2015 (596747), страница 61
Текст из файла (страница 61)
С учетом необходимости приведения процентных ставок к одному временному периоду их общие формулы расчета видоизменяются в зависимости от того, в каких единицах (днях, месяцах, кварталах) выражен период инвестирования.
Например, если инвестиция имеет срок, выраженный в днях, то число периодов п =-365/х, где х — число дней, то по формуле (6) процентная ставка равна:
По формуле (7) процентная ставка равна:
Будучи рассчитана на основе одного временного периода (т. е. п = 1), формула приобретает совсем простой вид:
ВОПРОСЫ ДЛЯ САМОПРОВЕРКИ
1. Как вычисляется годовая процентная ставка с использованием сложного процента?
2. Как вычисляется годовая процентная ставка с использованием простого процента?
18.4 ПОНЯТИЕ О ДИСКОНТИРОВАНИИ ДЕНЕЖНЫХ ПОТОКОВ
Под денежными потоками (для целей настоящей главы) мы понимаем доходы (выплаты), получаемые в разное время инвестором от инвестиций в денежной форме.
Техника дисконтирования, выражающаяся в приведении будущей стоимости инвестиций к их текущей стоимости, позволяет сравнивать различные виды инвестиций, сделанные в разное время на разных условиях.
Для того чтобы привести будущую стоимость инвестиции к ее текущей стоимости, необходимо умножить на коэффициент дисконтирования (дисконтировать) все денежные доходы, связанные с инвестицией, и суммировать полученные величины.
Коэффициент дисконтирования (1 + r)-1 определяется с учетом доходности по альтернативному вложению.
Пример 7
Необходимо принять решение о том, имеет ли смысл покупать облигацию номиналом 10 000 руб. по цене 9 500 руб. с выплатой ежегодного купонного 8-процентного дохода и сроком погашения через 3 года, если ставка процента в банке по вкладу сроком на 3 года составляет 10% годовых.
| Будущая стоимость выплат | Дисконтирование по ставке доходности альтернативного вложения (10%) | Настоящая стоимость денежных выплат | |
| Год 1 Год 2 ГодЗ ГодЗ | Купонный доход 800 руб. Купонный доход 800 руб. Купонный доход 800 руб. Погашение облигаций по номиналу 10 000 руб. | 800/1,10 800/1,102 800/1,103 10 000/1,103 | 727 руб. 661 руб. 601 руб. 7 513 руб. |
| Итого текущая стоимость 9 502 руб. | |||
Из вычислений, приведенных выше, видно, что при данных условиях приобретение облигации выгоднее, чем вложение денег в банк, так как ее текущая стоимость выше, чем рыночная цена облигации (9 500 руб.)
ВОПРОСЫ ДЛЯ САМОПРОВЕРКИ
-
Что такое денежные потоки?
2. Для чего используется дисконтирование денежных потоков?
18.5 ВНУТРЕННЯЯ СТАВКА ДОХОДНОСТИ
Иногда требуется решить обратную задачу: при какой процентной ставке по данному вложению текущая стоимость вложения будет равна ее рыночной стоимости? Для ответа на этот вопрос нужно решить уравнение (8) относительно г. Такое значение r называется внутренней (ибо не зависит от внешних условий) ставкой доходности. Считается, что инвестиция тем выгоднее, чем выше ее внутренняя ставка доходности.
Пример 8
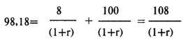
Облигация сроком 1 год погашается по номиналу, выплачивается ежегодный купонный доход 8% номинала. Рыночная цена облигации — 98,18 номинала. Найти внутреннюю ставку доходности.
Пусть номинал — 100, тогда
С = 100 х 0,08 = 8, FV = 100, PV=98,18,
a r предстоит найти. Подставляя полученные значения в формулу, получаем:
Отсюда:
1 + r = 108/98,18- 1,10,
и наконец, внутренняя ставка доходности равна: r - 0,1 = 10%.
Пример 9
Найти внутреннюю ставку доходности для вложения 9 500 руб. на банковский вклад сроком на 3 года с выплатой 10% годовых без реинвестирования процентного дохода.
Если мы найдем внутреннюю ставку доходности для облигации по условиям Примера 7, то, решив уравнение
мы можем убедиться, что внутренняя норма прибыли для вложений в облигацию чуть выше, значит, они выгоднее, что соответствует выводам, сделанным ранее.
ВОПРОСЫ ДЛЯ САМОПРОВЕРКИ
1. Что такое внутренняя ставка доходности?
2. Если внутренняя ставка доходности облигации составляет 12%, а процент по банковскому вкладу — 10%, какая из двух указанных инвестиций, на ваш взгляд, выгоднее?
18.6 АННУИТЕТЫ
Аннуитет (иначе — рента) — регулярные ежегодно поступающие платежи.
Дисконтирование аннуитета используется для оценки сегодняшней текущей стоимости инвестиции, доход на которую будет одинаковым в течение долгого времени и должен выплачиваться с определенной (годовой) периодичностью.
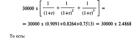
В этом случае у нас имеется аннуитет 30 000 руб. в год в течение трех лет.
Применяя к таким выплатам обычную технику дисконтирования, потоков платежей при процентной ставке, равной 10°о, получаем (предполагается, что выплаты происходят в конце каждого года):
| Год | Платежи | Коэффициент дисконтирования | Настоящая стоимость |
| 1 | 30 000 руб. | 1/(1+ 0,1) = 0,9091 | 27 273 руб. |
| 2 | 30 000 руб. | 1/0+0,1)2 = 0,8264 | 24 792 руб. |
| 3 | 30 000 руб. | l/(l+0,l)3 = 0,7513 | 22 539 руб. |
| Текущая стоимость 74 604 руб. | |||
Текущая стоимость потока платежей 74 604 руб.
Из вычислений видно, что мы каждый раз умножали коэффициент дисконтирования на одну и ту же величину — 30000.
Получим:
ОСНОВЫ ФИНАНСОВЫХ ВЫЧИСЛЕНИЙ
| Год | Платежи | Коэффициент дисконтирования | Текущая стоимость |
| 1 -3 | 30000 в год | 2.4868 | 74,604 |
Текущая стоимость 74,604
Для экономии времени коэффициент дисконтирования аннуитета может быть вычислен по формуле суммы геометрической прогрессии со знаменателем I/O + г):
где
r — процентная ставка за период (см. условия примера), п — число периодов.
Используя эту формулу, можно рассчитать 3-летний коэффициент аннуитета при процентной ставке 10%:
ВОПРОСЫ ДЛЯ САМОПРОВЕРКИ
1. Что такое рента (аннуитет)?
2. Для чего используется дисконтирование аннуитета?
3. Каким образом при вычислении коэффициента дисконтирования аннуитета можно использовать формулу суммы геометрической прогрессии?
-
РАСЧЕТ ТЕКУЩЕЙ СТОИМОСТИ ДЛЯ ПОТОКОВ ПЛАТЕЖЕЙ, НАЧИНАЮЩИХСЯ В МОМЕНТ ВРЕМЕНИ, НА КОТОРЫЙ РАССЧИТЫВАЕТСЯ ТЕКУЩАЯСТОИМОСТЬ ИНВЕСТИЦИИ
В обычных случаях мы полагали, что первая выплата отстоит от времени, на которое рассчитывается текущая стоимость, на 1 временной период, например, произойдет через год или месяц. Возможны, однако, ситуации, когда первый платеж приходит в тот момент, на который рассчитывается текущая стоимость инвестиций.
Пример II, облигация, приобретенная за 1000 рублей, приносит купонный доход 8% ежегодно, первая купонная выплата производится в момент сразу после приобретения. Срок до погашения 3 года. Найти текущую стоимость на момент приобретения облигации.
| Год | Платежи | Коэффициент дисконтирования | Текущая стоимость |
| 0 | 80 | 1 | 80 |
| 1 | 80 | 1/1,08 | 74,07 |
| 2 Общая | 1080 текущая стоимс | 1/1,082 )сть | 925,93 1000 |
Общая формула для расчета текущей стоимости денежных потоков при условии получения первого платежа в момент, на который рассчитывается настоящая стоимость, принимает вид:
где
cq — первый платеж, не дисконтированный, поскольку он получен в момент времени, на который рассчитывается текущая стоимость. Его будущая стоимость равна текущей стоимости. (Математическое объяснение таково: для платежей, приходящих во время 0:
т. е. коэффициент дисконтирования равен 1.
ВОПРОСЫ ДЛЯ САМОПРОВЕРКИ
1. Что выражает процентная ставка, используемая при расчете текущей стоимости аннуитета?
2. Чему равен коэффициент дисконтирования для платежа, полученного в момент расчета текущей стоимости аннуитета?
В подготовке учебного пособия принимали непосредственное участие, а также были использованы материалы, разработанные следующими авторами:
Глава 1. Б. Берд. Глава 2. Марченко А. Глава 3. Б. Берд, Радыгин А, Кокошкин К., Чекашкин Ю.
Глава 4. Б. Берд, Радыгин А., специалисты группы мониторинга
Price Waterhouse.
Глава 5. Б. Берд.
Глава 6. Радыгин А., Алексеева Е., Чураева М., специалисты группы мониторинга Price Waterhouse.
Глава 7. Б. Берд. Глава 8. Марченко А.
Глава 9. Радыгин А., Олейник Л., Малова М., Глушецкий А. Глава 10. Радыгин А., Редькин И., Субботин Д. Глава II. Радыгин А., Марченко А. Глава 12. Кубасова Е., Теплухин П.
Глава 13. Радыгин А., Левенчук А., специалисты группы
мониторинга Price Waterhouse.
Глава 14. Марченко А.
Глава 15. Радыгин А., Алексеева Е., Чураева М., специалисты группы мониторинга Price Waterhouse.
Глава 16. Петренко Е. Глава 17. Петренко Е. Глава 18. Марченко А., Олейник Л., Алексеева Е.
Замечания и предложения по структуре и содержанию просим направлять по адресу: 121099 Москва, а/я 360.
Базовый курс по рынку ценных бумаг
1 Выпуск и обращение этих облигаций регулируется постановлениями Правительства РФ от 15 марта 1993 года ¹ 222 “Об утверждении условий выпуска внутреннего государственного валютного облигационного займа” и от 4 марта 1996 года ¹ 229 “О выпуске облигаций внутреннего государственного валютного займа”.
2 4 марта 1996 года вышло постановление Правительства РФ ¹ 229 “О выпуске облигаций внутреннего валютного займа”.
3 Определены постановлением Правительства РФ от 8.02.93 ¹ 107 “О выпуске государственных краткосрочных бескупонных облигаций” с изменениями, внесенными постановлением Правительства РФ от 17.07.94 ¹ 1105.















