151332 (594683), страница 4
Текст из файла (страница 4)
Испытательное напряжение в этих испытаниях согласно ГОСТ 11828-75 выдерживают в течение 1 мин, подъем напряжения производят не менее чем тремя ступенями, начиная с половинного испытательного напряжения. На каждой из ступеней измеряют ток утечки при установившихся показаниях приборов. После испытания измеряют сопротивления изоляции мегаомметром.
Испытание междувитковой изоляции катушечной обмотки статора проводят напряжением, равным 150% номинального, в течение 5 мин, стержневой обмотки - в течение 1 мин.
Характеристика холостого хода представляет собой зависимость напряжения обмотки статора от тока возбуждения при номинальной частоте вращения. Рекомендуется производить измерение напряжения приборами классом точности не ниже 0,5, при этом могут быть использованы эксплуатационные трансформаторы напряжения. Измерение тока возбуждения можно производить также приборами класса точности 0,5 с применением шунтов класса 0,1 или 0,2. Во время определения характеристики контролируют частоту вращения гидрогенератора.
Предварительно напряжение машины увеличивают до 130% номинального. Характеристику снимают при плавном уменьшении тока возбуждения до нуля. При токе возбуждения, равном нулю, определяют остаточное напряжение.
У генераторов, работающих в блоке с трансформатором, снимается также характеристика холостого хода блока.
Одновременно со снятием характеристики холостого хода определяется симметрия напряжения, которая находится по отношению разности наибольшего и наименьшего измеренных линейных напряжений к среднему его значению.
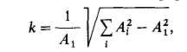
Коэффициент искажения синусоидальности кривой напряжения находят по амплитудам отдельных гармонических составляющих кривой напряжения, определенным при номинальном напряжении при холостом ходе генератора. Амплитуды гармонических составляющих измеряют, как правило, с помощью анализатора гармонических составляющих. При известных амплитудах коэффициент искажения находят по формуле
где А1, А i - амплитуды первой и i-й гармонических.
Характеристика установившегося короткого замыкания представляет собой зависимость тока в обмотке статора от тока возбуждения генератора при трехфазном коротком замыкании. При снятии характеристики измеряют токи в каждой фазе обмотки статора и ток возбуждения. Снятие характеристики производят при плавном подъеме тока статора до номинального значения. Для генераторов, работающих в блоке с трансформатором, характеристику короткого замыкания снимают для замкнутого накоротко трансформатора. [7, с. 212]
При приемо-сдаточных испытаниях, как правило, определяют лишь основные параметры: отношение короткого замыкания (ОКЗ), реактивность Потье, синхронное индуктивное сопротивление, сверхпереходные индуктивные сопротивления и, переходное индуктивное сопротивление индуктивное сопротивление обратного следования фаз, постоянную времени при разомкнутой Tj0 и замкнутой накоротко обмотках статора.
По нормам МЭК машина считается выдержавшей испытания на внезапное короткое замыкание, если она может быть включена в сеть сразу же после испытания или после незначительного ремонта обмотки статора. Перед включением в сеть обмотка статора должна быть испытана на электрическую прочность напряжением, равным 80% испытательного напряжения, предусмотренного для новой машины. Незначительным считается ремонт крепления обмотки или внешних слоев изоляции, не связанный с заменой стержней.
На месте установки все турбо-, гидрогенераторы и крупные синхронные машины подвергаются приемо-сдаточным испытаниям, которые включают кроме приемо-сдаточных испытаний на стенде завода-изготовителя дополнительно испытания на нагрев; измерение вибраций подшипников; проверку работы газомасляной системы водородного охлаждения и определение утечки водорода (для машин с водородным охлаждением); проверку работы системы жидкостного охлаждения (для машин с жидкостным охлаждением). [7, с. 213]
На месте установки проводят также испытания гидрогенераторов и других синхронных машин большого габарита, испытания которых на стенде завода-изготовителя или не представляются возможными, или требуют больших затрат на их проведение.
Испытание на нагревание. В гидрогенераторах измерение температуры обмотки статора и активной стали производят с помощью термометров сопротивления. Температуру обмотки определяют по показаниям термометра сопротивления, заложенного между стержнями (сторонами катушек) обмотки статора. Температуру активной стали определяют по показаниям термометров сопротивления, заложенных на дно паза. Согласно требованиям ГОСТ 5616-81Е для измерения температуры обмотки в гидрогенераторах мощностью свыше 10 MB А должно устанавливаться 12 термометров сопротивления при одной или двух параллельных ветвях обмотки и по два термометра на каждую параллельную ветвь при числе ветвей более двух. Для измерения температуры сердечника статора должно устанавливаться не менее шести термометров на гидрогенератор. Для генераторов с водяным охлаждением обмотки статора должны устанавливаться термометры (или другие температурные индикаторы) в конце каждой параллельной цепи системы охлаждения.
Для измерения температуры воздуха на выходе из каждой секции воздухоохладителя устанавливают по одному термометру, а в зоне горячего воздуха - два термометра на генератор.
В соответствии с ГОСТ 5616-8IE в гидрогенераторах с помощью термометров также измеряют температуру сегментов подпятников и подшипников (устанавливают по два термометра на каждый сегмент) и температуру масла в ванне подпятника и каждого подшипника (по данным показаний двух термометров).
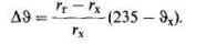
Определение температуры обмотки возбуждения производят по данным измерения сопротивления обмотки в нагретом и холодном состояниях. Если rr, rх - сопротивления обмоток в нагретом и холодном состояниях, а
- температура обмотки в практически холодном состоянии, то превышение температуры обмотки возбуждения
Определение температуры активных и конструктивных элементов гидрогенераторов производят как методом непосредственной нагрузки, так и по данным испытаний в косвенных режимах.
При испытании методом непосредственной нагрузки определение превышений температуры обмоток и стали производят при трех-четырех различных нагрузках (от 0,6 номинальной и выше). По данным испытаний строят зависимости превышения температур от квадрата тока статора, а с их помощью уточняют (или определяют) превышения температур при номинальной мощности. [7, с. 214]
Превышение температуры обмотки статора по данным измерений превышения температуры обмотки в косвенных режимах определяют в виде
где
- превышение температуры в режиме короткого замыкания (обусловлено основными и добавочными потерями в обмотке, а также механическими потерями);
- превышение температуры в режиме холостого хода (обусловлено потерями в стали и механическими)
- превышение температуры в режиме холостого хода без возбуждения.
Определение номинального тока возбуждения. Номинальный ток возбуждения определяют методом непосредственной нагрузки или методом графического построения. В последнем случае номинальный ток возбуждения находят по характеристикам холостого хода, короткого замыкания и реактивности Потье хр (рис. 10). Из характеристики холостого хода с учетом хр находят ток Ів, из характеристики короткого замыкания - составляющую тока возбуждения І к, з и по этим величинам - номинальный ток возбуждения І в, ном
Определение КПД гидрогенератора. Для экспериментального определения КПД гидрогенератора используют метод отдельных потерь, который предусматривает два способа измерения потерь - калориметрический и самоторможения. Предпочтительным является метод самоторможения. [7, с. 214]
Калориметрическим способом определяют потери механические, в стали, а также добавочные. С этой целью последовательно проводят опыты холостого хода без возбуждения, холостого хода с возбуждением до номинального напряжения и установившегося симметричного короткого замыкания с номинальным током в обмотке статора. Потери в каждом опыте определяют по количеству тепла, отводимого охлаждающей средой (или охлаждающими средами, если различные части машины охлаждаются различными охлаждающими средами), при установившемся тепловом состоянии машины по формуле
(9)
где Vc - объемный расход охлаждающей среды, м3/с; Сv - объемная теплоемкость охлаждающей среды, кДж/м3;
- температура охлаждающей среды на входе в машину и выходе из нее.
Для определения потерь испытуемый гидрогенератор приводится во вращение с номинальной частотой вращения в режиме незагруженного двигателя от другого гидрогенератора.
Рис. 10. К определению номинального тока возбуждения
Для определения потерь способом самоторможения частота вращения испытуемого гидрогенератора доводится до значения, несколько превышающего номинальное, после чего источник энергии отключается. При этом проводят три опыта: самоторможение без возбуждения; при холостом ходе и номинальном напряжении; в режиме симметричного короткого замыкания на выводах машины и номинальном токе в обмотке статора.
Из опыта самоторможения при осушенной полости турбины определяют механические потери всего агрегата. Суммарные механические потери в генераторе находят путем вычитания потерь на трение вращающихся частей турбины о воздух, которые рассчитывают по эмпирическим формулам. Потери в подпятнике и подшипниках либо принимают равными расчетным, либо измеряют калориметрическим способом.
В соответствии с требованиями ГОСТ 10169-77 каждый опыт проводится не менее 3 раз. Во всех опытах определяется время, в течение которого частота вращения машины изменится от 1,1 до 0,9 номинальной. Отсчеты по приборам, измеряющим электрические величины, производятся в момент прохождения испытуемой машиной синхронной скорости.
Для синхронных машин по требованиям действующих стандартов измеряется вибрация подшипников машин. Измерение вибрации (виброперемещений или эффективного значения вибрационной скорости) производят на верхних крышках подшипников в вертикальном направлении и у разъема в поперечном и осевом направлениях,
Для турбогенераторов эффективное значение вибрационной скорости не должно превышать 4,5 мм/с во всех режимах работы.
В гидрогенераторах вибрацию измеряют в горизонтальной плоскости крестовин. Согласно ГОСТ 5616-81Е до частоты вращения 100 об/мин допустимая вибрация составляет 180 мкм, свыше 100 до 187,5 об/мин - 150 мкм, до 375 об/мин - 100 мкм, до 750 об/мин - 70 мкм.
Вибрация контактных колец в турбогенераторах не должна быть больше 200 мкм. Для машин с водородным охлаждением производят определение утечки водорода. Испытание производят на опрессованных машинах и машинах, испытанных на газоплотность в неподвижном состоянии после сборки на месте испытания. Определение утечки должно выполняться при рабочем давлении газа внутри машины и при вращении с номинальной частотой вращения на холостом ходу без возбуждения.
Измерение сопротивления изоляции подшипников проводят при температуре окружающей среды мегаомметром на напряжение не менее 1000 В. [7, с. 214]. Измерение электрического напряжения между концами вала осуществляют на работающей машине с помощью вольтметра с малым внутренним сопротивлением, при этом прибор присоединяют непосредственно к концам вала.
3.2. Ремонт синхронных двигателей
В соответствии с Правилами технической эксплуатации в системе планово предупредительных ремонтов электрооборудования предусмотрено два вида ремонтов: текущий и капитальный.
Текущий ремонт производится с периодичностью, установленной с учетом местных условий, для всех электродвигателей, находящихся в эксплуатации, в том числе в холодном или горячем резерве (подробное разъяснение см. главу 4). Текущий ремонт является основным видом профилактического ремонта, поддерживающим на заданном уровне безотказность и долговечность электродвигателей. Этот ремонт производят без демонтажа двигателя и без полной его разборки.
Капитальный ремонт. Периодичность капитальных ремонтов электродвигателей Правилами технической эксплуатации не устанавливается. Она определяется лицом, ответственным за электрохозяйство предприятия на основании оценок общей продолжительности работы электродвигателей и местных условий их эксплуатации. Капитальный ремонт, как правило, производят в условиях специализированного электроремонтного цеха (ЭРЦ) или специализированного ремонтного предприятия (СРП). В объем работ при капитальном ремонте входят работы, предусмотренные текущим ремонтом, а также работы.
Разборка электродвигателя производится в порядке, обусловленном особенностями конструкции электродвигателей. Последовательность разборки электродвигателей малой и средней мощности, имеющих подшипниковые щиты с подшипниками качения или скольжения. [6, с. 500]
Сборка электродвигателей после ремонта. Подшипники качения напрессовывают на вал ротора. Шариковые подшипники устанавливают целиком. У роликовых подшипников на вал насаждают внутреннее кольцо с телами качения. Внешнее кольцо устанавливают отдельно в подшипниковый щит. Внешнее кольцо устанавливают в посадочное гнездо подшипникового щита с подвижной посадкой (скользящей или движения). Перед сборкой посадочные поверхности протирают и смазывают. Внутренние крышки подшипников устанавливают на вал до посадки подшипников. Подшипники небольших размеров насаживают на вал в холодном состоянии. Для посадки используют монтажную трубу, передающую ударные усилия запрессовки только на внутреннее кольцо подшипника. Для лучшего центрирования ударного усиления трубу снабжают медным кольцом и сферическим оголовком. Внутреннее кольцо подшипника должно плотно прилегать к заплечнику вала. Наружное кольцо должно легко вращаться вручную. Неразъемные вкладыши подшипников скольжения запрессовываются в посадочные гнезда подшипниковых щитов и фиксируются стопорным винтом.
Следует заметить, что у подшипников типа 180000 (закрытых), применяемых в электродвигателях серии 4А, консервационную смазку удаляют обтирочным материалом, смоченным в ацетоне. Установить на вал внутреннюю крышку подшипника, смазать посадочное место на валу машинным или дизельным маслом и молотком с наставкой напрессовать подшипник на вал ротора. Перед напрессовкой подшипник нагреть, заполнить полость подшипника смазкой и заложить оставшуюся смазку в камеры подшипников. Полости подшипников электродвигателей серии 4А с высотами вращения 112-280 мм заполняют смазкой ЛДС-2, серии 4А с высотами вращения 56-100 мм - смазкой ЦИАТИМ-221, а остальных электродвигателей - смазкой 1-13. [6, с. 500]
















