178045 (596248), страница 3
Текст из файла (страница 3)
2.1. Показники наявності та стану основних виробничих фондів підприємства
Показник наявності основних виробничих фондів: на балансі підприємства, знаходиться основних виробничих фондів на суму 6,20 млн.грн. Вартість ОВФ на кінець року визначається за формулою 2.1.1:
Бвк = Бвп + Бпв - Бвв (2.1.1)
де Бвк - балансова вартість ОВФ на кінець періоду,
Бвп - балансова вартість ОВФ на початок періоду,
Бпв - балансова вартість ОВФ, що поступили на підприємство,
Бвв - балансова вартість ОВФ, що вибули з підприємства.
Тоді, Бвк = 6,2 + 0,5 - 0,5 = 6,2 млн. грн.
Бвр = (Бвп + Бвк)/2, (2.1.2)
Бвр= (6,20+ 6,20)/2 = 6,20 млн. грн.
Показник технологічної структури основних виробничих фондів:
Активна частина: 82,26 %. Пасивна частина: 6,2-5,1=1,1 млн. грн. або пасивна частина – 17,74 %.
Так як активна частина основних виробничих фондів підприємства (82,26 %) значно перевищує пасивну (17,74 %) можна стверджувати, що дане підприємство промислового призначення. Технологічна структура основних виробничих фондів досить досконала, що забезпечує їх ефективне використання.
Кзн = (6,20 – 5,40) /6,20 = 0,13
Даний коефіцієнт свідчить про те, що основні засоби вже зносилися на 13%, тобто перенесли частку вартості на новостворену продукцію. Але, основні виробничі фонди повинні знаходитись ще в стані використання своєї повної потужності.
Коефіцієнт придатності:
Кпр = 1 – 0,13 = 0,87
Даний коефіцієнт свідчить про те, що залишкова балансова вартість основних виробничих фондів складає 87 % від первісної. На новостворену продукцію ще треба перенести вартість основних засобів на 87 %
2.2. Показники, що характеризують рух основних виробничих фондів підприємства:
Коефіцієнт вибуття: (2.2.1)
Кв = 0,50 : 6,10 = 0,081
Отже 8,1% основних виробничих фондів, що були на балансі підприємства, вибули внаслідок їх фізичного чи морального зносу, в результаті реалізації зайвих основних фондів або в результаті стихійного лиха.
Коефіцієнт надходження: (2.2.2)
Кн = 0,50 : 6,2 = 0,08
Проаналізувавши даний показник можна сказати, що в результаті господарської діяльності для заміни вибувших основних фондів та збільшення оснащеності підприємства основними фондами на баланс підприємства поступило 8 % (від загальної кількості) основних виробничих фондів.
Коефіцієнт оновлення: (2.2.3)
Кон = 0,45 : 6,2 = 0,073
Цей коефіцієнт показує, що частина модифікованого нового обладнання введеного в експлуатацію у звітному періоді від загальної вартості основних фондів, становить 7,3 %.
Період оновлення: (2.2.4)
Тон = 6,2 : 0,45 = 14 років
Період оновлення ОВФ складає 14 років.
Коефіцієнт інтенсивності оновлення:
Кіон = 0,073 : 0,081 = 0,9
За даними розрахунку видно, що інтенсивність оновлення основних фондів становить 0,90.
Тривалість обороту (2.2.6)
Тоб = 6,20 : ( 6,2 * 0,084) = 11,9
Отже, тривалість оброту ОВФ становить 11,9 роки.
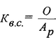
Коефіцієнт оборотності (2.2.7)
Коб = 6,20 * 0,084 : 6,20 = 0,084
Отже, у процесі виробництва буде відшкодовуватись 8,4% вартості ОВФ.
2.3. Показники, що характеризують забезпеченість підприємства основними виробничими фондами
Фондозабезпеність виробництва: (2.3.1)
Фо = 6,20 : 8,10 = 0,77
За результатами розрахунку можна стверджувати, що підприємство має в наявності 0,77 грн. основних виробничих фондів для виробництва одної гривні продукції. Необхідно збільшувати обсяг основних фондів підприємства.
Механозабезпеченість: (2.3.2)
Мз = 5,10 : 8,10 = 0,63
Таким чином на одиницю виробленої продукції припадає 0,63 активної частини основних фондів (станків, обладнання тощо).
2.4. Показники, що характеризують озброєність працівників основними виробничими фондами.
Фондоозброєність праці: (2.4.1)
Для того, щоб визначити фондоозброєність праці необхідно спочатку визначити середньоспискову чисельність робітників, що працюють в найбільш чисельну зміну. Визначимо скільки в загальному припадає робітників на одного працівника 310/400=0,775. Тоді робітників в першу зміну буде; 200*0,775=155.
Фп = 6200 : 155 = 40 тис. грн./чол.
Даний показник показує оснащеність працівників основними фондами.
Вданому випадку на одного працівника припадає 40 тис. грн. Зростання показника призведе до зростання кількості виготовленої продукції робітником, а тим самим буде підвищуватись продуктивність праці. Але ефективним виробництво буде вважатися за умов, що продуктивність праці буде рости швидше за фондоозброєність праці.
Механоозброєність праці (2.4.2)
Мн = 5100: 155 = 32,90
Даний показник показує скільки припадає активної частини основних виробничих фондів на одного робітника (в даному випадку - 32,90 тис. грн.).
Ефективність виробництва буде відбуватися за умов, що ріст механозабезпеченості буде забезпечувати зростання продуктивності праці, але темпами які випереджають зростання рівня механозабезпеченості.
2.5. Показники, що характеризують використання основних виробничих фондів підприємства в часі.
Коефіцієнт використання календарного часу:
Кк.ч = 156 : 365 = 0,43
За отриманими результатами можна стверджувати, що основні виробничі фонди використовуються на 43% календарного часу протягом року, що на 25-30% менше стандарту, тому необхідно запровадити заходи підвищення даного показника. При цьому треба враховувати неробочі дні (вихідні та святкові дні), а також простої основних фондів пов'язані з їх ремонтом, у зв'язку з природними явищами, у зв'язку із сезонністю робіт та з інших об'єктивних причин.
Коефіцієнт використання робочого часу: (2.5.2)
Кр. ч. = 156 : 217 = 0,72
Даний показник показує ступінь використання робочого часу на протязі року, на даному підприємстві він складає 0,72 ефективне використання основних виробничих фондів забезпечується при коефіцієнті використання робочого часу 0,75 - 0,80. Отже, дії підприємства не знаходяться в межах цього показника.
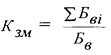
Коефіцієнт змінності: (2.5.3)
Кзм = (5,80 + 2,40 + 1,80) / 6,20 = 1,61
Цей показник характеризує кількість змін роботи основних виробничих фондів в добу. На даному підприємстві він складає 1,61 зміни протягом доби. При підвищенні цього показника підвищується використання основних фондів протягом доби.
Коефіцієнт використання внутрізмінного часу: ( 2.5.4)
Кв.зм. = (8 – 1,7) / 8 = 0,79
де 0,79 год. - внутрізмінні витрати робочого часу.
Цей показник характеризує ступінь використання робочого часу на протязі зміни, який на даному підприємстві становить 0,79. Можна стверджувати, що ефективність використання основних фондів в даних умовах забезпечується.
Інтегральний коефіцієнт використання часу:
Кін = 0,43 *0,72 *0,79 *1,61 = 0,39
Даний показник (0,39) показує що ступінь використання основних виробничих фондів в часі невисокий. Забезпечується певна ефективність використання основних виробничих фондів в часі.
2.6. Узагальнюючі показники
Фондовіддача - усього обсягу основних виробничих фондів підприємства: (2.6.1)
Фв = 8,10 : 5,10 = 1,59
Фондовіддача 1,59 означає, що 1,59 грн. виготовленої продукції припадає на одну гривню основних фондів. Але даний показник має значні недоліки, бо він враховує матеріалоємність продукції. Таким чином чим вище буде вартість матеріалів та сировини, з яких виготовляється продукція, тим вище буде обсяг виробництва і тим самим вище фондовіддача.
Фондовіддача - по активній частині основних виробничих фондів: (2.6.2)
Фв.а. = 8,10 : 5,10 = 1,59 грн./грн.
Даний показник показує, що 1,59 грн. виготовленої продукції припадає на одну гривню активної частини основних виробничих фондів (верстатів, обладнання екскаваторів, бульдозерів, транспортних засобів тощо). Даний показник має недоліки попереднього показника.
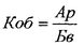
Коефіцієнт віддачі спожитих основних виробничих фондів: (2.6.3)
Для того щоб визначити коефіцієнт віддачі спожитих основних виробничих фондів необхідно спочатку визначити суму річних амортизаційних відрахувань.
а = 8,4
Звідси Ар = 6,20 млн. грн. • 0,084 = 0,52 млн. грн.
Тоді Кв.с. = 8,10: 0,52 = 15,58 грн./грн.
За результатами обрахунку можна сказати, що на 15,58 одиниць виготовленої продукції припадає одна одиниця зносу основних фондів.
Коефіцієнт фондозйому: (2.6.5)
Кфз = 8,10 : (6,70 * 0,176) = 6,87
Отже, розрахований показник характеризує обсяг продукції яку отримують на одиницю витрат з експлуатації основних виробничих фондів. Коефіцієнт фондозйому становить 6,87
Розділ 3. Заходи щодо підвищення ефективності використання основних виробничих фондів підприємства в часі















