182437 (596603), страница 2
Текст из файла (страница 2)
В условиях, когда внешняя торговля отсутствует, каждая страна может потреблять только те товары и только то их количество, которое она производит, а относительные цены этих товаров на внутреннем рынке определяются относительными издержками их производства. В нашем примере эти цены составят: 1 т зерна = 0,5 т сахара в Аргентине и 1 т зерна = 2,5 т сахара в Бразилии /26,с.179/.
Относительные цены на одни и те же товары в разных странах всегда различны (в результате различий в обеспеченности факторами производства, используемых технологиях, в квалификации рабочей силы и т.д.). Если эта разница превышает затраты на транспортировку товаров из страны в страну, то имеется возможность получать прибыль от внешней торговли. Так, в нашем примере производитель зерна в Аргентине при реализации его на внутреннем рынке может в обмен получить только 0,5 т сахара, а в Бразилии этот же товар стоит в 5 раз дороже (2,5 т сахара). Этот условный пример показывает, что после установления торговых отношений между странами направления внешнеторговых потоков будут определяться разницей в соотношениях издержек производства. Аргентине будет выгодно экспортировать зерно и импортировать сахар, а Бразилии будет выгодно экспортировать сахар и импортировать зерно.
Чтобы торговля была взаимовыгодной, цена какого-либо товара на внешнем рынке должна быть выше, чем внутренняя цена равновесия на тот же товар в стране-экспортере, и ниже, чем в стране-импортере. Для нашего примера мировая цена на зерно должна устанавливаться в пределах:
0,5 т сахара < 1 т зерна < 2,5 от сахара
Если цена на мировом рынке установится, например, на уровне 1 т сахара = 1 т зерна, то максимальные объемы потребления сахара и зерна уже будут определяться линиями торговых возможностей (пунктирные линии на рисунках 4 и 5). Наклон этих линий определяется соотношением цен на зерно и сахар на мировом рынке. Выгода, получаемая странами от внешней торговли, будет заключаться в приросте потребления, который может быть обусловлен двумя причинами:
а) изменением структуры потребления;
б) специализацией производства.
В первом случае специализации не происходит и сложившаяся в странах структура производства, определяемая прежде всего структурой спроса, остается неизменной. Пусть, например, структура Производства в Аргентине определяется точкой А на ее кривой производственных возможностей (см. рис. 4), а в Бразилии — точкой В (см. рис. 5). Продавая на внешнем рынке часть продукции, по которой она обладает преимуществом, страна в обмен может теперь получить гораздо больше другого товара. Изменяя таким образом структуру потребления, страна увеличивает его общий объем, выходя за пределы границы производственных возможностей (тонкая пунктирная линия, выходящая из точки А на рис. 4 и из точки В на рис. 5).
Таким образом, внешняя торговля - торговля одной страны с другими странами, составная часть внешнеэкономических связей. Подразделяется на экспорт (вывоз) и импорт (ввоз) товаров. Сумма экспорта и импорта образует внешнеторговый оборот. Внешняя торговля базируется на международном разделении труда. Совокупность внешнеторговых операций стран мира - международная торговля.
1.2 Теория международной торговли Хекшера – Олина и парадокс Леонтьева
В 20—30-е гг XX в. шведский экономист Эли Хекшер и его ученик Бертиль Олин сформулировали новую теорию международной торговли. По их мнению, межстрановые различия в относительных издержках, или в форме кривых производственных возможностей, объясняются главным образом тем, что, во-первых, в производстве различных товаров факторы используются в различных соотношениях и, во-вторых, неодинакова относительная обеспеченность стран факторами производства /35,с.12/.
Согласно теории Хекшера—Олина, страны будут стремиться экспортировать товары, требующие для своего производства значительных затрат факторов производства, которыми они располагают в относительном избытке, и небольших затрат дефицитных для них факторов, в обмен на товары, производимые с использованием факторов в обратной пропорции. Таким образом в скрытом виде экспортируются избыточные факторы и импортируются дефицитные факторы производства, т.е. передвижение товаров из страны в страну компенсирует низкую мобильность факторов производства в масштабах мирового хозяйства. Необходимо подчеркнуть, что речь здесь идет не о количестве имеющихся у стран факторов производства, а об относительной обеспеченности ими (например, о количестве пригодной для обработки земли, приходящейся на одного работающего). Если в данной стране какого-либо фактора производства относительно больше, чем в других странах, то цена на него будет относительно ниже. Следовательно, и относительная цена того продукта, в производстве которого этот дешевый фактор используется в большей степени, чем другие факторы, будет ниже, чем в других странах. Таким образом и возникают сравнительные преимущества, которые определяют направления внешней торговли.
Теория Хекшера—Олина успешно объясняет многие закономерности, наблюдаемые в международной торговле. Страны действительно вывозят преимущественно продукцию, в затратах на производство которой доминируют относительно избыточные у них ресурсы. Однако структура производственных ресурсов, которыми располагают промышленно развитые страны, постепенно выравнивается. Кроме того, на мировом рынке все больше возрастает доля торговли «подобными» товарами между «подобными» странами /35,с.14/.
Известный американский экономист Василий Леонтьев в середине 50-х гг. предпринял попытку эмпирической проверки основных выводов теории Хекшера—Олина и пришел к парадоксальным выводам. Использовав модель межотраслевого баланса «затраты - выпуск», построенную на основе данных по экономике США за 1947 г., В. Леонтьев показал, что в американском экспорте преобладали относительно более трудоемкие товары, а в импорте — капиталоемкие. Учитывая, что в первые послевоенные годы в США, в отличие от большинства их торговых партнеров, капитал был относительно избыточным фактором производства, а уровень заработной платы был значительно выше, этот эмпирически полученный результат явно противоречил тому, что предполагала теория Хекшера—Олина, и потому получил название «парадокс Леонтьева». Последующие исследования подтвердили наличие этого парадокса в послевоенный период не только для США, но и для других стран (Японии, Индии и др.).
Многочисленные попытки объяснить этот парадокс позволили развить и обогатить теорию Хекшера—Олина путем учета дополнительных обстоятельств, влияющих на международную специализацию, среди которых можно отметить следующие /24,с.217/:
— неоднородность факторов производства, прежде всего рабочей силы, которая может существенно различаться по уровню квалификации. С этой точки зрения в экспорте промышленно развитых стран может отражаться относительная избыточность высококвалифицированной рабочей силы и специалистов, в то время как развивающиеся страны экспортируют продукцию, требующую значительных затрат неквалифицированного труда.
— значительная роль природных ресурсов, которые обычно могут участвовать в производственных процессах только в ассоциации с большим количеством капитала (например, в отраслях добывающей промышленности). Это в определенной мере объясняет, почему экспорт из многих развивающихся стран, богатых природными ресурсами, является капиталоемким, хотя капитал в этих странах и не является относительно избыточным фактором производства.
— влияние на международную специализацию внешнеторговой политики, проводимой государством, которая может ограничивать импорт и стимулировать производство внутри страны и экспорт продукции тех отраслей, где интенсивно используются относительно дефицитные факторы производства.
Таким образом, порождаемое международной торговлей изменение структуры национального производства означает изменение и структуры спроса на факторы производства. Отрасли, которые начинают быстро развиваться, предъявляют спрос на дополнительные ресурсы, а отрасли, где объем производства сокращается, будут эти ресурсы высвобождать. В результате в краткосрочном периоде внешняя торговля обусловливает перераспределение доходов в зависимости от того, в какой отрасли занят данный фактор производства: растут доходы тех, кто связан с отраслями, ориентированными на экспорт, и падают доходы в отраслях, конкурирующих с импортом.
1.3 Определение мировых цен и объёмов торговли
Теория международной торговли, в частности теория сравнительных преимуществ, утверждает, что в результате развития внешнеторговых отношений все участвующие в них страны получают выигрыш в виде прироста общего благосостояния. Вместе с тем одним из ключевых является вопрос, как распределяется этот выигрыш. С одной стороны, очевидно, что он не может распределяться равномерно между странами, поскольку его размер зависит от того, на каком уровне установятся мировые цены. С другой стороны, выигрыш от внешней торговли, который получает страна в целом, распределяется внутри страны между потребителями и производителями, экспортерами и импортерами также не поровну. Наконец, следует иметь в виду, что в результате специализации происходят изменения в распределении ресурсов между отраслями и, следовательно, изменяются доходы владельцев факторов производства /24,с.218/.
Анализу всех этих последствий развития международной торговли и посвящена данная глава.
Распределение выигрыша от международной торговли как внутри страны, так и между странами в конечном итоге определяется тем, на каком уровне устанавливаются цены на те товары, которыми страны торгуют между собой, и каковы объемы торговли. Для того чтобы ответить на этот вопрос, недостаточно знать только потенциальные возможности предложения этих товаров на мировой рынок, которые можно объяснить с помощью теории сравнительных преимуществ или других теорий международной торговли, рассмотренных в предыдущей главе. Как уже было показано, даже если страна обладает сравнительным преимуществом в производстве какого-либо товара, это преимущество может быть реализовано лишь в том случае, если мировая цена на этот товар будет выше внутренней. Поскольку и уровень цены, и объем продаж на мировом рынке являются результатом установления равновесия между предложением и спросом, теория международной торговли должна быть дополнена анализом спроса.
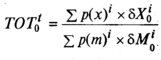
Для оценки того, насколько выгодна стране внешняя торговля, используется показатель «условия торговли» — соотношение экспортных цен рассматриваемой страны к ее импортным ценам, или Рх / Рm. В общем случае рост этого показателя (улучшение условий торговли) означает повышение благосостояния нации, а его падение (ухудшение условий торговли) свидетельствует о снижении благосостояния. В самом деле, если цены на экспортные товары данной страны на мировом рынке увеличиваются по сравнению с ценами на ту продукцию, которую она импортирует, это означает, что на единицу своего экспорта страна теперь может приобрести больше импортных товаров. Следовательно, страна получает больший выигрыш от внешней торговли /24,с.219/.
На практике показатель условий торговли рассчитывается для отдельных стран или групп стран на основе индексов цен для экспорта и импорта (обычно используется индекс Ласпейреса).
где:
р(х)i — отношение экспортной цены товарной группы i в году /к ее цене в базисном году 0;
р(m)i — отношение импортной цены товарной группы г в году /к ее цене в базисном году 0;
— доля экспорта товарной группы / в совокупном экспорте из данной страны в базовом году 0;
— доля импорта товарной группы / в совокупном импорте в данную страну в базовом году 0.
Изменение условий торговли служит одним из показателей, характеризующих изменение положения страны в мировой торговле. Сами условия торговли, в свою очередь, зависят от колебаний спроса как на мировом, так и на внутреннем рынках, от изменений в технологии и условиях производства, от степени монополизации рынков отдельных товаров и т.д.
Вместе с тем следует иметь в виду, что размер выигрыша, который получает страна от внешней торговли, зависит не только от цен, но и от физических объемов экспорта и импорта. Поэтому не всегда правомерно делать выводы об изменении благосостояния страны только на основании изменения индекса условий торговли. В частности, если снижение цен на экспортную продукцию обусловлено ростом эффективности ее производства, то при достаточно эластичном спросе на мировом рынке страна сможет увеличить физические объемы своего экспорта и получить больший выигрыш, хотя условия торговли для нее и ухудшились.
Следует, однако, обратить внимание на так называемую проблему разоряющего роста, когда расширение экспорта приводит к такому ухудшению условий торговли, что благосостояние нации снижается. Эта проблема, которую впервые проанализировал американский экономист Я. Бхагвати в 1958 г., может возникнуть, в частности, для многих развивающихся стран, в которых возможности экономического роста обусловлены расширением добычи и экспорта сырья. Поскольку спрос на сырье на мировом рынке часто характеризуется низкой эластичностью, быстрое наращивание физических объемов экспорта приводит к такому падению мировых цен на сырье, которое перекрывает положительный эффект от самого экономического роста. В этом случае экспорторасширяющий рост может стать для страны невыгодным.
В целом, рассмотрение рыночного равновесия с использованием модели «спрос-предложение» еще раз подтверждает вывод о том, что развитие международной торговли дает выигрыш всем странам. Однако если в стране-импортере этот чистый выигрыш возникает в результате того, что выгоды потребителей намного превосходят потери производителей продукции, конкурирующей с импортом, то в стране-экспортере, наоборот, общий прирост благосостояния обеспечивается за счет большого выигрыша производителей, хотя потребители несут потери. Этот вывод принципиально важен для объяснения причин государственного вмешательства в сферу внешней торговли /41,с.271/.
















