151506 (598939), страница 5
Текст из файла (страница 5)
У методі молекулярних орбіталей молекула розглядається як єдине ціле, де кожний електрон рухається в полі інших електронів і ядер. Стан молекули описується сукупністю електронних молекулярних орбіталей.
Метод валентних зв’язків
а) Квантовомеханічна теорія валентності.
1. Стехіометрична валентність – число, яке показує скільки атомів водню може приєднати один атом певного елементу, або замістити їх у сполуках. Це поняття не дає чіткого розуміння природи валентності.
2. З погляду методу валентних зв’язків чисельне значення валентності відповідає числу ковалентних зв’язків, що утворює атом, або валентність атома елементу визначається числом неспарених електронів. Наприклад: атом N 1s22s22p3 – в основному стані атом азоту має три неспарені електрони, які можуть брати участь в утворенні ковалентних зв’язків.
Під час хімічних реакцій атоми можуть переходити у збуджений стан. При цьому двохелектронні хмари розпадаються на одноелектронні – електрони розпаровуються. Для того, щоб хімічний зв’язок, утворений розпарованими електронами, був стійкий, потрібно щоб енергія, затрачена на розпарування електронів, була меншою від енергії, яка виділяється при утворенні ковалентного зв’язку:
Збудження атомів N, O, F в межах другого квантового рівня не може привести до збільшення числа неспарених електронів. Збудження електронів в цих атомах пов’язане з їх переходом на наступний квантовий рівень і потребує значної енергії, яка не компенсується виділенням енергії завдяки утворенню додаткових хімічних зв’язків.
Атоми елементів ІІІ-го періоду у зовнішньому енергетичному рівні мають вакантний d-підрівень, на який при збудженні можуть переходити s- і p-електрони зовні синього рівня, при цьому у атомів збільшується число непарних електронів. Наприклад:
Механізм утворення ковалентного зв’язку
У методі валентних зв’язків розрізняють обмінний і донорно-акцепторний механізми утворення хімічного зв’язку.
1. Обмінний механізм – до нього належать випадки, коли в утворенні спільної електронної пари від кожного атома бере участь один електрон. Наприклад:
Особливістю утворення сполук за обмінним механізмом є насиченість, яка показує, що атом утворює не будь-яке, а обмежене число хімічних зв’язків.
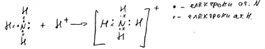
2. Донорно-акцепторний механізм – ковалентні зв’язки виникають не внаслідок спарування електронів різних атомів, а за рахунок спареної електронної пари, яка є на зовнішньому енергетичному рівні певного атома:
Два електрони належать атому азоту і називаються неподільною електронною парою. Така пара електронів може брати участь в утворенні ковалентного зв’язку з іншими атомами, якщо останні мають на зовнішньому енергетичному рівні вільну орбіталь. У нашому випадку вільну 1s-орбіталь має іон водню Н+. Такий механізм утворення ковалентного зв’язку називається донорно-акцепторним. Атом з неподільною електронною парою донор, атом, який має вільну орбіталь – акцептор.
Отже, у загальному вигляді валентність елементу визначається числом хімічних зв’язків (сума числа непарних електронів і числа хімічних зв’язків утворених донорно-акцепторним механізмом).
Координаційні сполуки
Донорно-акцепторний механізм утворення ковалентного зв’язку має особливо велике значення при утворенні координаційних сполук, у яких акцептором найчастіше виступають іони металів (Zn2+, Ag+, Cu2+, Hg2+, Co3+, Te2+, Te3+ тощо) з вакантними орбіталями. Як акцептори можуть виступати також і неметали. Наприклад, бор у сполуці Н2[ВF4], кремній у Н2[SiF6]. Донорами – нейтральні молекули Н2О, NH3, негативно заряджені іони F–, Cl–, Br–, I–, CN–, CO32–, SO32– тощо.
Наукова теорія, яка пояснювала будову і основні властивості координаційних сполук, сформульована швейцарським хіміком А. Вернером у 1883 р. За цією теорією переважна більшість координаційних сполук має внутрішню і зовнішню сферу. Наприклад, у сполуці K[Ag(CN)2], [Cu(NH3)4]SO4 – внутрішню сферу утворюють групи атомів [Ag(CN)2]–; [Cu(NH3)4]2K, а зовнішню сферу – відповідно К+meSO42–. Заряд комплексного іона визначається алгебраїчною сумою зарядів його складових частин.
Центральний атом називається комплексоутворювачем, а координовані навколо нього молекули або іони – лігендами. Число, що показує кількість лігендів, називається координаційним.
Координаційне число комплексу залежить від природи лігендів (їх розміри), координаційної ємності та стеричних факторів. Число місць, що займає координована група в координаційній сфері, визначає координаційну ємність групи або дентатність. Лігенди можуть займати одне, два, три і більше координаційних місць, тобто їхня дентатність може бути моно-, бі-, три-, тетра- і т. д. Монодентатними є молекули Н2О, NH3 іони F–, Cl–, Br–, CN–, SCN–; бідентатними – СO32–, SO42–, SO32–, C2H42–, C4H4O62–.
Просторова інтерпретація координаційних чисел. Найважливішим висновком координаційної теорії Вернера є положення про просторовий характер координації лігендів центральним атомом.
У координаційних сполуках з к. r = 4 рівномірне розміщення чотирьох лігендів навколо центрального атома може бути реалізоване у трьох геометричних фігурах: квадраті, тетраедрі і тетрагональній піраміді. Дальші дослідження показали, що для сполук з к. r = 4 характерні дві геометричні конфігурації – квадрат і тетраедр.
Сполукам к. r = 6 відповідає октаедр. В деяких сполуках реалізується тригональна призма і тетрагональна піраміда. Для сполук з к. r = 2 – лінійна і кутова конфігурація; з к. r = 3 – трикутник або тригональна піраміда.
Ізомерія координаційних сполук. Зміна розміщення лігендів у межах однієї координаційної сфери, обмін їх місцями з зовнішніми іонами, або зміна характеру приєднання до центрального атома багатоатомного лігенду приводить до ізомерії координаційних сполук. Для координаційних сполук відомі такі види ізомерії: геометрична (цис-, транс-ізомерія), оптична, сольватна, іонізаційна, координаційна ізомерія зв’язку та ін.
[Pt(NH3)2Cl2] – ліганди утворюють квадрат, к. r = 4.
[Co(NH3)4Cl2], к. r = 6.
Оптичні ізомери – обертають площину поляризації світла на одинаковий кут, але один – вправо, а другий – вліво.
Причиною сольватної ізомерії є неодинаковий розподіл молекул розчинника між внутрішньою і зовнішньою координатними сферами CrCl3 · 6H2O:
[Cr(H2O)6]Cl3; [Cr(H2O)5Cl]Cl2 · H2O; [Cr(H2O)4Cl2]Cl · 2H2O; [Cr(H2O)3Cl3] · 3H2O
Іонізаційна ізомерія – зумовлена різним розподілом кислотних залишків між внутрішньою і зовнішньою сферами при певному емпіричному складі сполук
CoBrSO4 · 5NH3: [Co(NH3)5Br]SO4 і [Co(NH3)5SO4]Br.
Якщо координаційна сполука складається з двох або більше комплексів, то різні центральні атоми можуть обчислюватися своїми лігендами, без зміни загального складу. В цьому полягає координаційна ізомерія. Наприклад
CrCo(NH3)6(CN)6]: [Co(NH2)6][Cr(CN)6] і [Co(CN)6[Cr(NH3)6]
Ізомерія зв’язку може виявлятись тоді, коли лігенди містять два різних атоми, здатних координуватись з центральним атомом. Наприклад:
[Co(NH3)5ONO]X2; [Co(NH3)5NO2]X2; група ONO зв’язана з Со(ІІІ) через кисень, а група NO2 через азот
Напрямленість ковалентного зв’язку. Відповідно до методу ВЗ хімічний зв’язок між атомами зумовлюється перекриванням s-, p-, d- і f-орбіталей, які мають просторову напрямленість. Тому і хімічний зв’язок, який утворюється за їх участю має в просторі повне напрямлення
Гібридизація атомних орбіталей. Просторова конфігурація молекул. Геометрична конфігурація молекул визначається взаємним розміщенням у просторі атомних орбіталей. Для пояснення геометричної конфігурації за методом ВЗ використовують уявлення про гібридизацію атомних орбіталей.
Метод молекулярних орбіталей. Метод валентних зв’язків побудований на ідеї утворення електронних пар молоефективний при розгляді молекул з непарним числом електронів. Важко пояснити також, виходячи з методу валентних зв’язків, парамагнетизм.
Метод молекулярних орбіталей приводить до тих же результатів, що і метод валентних зв’язків, але має деякі переваги. Основна ідея методу МОЛКАО полягає в розгляді руху електрона в молекулі аналогічна тому як і в окремих атомах. Тому вводяться поняття молекулярної орбіталі, квантові числа, що характеризують стан електронів у молекулі і под.
В методі МО вважається, що даний електрон рухається в молекулі в полі кількох ядер. Стан електрона, коли він перебуває у одного з ядер (А), описується хвильовою функцією А, якщо електрон знаходиться біля другого ядра В, то його стан описується функцією В. Якщо електрон розміщується десь біля ядер А і В, то стан електрона в цьому випадку можна описати з допомогою лінійної комбінації атомних орбіталей А В (звідси назва методу МОЛКАО, або ЛКАО – лінійна комбінація атомних орбіталей. Тому
1 = А + В,
або
2 = А – В.
У випадку 1 електрон виявляється між ядрами атомів у другому випадку такої можливості електрон немає.
Імовірність знайти електрон А біля ядра А пропорційна А2, а у В – В2:
12 = А2 + В2 + 2А · В,
22 = А2 + В2 – 2А · В.
Як видно з наведених рівнянь, 12 більша ніж сума квадратів А2 + В2 на величину 2А · В. Це означає, що у електрона, стан якого описується функцією 1, більша імовірність опинитися між атомами А і В, ніж розміститися у якого-небудь окремого атома. В цьому випадку між атомами А і В утворюється хімічний зв’язок. Квадрат функції 22 менший від суми квадратів – імовірність того, що електрон виявиться між атомами мала і хімічний зв’язок не утвориться. Але кожна функція – це молекулярна орбіталь. Отже, існують дві молекулярні орбіталі: одна, що відповідає утворенню зв’язку, називається зв’язуючою (функція 1), друга – розпушуючою (2) (мал. ).
Якщо електрони розміщується на розпушуючій орбіталі, то вони обумовлюють сили відштовхування. Виникнення двох молекулярних орбіталей при взаємодії двох атомних можна зрозуміти з таких міркувань. На кожній АО і МО можна розмістити максимум два електрони (по принципу Паулі). Всього на молекулярних орбіталях повинно розміститись чотири електрони. Звідси зрозуміло, що повинно бути дві молекулярні орбіталі. Енергетичний рівень електрона розміщеного на орбіталі, що описується 1 нижчий, ніж рівень електрона, що займає орбітель 2. Виходячи з цього, зрозуміло, що орбітель 1 має область, де електронні хмари перекриваються, а орбітель 2 такоє області немає.
Електрони, що займають зв’язуючу орбітель має антипаралельні спіни. Якщо спіни паралельні, то один електрон попадає на зв’язуючу орбітель, другий – на розпушуючу (на одній орбіталі (згідно принципу Паулі) ці електрони перебувати не можуть. Енергія електронів на зв’язуючих орбіталях (Е1) нижча ніж енергія електронів на вихідних атомних орбіталях, а енергія на розпушуючих (Е*) вища. Електрони перш за все займають зв’язуючі орбіталі. Поява електронів на розпушуючих орбіталях означає виникнення сил відштовхування.
При виконанні даної умови притягання обумовлене парою електронів на зв’язуючій орбіталі повністю компенсується відштовхуванням, що викликається парою електронів на розрихляючій орбіталі. По цій причині взаємодія орбіталей атомів, на яких уже перебувають по два електрони, не приводить до зв’язування. Наприклад, атом Не, що містить два електрони на першій оболонці, взаємодіє з другим атомом Не і виникають дві молекулярні орбіталі (зв’язуюча і розпушуюча), то на кожній з них виявиться по два електрони. В результаті притягування буде повністю скомпенсовано відштовхуванням, тому молекула Не2 утворитися не може.
Якщо різниця між енергетичними рівнями електронів, що перебувають біля різних ядер велика, то перекривання не проходить і такі електрони не приймають участь в утворенні зв’язку. Відповідні молекулярні орбіталі називають незв’язуючими.















