151686 (598952), страница 2
Текст из файла (страница 2)
Лампа тріод широко використовується для підсилення напруги - підсилення слабких сигналів електромагнітних коливань, що виникають в антені радіоприймача й ін.
ІНШІ ВИДИ ЕЛЕКТРОННОЇ ЕМІСІЇ
Енергію, необхідну електронам для вилітання із металу, можна надати не тільки при нагріванні, але й іншими шляхами. Так електрони вилітають із металу, поміщеному в сильне електричне поле – це автоелектронна емісія або холодна емісія.
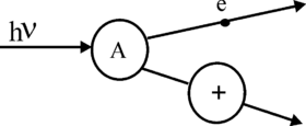
Виривання електронів під дією світла називають фотоелектронною емісією. Причому падаючі електрони називають первинними, а вибиті - вторинними.
Відношення кількості вторинних електронів n до числа первинних електронів
називається коефіцієнтом вторинної емісії
Число вирваних електронів в великій мірі, залежить від природи речовини – емітера. В металах, де велика густина вільних електронів вторинні електрони внаслідок великого числа зіткнень з вільними електронами втрачають свою енергію і мають малу ймовірність вилетіти з металу. Навпаки, в напівпровіднику, де густина вільних електронів збільшується. Тому не існує металів з великим . І ефективні емітери вторинних електронів виготовляють із напівпровідників та діелектриків.
Значення для металів не перевищує 2, а для напівпровідників 6-18.
Явище вторинної електронної емісії лежить в основі дії електронних помножувачів, які призначені для підсилення слабких електронних струмів, світлових сигналів. За допомогою таких помножувачів можна отримати коефіцієнт підсилення первинного струму порядку
.
В електронних лампах вторинна емісія із аноду шкідлива (вона зменшує анодний струм), тому в лампах вводиться спеціальна сітка, яка змушує вторинні електрони повертатись до аноду.
Автоелектронна емісія спостерігається з металів, які знаходяться в сильному електричному полі (
В/м). Причому процес автоелектронної або холодної емісії принципово відрізняється від термоелектронної емісії. При термоелектронній, або іншій емісії, щоб електрон вилетів із металу йому необхідно надати енергію.
А при автоелектронній емісії електрони вилітають внаслідок тунельного ефекту, фізична суть якого розкривається в квантовій механіці.
ВИСНОВКИ
Для вильоту електрону із речовини, йому необхідно мати енергію, щонайменше, рівну роботі виходу, яка залежить від хімічної природи речовини і, в значній мірі, від стану поверхні речовини. Тому в електронних лампах широко використовуються оксидні катоди.
Явище термоелектронної емісії спостерігається при нагріванні електродів (катодів), воно широко використовується на практиці в електронних лампах, електронно-променевих трубках та ін. Причому густина струму насичення різко збільшується при підвищенні температури катода та при зменшенні роботи виходу.
Крім термоемісії існують інші її види – вторинна електронна емісія, автоемісія й ін. Ці явища враховуються і використовуються на практиці – в електронних лампах, фотопомножувачах тощо.
НАВЧАЛЬНА ЛІТЕРАТУРА
1. Гусева Г.Б. Курс физики. §48-49
2. Савельев И.В. Курс физики, т.2, Курс общей физики.-М.: 1989. § 74-75
3. Трофимова Т.И. Курс физики,-М.: Высшая школа, 1985, 432 с. § 104-106
План лекції
з навчальної дисципліни
ФІЗИКА
Тема ЕЛЕКТРИЧНИЙ СТРУМ В ГАЗАХ
ОРГАНІЗАЦІЙНО-МЕТОДИЧНІ ВКАЗІВКИ ДО ПРОВЕДЕННЯ ЛЕКЦІЇ
При проведенні заняття необхідно пам’ятати, що курсанти знають що таке електричний струм і які бувають заряди. Причому в металах носіями зарядів є електрони, а в газах – електрони і іони. Необхідно підкреслити, що при проходженні струму в газі відбуваються: іонізація і рекомбінація, яка супроводжується світінням газу (продемонструвати це). Характеризуючи несамостійний та самостійний розряди важливо виділити струм насичення та лавинний характер утворення зарядів при самостійному розряді, його практичне значення.
Розглядаючи плазму, особливу увагу звернути на її характеристики та практичне використання і перспективи.
ВСТУП
Фізика газових розрядів являє собою один із розділів класичної фізики. Систематичне вивчення газових розрядів розпочалось після створення штучних джерел електричного струму. А з 70-х років ХХ ст. розпочались і проводяться інтенсивні дослідження в області фізики газового розряду. Завдяки цьому відкрито і досліджено нові типи розрядів і способи їх збудження, зокрема такі, як лазерний розряд, розряди що підтримуються електронним і ультрафіолетовим пучками. Різко розширилась область зміни параметрів газового розряду тощо.
Багатогранність властивостей електричного розряду в газах і можливість змінювати значення їх основних параметрів зумовлюють досить широке практичне застосування електричного розряду, в тому числі і в військовій техніці зв’язку. Наприклад, велика кількість іонних приладів є елементами електричних схем, які призначені для перетворення струму, стабілізації напруги, сигналізації (газотрони, тиратрони, ртутні випрямлячі та ін.).
ЕЛЕКТРИЧНИЙ СТРУМ В ГАЗАХ
Електричний струм в металах зумовлений рухом вільних електронів під дією електричного поля. На відміну від металів гази складаються із нейтральних атомів чи молекул і в них немає вільних зарядів, які б змогли рухатись під впливом електричного поля. Тому гази при нормальних умовах не проводять електричного струму, тобто являються діелектриками.
Газ буде провідним, якщо створити в ньому вільні носії зарядів, а для цього треба частину його атомів та молекул іонізувати.
Іонізація газу – це процес розщеплення атома, чи молекули на електрон і позитивний іон.
Газ може бути іонізованим під впливом ультрафіолетових, рентгенівських, радіоактивних променів, видимого світла, при нагріванні тощо.
Рис. 1
Якщо відірваний від атома електрон приєднається до нейтрального атома чи молекули то утворюється негативний іон.
Рис.2
Отже в газі можуть бути електрони, позитивні та негативні іони.
Оскільки атоми або молекули є стійкими системами заряджених частинок, то для їхньої іонізації треба виконати роботу проти сил взаємодії між електроном, що виривається, та іншими частинками атома або молекули.
Робота, яку необхідно виконати, щоб відірвати електрон від атома (молекули) називається роботою іонізації – Аі (аналогічна роботі виходу електрону).
,
де
- потенціал іонізації атома (молекули).
Робота іонізації залежить від хімічної природи газу і стану електрона, який виривається. Найменша робота іонізації для валентних електронів. На практиці робота іонізації вимірюється в еВ. (В СІ – Дж).
При сталій дії іонізатора на газ концентрація зарядів в газі збільшується, тому збільшується й ймовірність зустрічі різнойменних зарядів і їх нейтралізація.
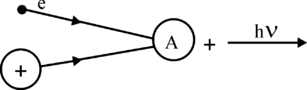
Процес нейтралізації двох різнойменних іонів, або позитивного іона та електрона при їх зіткненні називається рекомбінацією. Причому при рекомбінації надлишкова енергія виділяється, здебільшого, в вигляді кванта світла, тобто процес рекомбінації може супроводжуватись світінням газу.
Рис. 3
Таким чином, при дії іонізатора на газ в закритій посудині буде відбуватись іонізація та рекомбінація і при цьому настане динамічна рівновага: кількість пар зарядів, що виникають під дією іонізатора буде дорівнювати кількості рекомбінуючих пар зарядів. Такий рівноважний стан характеризується певною концентрацією зарядів n. Наприклад: в атмосфері Землі під впливом радіоактивного випромінювання Землі та космічних променів
. Отже, при наявності зарядів в газі, газ може проводити електричний струм.
Процес проходження електричного струму через газ називається газовим розрядом.
Досліди показують, що характер газового розряду залежить від багатьох факторів: хімічної природи, тиску, температури газу; геометрії і температури електродів, напруги, тощо.
Газовий розряд може мати різноманітні форму і супроводжуватися світінням та звуковими ефектами.
По способу одержання вільних зарядів розрізняють два види електричних розрядів:
несамостійний розряд.
самостійний розряд.
НЕСАМОСТІЙНИЙ ТА САМОСТІЙНИЙ РОЗРЯДИ ТА ЇХ ХАРАКТЕРИСТИКИ
Несамостійним розрядом називають такий розряд для виникнення і підтримання якого крім електричного поля необхідний зовнішній іонізатор. Такий розряд не супроводжується світінням газу і якщо іонізатор припиняє свою дію, то припиняється і газовий розряд.
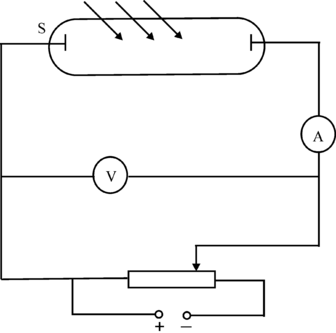
Провідність газів можна вивчити за допомогою установки, схема якої приведена на рис. 1.
Рис. 1
Газ заповнює скляний балон І на газ діє іонізатор S . Змінюючи напругу U між електронами і вимірюючи силу струму І знаходимо залежність струму від напруги – ВАХ газового розряду, яка має вигляд, зображений на рис. 2
Рис. 2
Розглянемо несамостійний розряд. При наявності електричного поля позитивні іони рухаються до катоду, одержують від металу електрон і перетворюються в нейтральні атоми, негативні іони та електрони рухаються до аноду.
Причому, як видно із графіка при малих напругах виконується закон Ома (ОА)
,
де - питома електропровідність газового розряду.
Така залежність пояснюється тим, що із збільшенням напруги збільшується число зарядів, які надходять із об’єму газу на електроди. Оскільки густина струму J = en , струм в газі визначається рухом іонів обох знаків, то для густини струму в газі одержимо:
,
де
і
- заряди іонів,
і
- їх концентрація,
і
- відповідно їх швидкості. Так як швидкість іонів пропорційна напруженості поля
де
і
- рухливості іонів, то для випадку одновалентних іонів
маємо
.
Порівнюючи цей вираз з законом Ома
одержимо питому електропровідність газу















