163929 (599130), страница 7
Текст из файла (страница 7)
3) Фонд фундаментальних досліджень при Державному комітеті питань науки та технології;
4) Регіональний фонд підтримки малого бізнесу;
5) Державні програми підтримки та розвитку малого бізнесу в Україні;
6) Сервісні організації у галузі розвитку інфраструктур підприємств малого бізнесу;
7) Міжнародні донорські організації
Особливо це стосується державних облігацій, які забезпечені платоспроможністю держави. Однак власники облігацій здебільшого по використовують можливість швидкого нарощування доходу, чим користуються власники акцій.
Водночас володіння акціями може призвести і до фінансових втрат. Тому вони привабливі для інвесторів, здатних на ризик.
За надійністю інвестицій і стабільністю припливу доходу найякіснішими вважаються державні облігації, далі – приватні облігації і акції великих компаній, які регулярно виплачують дивіденди, найменш якісні – акції, випущені молодими невідомими фірмами.
Випуск облігацій – спосіб фінансування, дешевший, ніж випуск акцій, оскільки процент з облігації виплачують із прибутку до оподаткування, тобто зараховують як вид інвестицій, а дивіденд виплачують із чистого (після виплати податків і процентів) прибутку, тобто включають в оподатковуваний дохід.
Класифікувати корпоративні облігації можна за:
• методом забезпечення (облігації під заставу майна, облігації під заставу цінних паперів і беззаставні облігації);
• правами і привілеями (дохідні, розширювані, ретрективні, серіальні, конвертовані, викупного й відкладеного фондів і ін.);
• тими юридичними і фізичними особами, які купують облігації.
Заставні облігації забезпечені активами або цінними паперами компаній. Застава – юридичний документ, що підтверджує згоду підприємства заставити під свій борг землю, споруди або інше майно на володіння заставленими активами в разі невиплати боргу. Застава, яку випускають одну на все майно, зберігається у довіреної особи (найчастіше у траст-компанії), котра виступає від імені всіх кредиторів, або інвесторів, і є гарантом їх інтересів. Весь борг поділяється на зручні частки, і кожен інвестор отримує облігацію на свою частину боргу та проценту.
Облігації під заставу інших цінних паперів забезпечують не майном, а акціями або борговими зобов'язаннями підприємств, які в разі невиплати боргу переходять у власність тримачів облігацій.
Беззаставні, або незабезпечені облігації – це прямі боргові зобов'язання, що не створюють майнових претензій до корпорації. Забезпечення їх є загальною платоспроможністю підприємства.
Конвертовані облігації мають ту перевагу, що їх можна обмінювати на звичайні акції. Вони дають інвесторові право на купівлю звичайних акцій цієї ж компанії за певною ціною у певний термін. Це право називається конверсійною привілегією. Конверсійна привілегія дає змогу скоріше продати випущені облігації. Вона має тенденцію знижувати ціну позики і дає можливість підприємству залучати акціонерний капітал непрямо на умовах сприятливіших, ніж умови, на яких випускають звичайні акції. Купуючи конвертовані облігації, інвестор досягає подвійної мети: з одного боку, безпеку вкладень і стабільний дохід, властиві облігаціям, з іншого, – можливість примноження капіталу, яку дають звичайні акції.
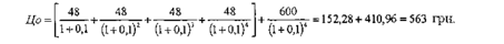
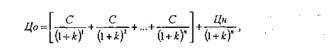
Ціну облігації (До) визначають сумою теперішньої вартості майбутніх доходів за рахунок купонних платежів і теперішньої вартості самої облігації, яка сплачується емітентом, коли настає термін викупу облігації, і обчислюється за формулою:
де С — річні ставка відсотку, що виплачується за облігацію (купонний платіж); Цн - номінальна ціна облігації; k - досконтна ставка (очікувана ставка доходу); п - число періодів.
Наприклад. Обчислити ціну облігації підприємства, випущеної на термін 4 роки. Номінальна ціна облігації – 600 грн. Купонна ставка облігації – 8 %. Дисконтна ставка – 10 %. Відсотки за облігацію виплачуються щорічно.
У зв'язку з тим, що дисконтна ставка (10 %) вище від купонної ставки облігації (10 %) ціна облігації менше від її номінальної вартості. Це означає, що облігацію слід продавати зі знижкою. Коли дисконтна ставка менша від купонної, ціна облігації буде перевищувати її номінальну вартість і облігацію можна продавати із премією.
Акції
Акція (від латинського action- рух, дія)- цінний папір без визначеного часу обігу, що засвідчує часткову участь його власника у статутному капіталі акціонерного товариства і підтверджує членство в акціонерному товаристві та право на участь в управлінні ним. Акції можуть бути іменними чи на пред'явника, привілейованими чи простими.
Акція на пред'явника – акція, в якій відсутні будь-які вказівки на ім'я власника. Акціонером вважається той, хто в цей момент володіє нею.
Привілейовані акції дають право її власникові на одержання дивідендів, а також на приоритетну участь у розподілі майна акціонерного товариства в разі його ліквідації. Власники привілейованих акцій не мають права брати участь в управлінні акціонерним товариством, якщо інше не передбачено його статутом. Привілейовані акції можуть випускатися із фінансовим (у відсотках до їх номінальної вартості) щорічно виплачуваними дивідендами.
Виплату дивідендів здійснюють у розмірі, зазначеному в акції незалежно від величини одержаного товариством прибутку. Якщо прибуток відповідного року є недостатнім, виплату дивідендів за привілейованими акціями здійснюють з резервного капіталу. Якщо розмір дивідендів, сплачуваних акціонерам за простими акціями, перевищує розмір дивідендів за привілейованими акціями, власникам останніх може надаватися доплата до розміру дивідендів, сплачених іншим акціонерам. Привілейовані акції не мають визначеного терміну погашення, тому виплати за ними можна розглядати як довічну ренту, а ціну Що) обчислювати за формулою:
де Д – сума постійного дивіденду; k – дисконтна ставка.
Наприклад. Акціонерне товариство здійснило емісію привілейованих акцій номінальною вартістю 150 грн. з гарантійними виплатами 20 % від номінальної вартості в рік. Дисконтна ставка - 14 %. Розрахувати ціну привілейованої акції.
Згідно з наведеною вище формулою, ціна привілейованих акцій становитиме:
Прості акції
Власники простих акцій є власниками підприємства і постачальниками її первинного капіталу. Якщо підприємство процвітає, то вони виграють від росту їх інвестицій і припливу дивідендів. Перспектива багатократного збільшення невеликих вкладень залучає багатьох інвесторів до звичайних акцій. Але якщо підприємство збанкрутує, то власники звичайних акцій можуть втратити всі свої інвестиції.
Власники простих акцій мають такі права і переваги:
• право отримувати будь-які дивіденди, що їх виплачує підприємство на звичайні акції;
• можливість нарощування капіталу;
• порівняно сприятливе оподаткування;
• можливість легко збільшити, зменшити або продати "портфель звичайних акцій" (висока ліквідність);
• право голосу.
Дивіденди за простими акціями не гарантовані і залежать від наявності коштів у підприємства, яке здійснило емісію акцій, та його прибутків. Дивіденди якості конкретного року за простими акціями можуть бути більшими чи меншими від дивідендів попереднього року, можуть дорівнювати дивідендами попереднього року, а можуть взагалі не виплачуватися. Тому оцінювати вартість простих акцій значно складніше, ніж привілейованих, оскільки ця оцінка може базуватися тільки на певних прогнозних показниках.
Обчислення ціни простих акцій з постійними (нумінними) дивідендами здійснюється за формулою (2). Ціну акції з постійним зростанням дивідендів обчислюють за формулою (3), (4).
або
де До – дивіденди, виплачені за акцією в останньому році; Д1 – очікувані дивіденди в наступному році; д - темпи приросту дивідендів.
Наведена формула запропонована професором М.Гордоном і має назву моделі Гордона.
Приклад. Дивіденди на прості акції, які останній рік виплачувало підприємство, становили 12 грн. на акцію. На майбутнє передбачається щорічний приріст дивідендів на 5 %. Якою буде ціна акції за очікуваної ставки доходу 8?
У тому разі, якщо в різні періоди передбачено різні виплати дивідендів на акції, ціну простих акцій обчислюють так:
1) Прогнозують періоди часу, протягом яких дивіденди матимуть постійну зміну або не будуть змінюватися.
2) Обчислюють майбутні дивіденди за кожен період.
3) Суми дивідендів за кожен період дисконтують до теперішньої вартості.
4) Отримані результати додають.
Акції також поділяються на іменні та на пред'явника.
Іменні – це акції, відомості про кожну з яких, разом із відомостями про власника, час придбання акцій, кількість акцій у кожного з акціонерів, фіксують у кінці реєстрації акцій, яку веде акціонерне товариство.
На пред'явника – це акції, що належать її фактичному власникові й не закріплені за якоюсь конкретною особою. Акцій на пред'явника реєструють лише загальну кількість. Переданім цього виду акцій іншій особі означає автоматичну зміну власника.
Акція неподільна. У тому разі, коли одна її та сама акція належить декільком особам, вони призначаються одним власником акції і можуть реалізувати свої права через одного, з них або через вибраного представника.
Якщо акціонер оплатив вартість усіх акцій, йому видають один; сертифікат на всі акції, якими він володіє.
Сертифікат акцій – цінний папір, який підтверджує володіння вказаними в ньому особами певною кількістю акцій підприємства. Переданий сертифіката від однієї особи до іншої супроводжується реєстрацією цієї операції за встановленим порядком. Сертифікат акцій повинен мати такі основні дані: номер, кількість акцій, їх номінальну вартість, ім'я власника, ставку дивіденду на привілейовані акції, підписи відповідальних осіб і печатку підприємства.
Розміщення цінних паперів (процес розповсюдження акцій та облігацій), емітованих підприємством, серед юридичних і фізичних осіб, може здійснюватись через передплату шляхом реалізації на фондовій біржі.
Фондова біржа – організаційно-оформлений і регулярно функціонуючий ринок, на якому здійснюється торгівля цінними паперами. Належить до вторинного ринку цінних паперів, зосереджує попит і пропозицію цінних паперів, сприяє формуванню їх біржового курсу. На даних фондових біржах реалізують також угоди щодо купівлі-продажу чужоземної валюти і золота.
Функції фондової біржі:
1) відкриває доступ підприємством до позикового небанківського капіталу;
2) є важливим координатором розміщення державних цінних паперів;
3) забезпечує можливість переміщення капіталу з однієї сфери діяльності в іншу;
4) є своєрідним економічним барометром ділової активності.
Згідно з законодавством України фондова біржа створюється як акціонерне товариство, засновниками якого можуть бути не менше як 20 торговців цінними паперами, котрі мають дозвіл на здійснення комерційної і комісійної діяльності з ними.
Основними операціями, які здійснюють фондові біржі, є:
1) облік цінних паперів, їх приймання, надання рекомендацій щодо встановлення початкової котирувальної ціни;
2) оформлення угод щодо купівлі-продажу цінних паперів;
3) виконання централізованих взаєморозрахунків у межах біржового ринку цінних паперів;
4) забезпечення централізованого інформування і курсового контролю;
5) правове оформлення угод.
Купівля-продаж цінних паперів на фондовій біржі здійснюється на підставі їх біржового курсу, який коливається залежно від співвідношення між попитом і пропозицією. Зареєстровані біржові курси (біржові котування) публікують у біржових бюлетенях, їх передруковує багато провідних економічних газет і журналів.
Середній біржовий курс акцій провідних компаній (індекс, курс, акції) важливий економічний показник.
Біржовий курс цінних паперів визначають такі чинники:
1) дохідність – поточна й очікувана;
















