63358 (597585), страница 2
Текст из файла (страница 2)
где Vo — выходное напряжение по п. 4, a RL — сопротивление нагрузки. Такая методика позволяет проводить измерения, не опасаясь тепловых эффектов.
Данный параметр имеет определенный смысл, как некоторый резерв мощности усилителя. Дело в том, что даже если вы слушаете очень тяжелую музыку на максимальной громкости, средняя мощность, тем не менее, далека от максимальной, благодаря большому динамическому диапазону музыкального сигнала. По разным данным она составляет от 20 до 40% от максимальной, однако некоторые фрагменты могут превышать максимальный уровень. Музыкальная мощность позволяет, например, количественно оценить запас мощности, который вы имеете при прослушивании композиций с большим динамическим диапазоном.
Изложенная методика позволяет не только измерить мощность, но и представить себе, какие основные условия нужны для сопоставимой оценки этого параметра. Это, прежде всего, напряжение питания, параметры входного сигнала, сопротивление нагрузки и коэффициент нелинейных искажений. Несоответствие этих параметров приведет к несопоставимым результатам.
Существует также стандарт измерения мощности EIAJ (Electronic Industries Association of Japan — Ассоциация электронной промышленности Японии). В нем, в частности, применяется иной ряд напряжений питания, чем у американцев, а выходной сигнал представляет собой насыщенный меандр. Такой сигнал уже ничего общего с музыкальным не имеет и, по-видимому, призван оценить, в какой мере усилитель может заменять собой электроплитку. Очень похожий параметр, называемый максимальной выходной мощностью иногда встречается и у SGS.
Выходная мощность всегда измеряется на активной нагрузке. Это обязательно нужно помнить, так же как и то, что динамики активной нагрузкой не являются. Реактивная нагрузка для усилителя, вообще говоря, это плохо. Чем больше реактивность, тем меньше КПД усилителя, т.к. реактивные токи точно так же выделяют тепло на переходах, но никакой полезной работы не производят. Кроме того, реактивности нарушают режим работы усилителя и могут стать причиной его самовозбуждения, хотя на активной он будет вести себя вполне прилично.
Перейдем теперь к тем параметрам усилителя, которые встретились нам при обсуждении выходной мощности.
Сопротивление нагрузки (Load Resistance, RL) также является важным параметром усилителя. Некоторые виды усилителей рассчитаны на определенное сопротивление нагрузки, другие допускают его изменение в довольно широких пределах. В усилителях выходное сопротивление стараются сделать крайне малым, прежде всего для того, чтобы иметь возможность работать на низкоомную нагрузку и при этом осуществлять ее демпфирование. Это необходимо для того, чтобы убрать паразитные колебания диффузора динамика, возникающие из-за наличия упругих элементов конструкции. Применяются, конечно, и акустические демпфирующие устройства, но роль усилителя тоже весьма важна. Существует такой параметр, как коэффициент демпфирования (Damping Factor), который равен отношению сопротивления нагрузки к внутреннему сопротивлению усилителя. Особенно важен этот параметр при оценке поведения на низких частотах, т.к. средне- и высокочастотные динамики в электрическом демпфировании не нуждаются ввиду большого сопротивления воздуха на этих частотах и малой амплитуды колебаний диффузора.
Рекомендуемое сопротивление нагрузки обязательно приводится во всех спецификациях всех производителей, зато выходное сопротивление усилителя в интегральном исполнении практически нигде не встречается.
С выходной мощностью непосредственно связаны еще два параметра, а именно рассеиваемая мощность и КПД. Рассеиваемой мощностью (Total Power Dissipation, Ptot) называется разность между суммарной мощностью, потребляемой усилителем от всех источников питания и выходной мощностью, замеряемой непосредственно на выходных клеммах усилителя. Рассеиваемая мощность потому так и называется, что должна быть рассеяна усилителем в окружающее пространство, чаще всего при помощи теплоотвода, т.к. площадь корпуса микросхемы слишком мала, чтобы полностью отвести тепло от кристалла. Тепловую схему интегрального усилителя можно представить себе в виде генератора напряжения Тj и сопротивлений Rthj case Rthj-amb и Rthhs* Поскольку эти сокращения встречаются везде, поясним, что они означают. Слова junction, case, heatsink ambient и thermal означают переход (имеется в виду полупроводниковая структура, т.е. в нашем случае — кристалл), корпус, теплоотвод, окружающая среда и прилагательное тепловой(ое) соответственно, ну а в условных обозначениях они соответственно сокращены. Таким образом, вышеупомянутые сопротивления — это тепловые сопротивления (Thermal Resistance, Rth) переход-корпус (микросхемы, конечно), переход окружающая среда (воздух) и тепловое сопротивление собственно теплоотвода (радиатора). Tj — это температура самого кристалла. Rthj_amb самое большое среди всех, определяется исключительно параметрами корпуса и составляет 15...80°С/Вт. Его надо учитывать, только если прибор используется без радиатора. Для тех же корпусов Rthj.case будет составлять величину 1... 15°С/Вт соответственно, что на полтора порядка ниже. Тепловое сопротивление радиатора надо подсчитать самостоятельно, обязательно с учетом того, что между корпусом и радиатором тепловое сопротивление отнюдь не равно нулю, а при наличии плохой изолирующей прокладки может превышать 3°С/Вт. В справочных листках приводится такой параметр, как максимальная температура кристалла (Tj). Следует иметь в виду, что если кристалл нагрет до этой температуры, то дальнейшая работа усилителя невозможна, т.к. любой сколько-нибудь заметный ток приведет к повышению этой температуры и к разрушению микросхемы. Обычно интегральные усилители, имеющие тепловую защиту, при достижении данной температуры отключают усилитель полностью, либо переводят его в режим с отключенными оконечными каскадами. Об этих режимах поговорим несколько позже.
Любая микросхема и любой транзистор имеют ограничения по рассеиваемой мощности и необходимо учитывать, что с повышением температуры, максимальная рассеиваемая мощность снижается. Часто в справочных данных приводится степень снижения рассеиваемой мощности (Derating Factor) при превышении определенной температуры, выраженная в ваттах на градус (Вт/°С). Чтобы получить значение реальной рассеиваемой мощности, необходимо умножить разницу температур на упомянутый коэффициент, а результат вычесть из паспортной мощности.
Коэффициентом полезного действия (КПД) называется отношение выходной мощности усилителя к общей мощности, потребляемой им от всех источников питания. Измеряют его обычно на частоте 1 кГц, Для большинства интегральных усилителей он составляет примерно 0,6...0,7 при максимальной мощности. Это связано с тем, что они практически все относятся к классу АВ. Исключение составляют так называемые усилители класса D и Т, у которых он может превышать величину 0,9, при теоретическом максимуме равном единице. КПД всех усилителей зависит от выходной мощности.
Поговорим теперь о нелинейных искажениях. Нелинейными они называются потому, что образуются в результате прохождения через цепи, описываемые нелинейными функциями. Такими, к сожалению, являются все без исключения усилительные элементы, все полупроводниковые элементы, магнитопроводы и многие другие изделия, используемые в усилителях. Главная неприятность заключается в том, что при прохождении гармонического сигнала через такие цепи, его спектр обогащается за счет составляющих, которых не было в исходном сигнале. Если эти составляющие являются гармониками основного тона, то есть частотами, в целое число раз превосходящими основную частоту, то такие изменения спектра называются гармоническими нелинейными искажениями и в музыкальном сигнале воспринимаются как не раздражающие. Музыкальный звукоряд построен на октаве, т.е. на удвоении частоты. Поэтому гармоники основного тона — это те же ноты, но взятые на октаву или несколько октав выше. Самое печальное в том, что нелинейные элементы выполняют функцию смесителей. После прохождения такого «смесителя» в спектре сигнала образуются суммарные и разностные частоты основных тонов, а они вовсе не собираются укладываться в стандартный музыкальный звукоряд. Диссонансные компоненты (не поворачивается язык назвать их гармониками) в количестве, на порядок меньшем, чем консонансные, вызывают гораздо более неприятные ощущения, чем последние. Такие искажения называются интермодуляционными (Intermodulation Distortion, ID).
Линейные искажения в принципе обратимы. Достаточно пропустить сигнал через цепи с обратными характеристиками, и он будет полностью восстановлен. Очень часто сигнал заранее подвергают линейным предыскажениям (preemphasise, премфазис), чтобы компенсировать те искажения, которые он получит, пройдя через конкретную цепь. Для нелинейных цепей полностью это сделать невозможно, да и то, что можно сделать, делается сложно, а чаще — очень сложно. Остается пытаться всеми способами линеаризировать цепь, чтобы свести искажения к минимуму. Очень большую роль в этом процессе играют общие и местные обратные связи (Feedback).
Параметров, отражающих способность усилителя портить сигнал, довольно много. Важнейшими из них являются: коэффициент нелинейных искажений, коэффициент интермодуляционных искажений, скорость нарастания выходного сигнала и переходная характеристика усилителя.
Перейдем теперь к наиболее интересному параметру усилителя, а именно к коэффициенту нелинейных искажений — THD (Total Harmonic Distortion), иногда просто d. Часто его еще называют коэффициентом гармоник.
где Ui — амплитудное значение основного сигнала, a U2...Un — амплитуды соответствующих гармоник. Этот показатель является важным, но не определяющим в оценке усилителя. Еще лет десять назад впечатляющей могла показаться цифра 0,1%, а сегодня никого не удивит и 0,001%. Тем не менее, может оказаться, что усилитель с более высокими искажениями звучит гораздо приятнее. Подчеркнем еще раз, что на сегодняшний день никто не знает, какой параметр является ключевым в оценке усилителя. Более того, не существует такого параметра! Тем не менее, битва за THD продолжается. Несомненно, что чем он ниже — тем лучше в рамках той же концепции высокой верности воспроизведения.
Для интегральных усилителей этот показатель пока не достиг таких высот, но и в этой области прогресс несомненен. В этом справочнике вы найдете усилители с THD = 0,005%, например TDA7293 имеет такой показатель при мощности до 5 Вт. Существуют усилители, у которых THD еще ниже. Принято считать приемлемым THD = 1...3% при максимальной громкости воспроизведения. Показатель THD = 10%, который очень часто встречается в справочных данных, говорит только о том, что в данном режиме усилитель представляет собой низкокачественный скремблер, а вовсе не УНЧ.
У всех усилителей с ростом мощности этот показатель растет, поэтому в справочных, данных всегда приводятся условия, при которых он замеряется. Растет он и с увеличением частоты входного сигнала. Как правило, приво-дятся графики зависимости его от частоты, мощности и нагрузки.
При рассмотрении зависимости коэффициента нелинейных искажений от мощности и частоты, можно заметить, что, начиная с некоторого значения, график резко поворачивает в сторону увеличения THD. Не следует этого сильно пугаться. Как уже отмечалось, музыкальный сигнал никогда не воспроизводится на полной мощности. Средний уровень громкости всегда на 10...20 дБ ниже, а кратковременные фрагменты с большим уровнем гармоник будут практически незаметны. Что касается частоты, то доля высоких частот на самом деле довольно мала. Примерно половина всей мощности приходится на частоты ниже 500 Гц. Искажения же замеряются на синусоидальном сигнале определенной частоты, чего в реальности не бывает. При сравнении усилителей, всегда в первую очередь сравнивайте условия измерений. Если они отличаются, то абсолютные значения показателей ничего не дадут. Сомнения должны возникнуть, когда значение THD приводится для маленького входного сигнала или для малой выходной мощности. Это, скорее всего, означает, что при больших сигналах показатель будет выглядеть очень плохо и лучше его не демонстрировать.
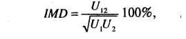
Коэффициент интермодуляционных искажений (IMD) еще более важный показатель усилителя, т.к. в большей степени, чем THD характеризует нелинейность тракта усиления, и, наверное, по этой причине никогда не приводится в технических характеристиках интегральных усилителей. Для аппаратуры классов Hi-Fi и выше он приводится также достаточно редко.
где U1 и U2 — амплитудные значения синусоидальных сигналов с частотами f1 и f 2, а 12 • — амплитуда разностного ил и суммарною сигналов
Понятно, что выбор частот и амплитуд является очень* важным параметром, иначе сравнить результаты будет невозможно. В стандарте DIN4550&, который является общепризнанным для Hi-Fi аппаратуры принято f, *= 250 Гц, f 2 = 8 кГц, U1 = 0,25U2, и конечно амплитуды выбираются таким образом, чтобы THD был минимальным. Надо отметить, что, как и в случае с коэффициентом гармоник, возникает, вообще говоря, бесконечное множество комбинационных частот вида nf1 ± mf2, а их амплитуды тем выше, чем выше нелинейность системы.
Очень простой и понятной характеристикой является скорость нарастания выходного сигнала SR (Slew Rate). Она измеряется в вольтах на микросекунду (В/мкс) и понимается буквально, т.е. усилитель не может воспроизвести слишком крутой перепад напряжения. На выходе вместо прямоугольного сигнала мы получим трапецеидальный, причем наклон трапеции численно равен максимальной скорости нарастания. Связь между частотой, выходным напряжением и скоростью нарастания проста:
где f — частота (МГц), U — амплитуда неискаженного напряжения (В). Скорость нарастания должна приводиться для наихудшего случая, каковым для операционного усилителя является повторитель, а для обычного — наи- меньший возможный коэффициент усиления, т.к. в этом режиме усилитель нуждается в наиболее сильной частотной коррекции.
Сквозная передаточная характеристика усилителя представляет собой зависимость выходного напряжения от входного. В справочниках она приводится редко, т.к. недостаточно информативна в связи с наличием огромного количества факторов, влияющих на результат. В технических характеристиках иногда попадается простейшая разновидность ее — амплитудная характеристика. Она снимается при воздействии на вход усилителя синусоидального сигнала. Идеальная характеристика должна представлять собой прямую линию, выходящую из начала координат. Угол ее наклона — это коэффициент усиления. Прежде всего, реальная характеристика не только не начинается там, где ей положено, в начале координат, а вообще до нуля не доходит. В этом районе сосредоточены все шумовые свойства усилителя, Нелинейность начального участка характеристик усилительных элементов, тепловые дрейфы, наводки и помехи, фон и многое другое. Нетрудно догадаться, что динамический диапазон усилителя (Dynamic Range), под которым понимается отношение максимального выходного (входного) неискаженного напряжения к минимальному, определяется именно этим участком, а вовсе не максимальным выходным напряжением. Измерения как обычно идут на частоте 1 кГц.















