174698 (596019), страница 8
Текст из файла (страница 8)
БД обеспечивает поддержку стандартных выводных устройств и дисковых носителей, совместимых с ОС Windows 95.
Скорость работы БД, как и других программных продуктов, в значительной степени зависит от используемого оборудования. Как показала практика, использование компьютера на базе процессора Pentium 100 вполне достаточно для работы в реальном времени.
2.6 АППАРАТНОЕ ОБЕСПЕЧЕНИЕ АРМ ’ВАЛЮТНЫЙ КАССИР’
Современные автоматизированные банковские системы имеют состав аппаратных средств, в которую входят:
-средства вычислительной техники;
-средства телекоммуникации и связи;
-оборудование ЛВС;
-оборудование, автоматизирующее различные банковские услуги: автоматы – кассиры, терминалы торговой системы, пластиковые карты;
-средства, автоматизирующие работу с денежной наличностью.
Возможности создаваемых в рамках АБС автоматизированных рабочих мест различного уровня в значительной степени зависят от состава технических средств, их архитектуры и функциональных характеристик. Поэтому на стадии проектирования АРМ формируются требования к определенным параметрам технических средств хранения, обработки и выдачи информации, набору функциональных устройств, интерфейсам и т.д.
К особенностям АРМ ’Валютный кассир’, которые должны учитываться при его техническом оснащении, относятся следующие факторы:
-работа в реальном времени;
-ежедневная настройка системы по ряду параметров;
-работа с документами строгой отчетности, в том числе распечатка в соответствующих местах нужных данных;
-работа с наличными денежными средствами;
-сравнительно небольшой объем обрабатываемой информации.
На основе вышеизложенного можно предложить следующий состав аппаратных средств:
-IBM совместимый персональный компьютер на базе микропроцессора Pentium с тактовой частотой 100‑130 Мгц;
-объем оперативной памяти 16 МБ;
-накопитель на жестком магнитном диске, емкостью не менее 1.0 Мб;
-струйный или лазерный принтер;
-блок бесперебойного питания;
-устройства приема / передачи данных на сервер на основе модема;
-детектор валют;
-счетчик купюр.
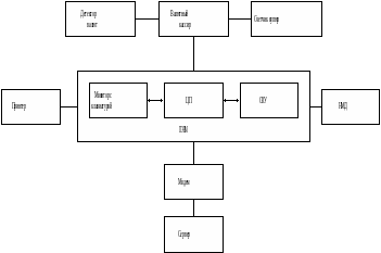
Рис.2.2 ’Блок‑схема технической базы АРМ ’Валютный кассир’
Блок схема технической базы АРМ ’Валютный кассир’ приведена на рисунке 2.2.
2.7 ТЕХНОЛОГИЯ РАБОТЫ АРМ ’ВАЛЮТНЫЙ КАССИР’
2.7.1 ГЛАВНОЕ МЕНЮ И НАСТРОЙКА СИСТЕМЫ
При входе в автоматизированную систему на экран выводится установочное подменю ’Начало’, с помощью которого производится настройка на данный операционный день рабочей программы обменного пункта.
В процессе настройки необходимо провести следующие операции:
-ввод новых курсов валют;
-указание фамилии, имя, отчества кассира, ввод номеров обменных пунктов, установка режима работы;
-фиксация выданного аванса;
-фиксация количества выданных справок строгой отчетности с указанием их серий и номеров.
После окончания настройки на конкретный обменный пункт, оператор получает доступ к главному меню, в котором указаны возможные режимы работы автоматизированной системы. В полном виде оно выглядит следующим образом:
-начало;
-обмен;
-справочники;
-отчеты.
Подменю ’Обмен’ используется кассиром при проведении операций купли/продажи иностранной валюты.
Раздел ’Справочники’ включает следующую информацию:
-таблица кодов ценностей;
-таблица кодов валют;
-список обменных пунктов филиала Уникомбанка;
-список кассиров (операторов).
Подменю ’Отчеты’ позволяет производить оформление отчетных документов по результатам рабочего дня обменного пункта.
Рассмотрим подробнее работу автоматизированной системы.
При настройке на новый рабочий день в нее должна быть введена следующая информация:
-ввод нового курса валют, эту возможность обеспечивает соответствующее подменю. При этом если курс по какой‑либо валюте не изменился с предыдущего дня, его не требуется вводить / корректировать. Курсы покупки /продажи необходимо вводить в течение дня сразу после получения распоряжения из отдела внешнеэкономической деятельности Уникомбанка об изменение курса по соответствующим валютам, иначе реестры будут сформированы неверно. Курсы ЦБ вводятся один раз в день. Их можно ввести непосредственно перед формированием отчетной документации, т.к. эти курсы используются только в качестве справочной информации в заголовках.
Редактирование, в данном случае, ‑ это внесение дополнительных видов и курсов или их удаление, производится подведением курсора к нужной строке и нажатием клавишей мышки на соответствующую пиктограмму (’+’ или ’‑’) в верхней панели управления. Следующая информация, необходимая кассиру для работы это:
-аванс, ‑ выданный в иностранной валюте и рублях (причем в рублях в новой и старой нарицательных стоимостях), данные заносятся и хранятся в подменю ’выдано аванса всего’;
-аванс выданных справок строгой отчетности форма № 0406007. Данные находятся в подменю ’справки строгой отчетности’. Кассиром заносятся в таблицу серия и № первой и последней справки в пачке.
Для того, чтобы окончательно подготовить систему к работе кассир должен выбрать подменю ’Определение кассира, обменного пункта, и режима работы’ и произвести необходимые изменения. Из списка кассиров выбирается нужная фамилия работника, из перечня обменных пунктов выбирается номер необходимый номер и затем определяется режим работы: утро или вечер (если обменный пункт функционирует 24 часа в сутки, то рабочий день делится на две части: до 15.00 часов соответствует режим ’Утро’, после 15.00 – режим ’Вечер’). Заполнение этого подменю возможно непосредственно перед формированием отчетной документации за день, так как эти данные используются в качестве справочной информации в заголовках.
Редактирование вышеперечисленных подменю производится подведением курсора и нажатием клавишей мышки на соответствующую пиктограмму (’+’ или ’‑’) в верхней панели управления.
После настройки системы можно начинать обслуживание клиентов (продавцов / покупателей валюты)
Текущая дата устанавливается один раз при обслуживание первого клиента.
2.7.2 ОТЛАДКА ПРОГРАММЫ
Язык Pascal, è îñîáåííî åãî расширение Object Pascal, задают определенные правила написания программ, минимизирующие возможность возникновения ошибок (соответствие типов данных, различные способы передачи параметров от одной части программы к другой, сравнительно простая для чтения структура программы, èñïîëüçîâàíèå áîëüøîãî êîëè÷åñòâà óæå îòëàæåííûõ è îïðîáîâàííûõ стандартных подпрограмм). Среда Delphi существенно дополняет эти возможности автоматическим заданием исходных заголовков различных частей программы, широким применением стандартны объектов. В связи с использованием визуального программирования она практически полностью исключает ошибки, связанные с размещением на экране отображаемых компонентов программы.
Тем не менее, хотя Delphi использует визуальное программирование, и сам язык Object Pascal с введенными в него специальными средствами уменьшают вероятность ошибки в программе, полностью их все‑таки не устраняет, поэтому этап отладки остается непременным этапом создания программы.
Ошибки в программе можно разделить на три категории:
-синтаксические, возникающие в результате нарушения правил языка;
-семантические, связанные с недопустимыми значениями параметров;
-логические, связанные с неправильной логикой программы.
Семантические и логические ошибки, в отличии от синтаксических, выявить намного труднее, и для их выявления служат средства интегрированного отладчика Delphi, которые позволяют проще локализовать эти ошибки.
С помощью интегрированного отладчика можно выполнять следующие отладочные операции:
-запускать программу;
-получать значения любых параметров программы;
-модифицировать значения программы;
-останавливать выполнение программы в той или иной ее точке;
-осуществлять трассировку программы (выполнение программы по шагам).
Для запуска программы используется команда главного меню Run/Run (F9). Если перед запуском программы были изменены какие-то файлы проекта, предварительно осуществляется перекомпиляция соответствующих файлов. Если в программе не установлено никаких точек останова и ее выполнение не будет прервано командой, программа отработает до конца. Запущенную программу можно остановить в любой момент командой главного меню Run/Program Pause.
Чтобы временно остановить вычислительный процесс в программе, можно задать точки останова – отмеченные в тексте места программы, при достижение которых она приостанавливает работу. Остановиться можно в любом месте программы, соответствующем исполняемым операторам. Минимальный шаг таких остановок – одна строка текста, поэтому не целесообразно в тесте программы писать на одной строке несколько операторов. Чтобы задать точку останова в программе, можно воспользоваться следующими приемами: поместить курсор мыши в начало строки, где надо задать точку останова, и нажать левую клавишу; поместить курсор текстового редактора в требуемую строку, вызвать локальное меню редактора и выбрать команду Toggle Breakpoint (F5) – переключить точку останова. Таким образом, задаются безусловные точки останова, для которых остановка выполнения программы будет происходить в случае, если компьютером выполняется первая команда, соответствующая строке текста с точкой останова. Помимо безусловных точек останова можно использовать и так называемые условные точки останова, для которых помимо указанной выше информации задаются также условия останова и (или) число проходов до останова.
Интегрированный отладчик предполагает возможность пошагового выполнения программы (трассировки), когда программа выполняется построчно с остановом после операторов каждой очередной строки текста программы, содержащей исполняемые операторы. Трассировка возможна тремя способами: с заходом в выполняемые программы, без захода в них и до ближайшего исполняемого оператора. При трассировке программы возможно сочетать все эти три варианта. В начале отладки, когда подпрограммы еще не отлажены, следует в них заходить, т.е. использовать трассировку с заходом в подпрограммы. Когда же подпрограммы будут полностью отлажены, контроль выполнения ими своих операций можно пропускать.
Для проведения тщательной отладки и устранения выявленных ошибок следует подготовить программу к практическому использованию, сделав более эффективной с точки зрения быстродействия и объема занимаемой памяти. Как правило, когда оптимизируется программа по быстродействию, увеличивается ее оборот и наоборот. Однако имеются приемы, когда можно улучшить сразу эти две характеристики или хотя бы не в ущерб другой (или с минимальным ущербом).
Прежде всего, следует устранить отладочную информацию, помещенную в программу на первом этапе ее создания. Далее следует устранить информацию, контролирующую ряд ошибок времени выполнения. Что касается проверки операций ввода / вывода, то, как правило, нельзя гарантировать, что даже в отлаженной программе не возникнет во время операции такая ошибка, т.к. она зависит не только от самой программы, но и от ее окружения. Поэтому контроль ввода / вывода следует оставить и отключать в программе только по мере необходимости.
Так как программу ’Валютная касса’ придется использовать достаточно часто, то целесообразно было сделать доступ к ней по возможности легким. С этой целью программе был присвоен ярлык (Shortcut) – особый вид пиктограммы, который можно поместить в рабочей области Windows 95.
Программа ’Валютная касса’ была тщательно отлажена, однако даже после тщательной отладки практически не возможно гарантировать, что все ошибки устранены. Надо быть всегда готовым к тому, что при каком-то особом стечение обстоятельств ошибки все таки могут появиться. Очень хорошо, если удастся точно зафиксировать эти обстоятельства, т.к. они позволят выявить и причину возникновения таких ошибок.
Текст программы дан в приложении 3.
2.7.3 АВТОМАТИЗИРОВАННАЯ ТЕХНОЛОГИЯ РАБОТЫ
С КЛИЕНТАМИ
Дальнейшая работа работа кассира происходит следующим образом: из перечня производимых обменным пунктом операций выбирается нужная клиенту; номер и серия справки строгой отчетности для каждого клиента автоматически появляется на экране ( в соответствии с данными, введенными в подменю ’Справки строгой отчетности’ при подготовке системы к работе). В строку ’Выдано’ вносится фамилия, имя, отчество клиента. В строку ’Предъявлен’ из предлагаемого списка выбирается нужный документ, удостоверяющий лич ность клиента (это может быть паспорт РФ, загранпаспорт, военный билет и другие удостоверения. Серия и номер документа могут быть заполнены или нет по желанию кассира. В левом верхнем углу экрана есть запись ’Резидент: да, нет’. Ввод информации о том, с резидентом или нет проводится операция, требуется для точного оформления отчетной документации, т.е. для составления реестра проведенных операций
















