = ОН, ОС(О) CН3, OSO3H, NO2, Hal и др. (X расположены в порядке возрастания активности NOX). Наиболее активный агент – свободный нитрозоний – катион NO+; он образуется только в концентрированной серной или хлорной к-те. Если NOX образуется быстрее, чем катион N – нитрозаммония, скорость диазотирования зависит от концентрации амина. Чем ниже кислотность среды, тем выше концентрация NO2- и ОН-, а следовательно, и концентрация малоактивных частиц N2O3 и HNO2, в результате чего скорость диазотирования должна снижаться. Однако одновременно увеличивается концентрация свободного амина, что приводит к увеличению скорости диазотирования. С увеличением кислотности среды, как правило, увеличивается концентрация наиболее активных NOX, однако уменьшается концентрация свободного амина, что приводит к снижению скорости диазотирования. Поэтому в слабокислой среде диазотируют более основные амины, в сильнокислой – менее основные, в концентрированной H2SO4 с помощью нитрозилсерной к-ты – амины крайне низкой основности (например, полинитроанилины). Чтобы увеличить скорость последней р-ции, среду разбавляют ледяной СН3СООН, сдвигая равновесие в сторону образования свободного амина. При диазотировании обычно к р-ру или мелкодисперсной суспензии соли амина в к-те прибавляют NaNO2, взятый с небольшим избытком. При использовании плохо растворимых аминосульфокислот к слабощелочному р-ру амина, содержащему NaNO2, прибавляют соляную к-ту. Для выделения галогенидов диазония процесс ведут в абсолютном спирте или ледяной СН3СООН, используя http://www.xumuk.ru/encyklopedia/909.html водородные соли амина и в качестве диазотирующего агента – алкилнитриты. Для контроля р-ции в промышленности используют анализаторы с электро – химической индикацией избыточной HNO2. Анализатор связан с автоматическим дозиметром, регулирующим прибавление к-ты, NaNO2 и амина таким образом, чтобы не возникал избыток нитрозирующего агента. диазотирования – первая стадия синтеза азокрасителей, а также р-ций Зандмейера, Гомберга, Шимана, Гаттермана, Несмеянова, Барта, Меервейна. Диазотирование открыто П. Гриссом в 1858.
Нитрование
Введение нитрогруппы – NO2 в молекулы органических соединений. Может проходить по электрофильному, нуклеофильному и радикальному механизмам; активные частицы в этих реакциях – соответственно катион нитрония NO2, нитрит-ион NO2 и радикал NO2. Нитрование может осуществляться по атомам С, N, О замещением атома водорода (прямое нитрование) или других функциональных групп (заместительное нитрование) либо в результате присоединения группы NO2 по кратной связи.
Электрофильное нитрование. Среди электрофильных нитрующих агентов доминирующее положение занимает HNO3. Безводная и конц. HNO3 способны к самопротонированию: 2HNO3
[Н2NО3]+ + NO3-
NО2+ + NO-3 + H2O. Присутствие воды снижает концентрацию NO+2 и в 93 – 95%-ной HNO3 спектрофотометрически он уже не обнаруживается. Для увеличения нитрующей активности HNO3 используют ее смеси с H2SO4 или олеумом, к-рые генерируют NO2, связывая воду:
В безводной H2SO4 при содержании HNO3 меньше 10% равновесие полностью сдвинуто вправо. Применяют также комбинации HNO3, разложение оксидов азота и органических нитратов с кислотами Льюиса (АlСl3, ZnCl2, BF3 и др.); сильным нитрующим действием обладает смесь HNO3 с (СН3СО)2О благодаря образованию ацетилнитрата и N2O5 (последний при содержании в смеси более 90% HNO3 полностью диссоциирует на NO+2 и NO-3); перспективны также смеси HNO3 с безводным SO3 или N2O5. Вместо HNO3 можно применять ее соли, однако в промышленности такой метод не используют из-за осложнения процесса регенерации отработанных к-т. В случае слабой взаимной р-римости нитрующего агента и субстрата, а также для уменьшения побочных процессов нитрование проводят в органических р-рителях, например нитрометане, сульфолане, уксусной к-те; полярные р-рители способствуют диссоциации [H2NO3]+ и тем самым увеличивают концентрацию NO2.
В лабораторной практике широко используют апротонные нитрующие агенты (нитраты, соли нитрония, полинитросоед. и др.), активность которых в реакциях электрофильного нитрования увеличивается в ряду: AlkONO2 < (CH3)2C(CN) ONO2 < < RC(N02)3
RN(N02)2 < NO2F < CH3COONO2 < < N2O5 < NO2+X-.
Субстратами для электрофильного нитрования служат ароматические и гетероциклические соединения, олефины, относительно сильные СН – кислоты, амины, спирты.
Нитрование ароматического соединения протекает по схеме:
Возможно также образование s‑комплекса, в котором группа NO2 связана с атомом углерода кольца, несущим заместитель. Соединения с электронодопорными заместителями более реакционноспособны и нитруются в орто- и пара-положения, а с электроноакцепторными – в мета-положение. В промышленности для нитрования ароматических соединений применяют в основном смесь HNO3 и H2SO4 (выход нитропродуктов ~ 90–95%). Основная побочная р-ция – окисление, приводящее, как правило, к деструкции ароматического кольца. В зависимости от реакционной способности субстрата условия нитрования варьируют в широких пределах – от водной HNO3 при 0 °С (обязательно присутствие оксидов азота) до дымящей HNO3 в олеуме при повышенных температурах. При низких температурах с высокой скоростью протекает нитрование ароматических соединений солями нитрония; при этом часто лимитирующая стадия-скорость растворения соли нитрония. Используют также заместительное нитрование – замещение сульфо-, диазо- и др. функциональных групп. Этим приемом пользуются, в частности, в случаях, когда невозможно прямое нитрование. Нитрование олефинов апротонными нитрующими агентами в зависимости от условий и строения реагентов может идти по разным направлениям, включая отщепление Н+, присоединение элементов р-рителя и противоиона, полимеризацию и др., например:
При нитровании олефинов тетранитрометаном в зависимости от строения олефина образуются либо алифатическое полинитро – соединение, либо производные изоксазолидина, например:
Некоторые СН – кислоты при нитровании образуют анионы соответствующих нитросоединений; например, при действии на флуорен этил – нитрата в присутствии С, Н5ОК образуется К – соль 9‑нитро-флуорена, примером нитрования карбанионов может служить также превращение солей моно- и динитросоединений соответственно в геминальные ди- и тринитропроизводные при действии FNO2. Соединения с активированной метиленовой группой можно нитровать и в кислых условиях; например, при обработке диэтилмалоната HNO3 образуется нитродиэтилмалонат, нитрование в аналогичных условиях 1,3 – индандиона с последующим щелочным гидролизом образующегося a – нитрокетона – удобный метод синтеза первичных нитроалканов:
Электрофильное нитрование аминов в отличие от нитрования по атому С – обратимый процесс и протекает по схеме:
В промышленности нитрование аминов проводят кислыми нитрующими агентами (конц. HNO3 или ее смесями с H2SO4, уксусной к-той или ангидридом). Слабоосновные амины и амиды нитруются с высокими выходами. Высокоосновные амины (первичные и вторичные), протонирующая форма которых не реагирует с NO2+, превращают либо в амиды, которые нитруют и затем снимают защитную ацильную группу щелочным гидролизом, либо в N‑хлорамины; в последнем случае нитрование проводят в присутствии катализаторов (НСl, ZnCl2).
Нитрование третичных аминов конц. HNO3 или ее смесью с уксусным ангидридом сопровождается разрывом связи С– N (такой тип нитрирования называется нитролизом). Эту реакцию широко используют в промышленности, например для получения гексагена и октогена из уротропина. Жирно – ароматические амины типа ArNHR часто нитруются в ядро, что происходит в результате непосредственного нитрования по атому С или перегруппировки N‑нитропроизводного; при этом группа NO2 вступает в ортo – положение к аминной функции. В ряде случаев нитрования по атому N проводят через стадию образования соли. Для этого амин обрабатывают разб. HNO3 и на образовавшийся нитрат действуют конц. HNO3 или уксусным ангидридом:
В лабораторных условиях заместительное нитрование ацетамидов, сульфамидов, уретанов, имидов или их солей проводят в апротонной среде апротонными нитрующими агентами, например солями нитрония:
Из первичных аминов можно синтезировать N, N‑дини-троамины, которые, в свою очередь, являются нитрующими агентами.
Спирты нитруют любыми нитрующими агентами, содержащими NO+2 (в кислых средах р-ция обратима), например: RCH2OH + NO2+X-
RCH2ONO2 + НХ.
Нуклеофильное нитрование осуществляют солями HNO2:















