150561 (594558), страница 2
Текст из файла (страница 2)
Влияние способа подачи газа (аргона) в сопло, геометрия сопла и катода на эффективный КПД нагрева и коэффициент сосредоточенности плазменной дуги
Геометрия сопла
по сечению сопла. При использовании сопла с фокусирующим газом коэффициент сосредоточенности увеличивается. От степени обжатия столба дуги зависят энергетические характеристики плазмотронов (напряжение дуги, эффективная тепловая мощность, концентрации теплового потока и др.), [26,27]Так сжатие дуги, горящей в аргоне при силе тока 150-200Д-А (за счет изменения диаметра сопла и его положения по длине вольфрамового катод а), привело к увеличению напряжения дуги и напряженности электрического поля в столбе дуги, рис,2.2.
Рис.2.2. Распределение теплового потока дуги g( r) по радиусу пятна нагрева малоамперной дуги в зависимости от степени сжатия [ 26]. 1-свободно горящая электрическая дуга;
2- незначительно сжатая электрическая дуга; 3- сжатая электрическая дуга
Исследования, проведенные Новокрещеновым М.М., Рыбаковым Ю.В., Бадьяновым Б.Н., Давыдовым В.А. показали, что на коэффициент сосредоточенности аргоновой плазменной дуги оказывают влияние добавки WF6, SF6, SiCl4, CCl4 и других газов. Так небольшая добавка (0,02-0,5 %) ВР3 к аргону при одинаковых начальных условиях увеличивает эффективный КПД нагрева в среднем на 10-15 %, табл.2.2.
Влияние добавок галогенидов к плазмообразующеьу газу на коэффициент сосредоточенности и эффективный КПД нагрева.
Табл.2.2.
| Плазмообразующий газ | Эффективный КПД нагрева, % | Коэффициент сосредоточенности, см2 |
| Ar Ar + BF3 Ar + CCl4 Ar + WF6 | 60 68 66 70 | 11,6 14,5 13,8 15,2 |
Увеличение коэффициента сосредоточенности объясняется деионизирующим воздействием галогенов в периферийной области столба дуги, что приводит к уменьшению сечения области проводимости и к повышению температуры.
Известно положительное влияние галогенов на увеличение глубины проплавления при аргоно-дуговой сварке, что также связывается с эффектом контрагирования столба сварочной дуги. Проведенные автором эксперименты показали, что при плазменном поверхностном упрочнении в режиме дуги через слой галогенида, глубина уточненного слоя стали 45 увеличивается в 1,2-2,5 раза. Эффект увеличения глубины упрочнения тем выше, чем больше атомов галогена содержит флюсэ а также выше потенциал ионизации металла, входящего в соединение с галогеном, Галогены, увеличивающие глубину упрочненного слоя можно расположить в следующем порядке: фтор,->бром,->хлорэ->йод. Нанесение галогенов на поверхность металла связано с определенными трудностями, что ограничивает применение этого эффекта на практике.
При использовании импульсной плазменной струи старость нагрева поверхности металла при длительности теплового импульса в пределах 100 мкс, достигает 107 ºС\с, а скорость охлаждения 106 º С\с. При сокращении длительности импульса до 10 мкс, скорость нагрева и охлаждения увеличивается на порядок. Распределение теплового потока импульсной струи описывается кривой нормального распределения , а коэффициент сосредоточенности имеет несколько большее значение [8]
(2.11)
По концентрации теплового потока в пятне нагрева импульсные плазменные струи приближаются к электронному лучу и намного превосходят стационарные плазменные струи. Тепловые процессы при плазменном поверхностном упрочнении наиболее просто можно вычислить по известным аналитическим выражениям [7], которые представляют собой решение дифференциальных уравнений теплопроводности в линейной постановке при линейных граничных условиях.
Уравнение процесса распространения тепла в массивном полубесконечном теле от мощного быстродвижущегося нормально-распределенного источника нагрева, каким является плазменная струя, имеет вид [7,9]
(2.12)
гдеТ - температура нагрева;
у,z - ширина и глубина пятна нагрева;
t - время;
То - температура тела;
g - эффективная мощность плазменной струи;
λ,α - коэффициенты теплопроводности,температуропроводности;
υ - скорость перемещения источников.
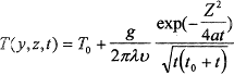
Мгновенная скорость охлаждения:
(2.13)
W = dT / dt
Уравнение распространения тепла для случая упрочнения плазменной дугой для точек, расположенных под центром анодного пятна, при скорости перемещения υ<3бм\ч имеет вид [10]
(2.14)
r - радиус анодного пятна;
ξ - координата (глубина).
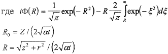
Расчет по уравнению (2.12 – 2.14) показывает, что температура нагрева материала регулируется в интервале от начальной температуры до температуры плавления, скорость охлаждения от 104 до 106 º С\с.
При действии на поверхность полубесконечного тела теплового источника движущегося вдоль оси X, следует различать медленнодвижущийея, быстродвижу-щийся и импульсный источники тепла. Первый случай имеет место тогда, когда теплонасыщение успевает произойти раньше, чем пятно нагрева пройдет расстояние, равное радиусу пятна нагрева. При этом максимальная температура нагрева материала находится в центре пятна нагрева. По мере увеличения скорости перемещения теплового источника максимум температуры сдвигается к краю нагрева, в сторону, противоположную направлению перемещения теплового источника. Если тепловой источник движется с постоянной скоростью, то через определенный промежуток времени температурное поле вокруг движущегося источника стабилизируется. При упрочнении импульсной плазменной струей, время распространения теплового потока соизмеримо со временем воздействия плазменной струи на материал. В реальных условиях после прекращения действия теплового источника происходит выравнивание температуры. При этом в начальный момент времени, после прекращения действия происходит продвижение изотермы с фиксированной температурой в глубь материала и после достижения определенной глубины Zmax имеет место, обратное перемещению данной изотермы [1,7]. Для одномерного случая температура любой точки материала на оси теплового источника, расположенного ниже плоскости Z= 0, определяется из выражения:
(2.15)
где Z -расстояние по оси;
ierfc - функция интеграла вероятности;
τим - длительность нагрева;
r - радиус пятна нагрева;
а, λ - коэффициенты температуропроводности и теплопроводности. При0 < 1 < τим в уравнении (2.5) приводится к упрощенному виду [1,7]
(2.16)
Плотность энергии в пятне нагрева W выражается по следующей зависимости:
гдеgэф - эффективная тепловая мощность плазменной струи(дуги),
τ- длительность нагрева,
d - диаметр пятна нагрева.
С целью последующего вычисления протяженности по глубине зоны нагрева до температуры Т удобно использовать выражение для расчета температур в неявном виде, полученное при допущении τn ››√at
(2.17)
где Z - глубина нагрева до температурыT(z,t);
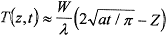
Из выражения (2.17) можно получить простую формулу определения протяженности по глубине зоны нагрева до заданной температуры за счет плазменного
нагрева.
(2.18)
Z ≈ 2√aτим / π - Тλ /W
Для получения за один проход широкой упрочненной дорожки, при упрочнении применяют сканирование (магнитные или механические системы) плазменной струи (дуги) по поверхности в направление перпендикулярном поступательному перемещению. С целью упрощения модель для приближенной оценки парамет-ров сканирования можно представить в виде плоской задачи.
Известно, что в случае использования модели одновременного нагрева полу» бесконечного тела поверхностным тепловым источником с постоянной во времени интенсивностью, можно получить соотношении плотности мощностиgm , требуемой для достижения на поверхности максимальной температурыТтах
(2.19)
gт=Ттахаср√ π /4 at
где α -температуропроводность;
ср - объемная теплоемкость;
t - времся нагрева.
Для нагрева плазменной струей (дугой)
(2.20)
t = d / υ,g = gn / S
где d - диаметр пятна нагрева в направлении движения;
υ - скорость перемещения пятна, относительно детали;
gn - полная мощность, подводимая к плазмотрону;
S - площадь, обрабатываемая плазменной струей.
В случае упрочнения без оплавления поверхности, необходимо, чтобы Ттах а поверхности! материала не превышала температуру плавления
(2.21)
Ттах≤Тпл
Тогда, согласно (2.19) и (2.21), должно выполняться условие
(2.22)
gт√t ≤ Тпл аср√ π /4 a
где знак равенства соответствует максимальной глубине закалки, без оплавления поверхностности.
Рассмотрим пятно нагрева радиусом r, движущиеся по поверхности металла со скоростью υ и одновременно совершающее пилообразные колебания частотой f и амплитудой 2d перпендикулярно направлению υ, рис. 2.2.
Рис.2.2. Схемы линейного (а) и кругового (б) сканирования.
Сканирующая плазменная струя создает на обрабатываемой поверхности усредненный источник тепла, размерами 2r * 2 d , движущийся со скоростьюυ,
для которого время нагрева определяется соотношением:
t1=2r/υ (2.23)
а плотность мощности: gт = gэф / 4rd
где gэф - эффективная тепловая мощность.
Из (2.22) следует, что для максимальной глубины закалки необходимо, чтобы выполнялось условие:
(2.24)
gт√ t1 = Тпл аср√π / 4а
Кроме того, сканирующая плазменная струя создает концентрированный источник тепла диаметром 2r , скорость которого определяется из амплитуды и частоты колебаний, тогда время нагрева можно записать как:
(2.25)
t2 = 2( 2r / 4df ) = r/df
Множитель 2 означает, что в крайних точках пятно нагрева находится вдвое дольше, чем в промежуточных. Тогда плотность мощности соответственно равна:
( 2.26)
gт2 = gn / πr2
С целью исключения оплавления поверхности в крайних точках необходимо выполнение условия:
(2.27)
g2 √ τ2 ‹ g1 √τ1 ≤ Тпл аср√π / 4а
Амплитуда и частота сканирования должны соответствовать выражениям
(2,28)
√ d /f ‹ πr√8υ
или
Выражение (2.28) показывает, что частота сканирования должна увеличиваться с уменьшением пятна нагрева, с ростом скорости обработки и амплитуды сканирования. На тепловые процессы и размеры упрочненной зоны, помимо параметров режима работы плазмотрона (сила тока, расход газа и т.) оказывают влияние и параметры ведения технологического упрочнения, такие как скорость обработки, дистанция обработки, угол наклона плазменной струи (дуги) к обрабатываемому изделию и др.
При разработке технологических процессов на практике необходимо иметь простые 9 удобные аналитические выражения для расчета основных параметров упрочнения. В работах по плазменному упрочнению [10, 12 - 14] используются различные аналитические выражения. Так в работе [12] скорость нагрева локальной зоны определяется из выражения:
где gs - плотность мощности плазменной дуги;
α, λ- коэффициенты температуропроводности и теплопроводности;
τ - время воздействия;
h- глубина упрочнения.
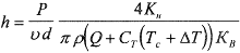
Значение плотности мощности плазменной дуги достаточной для фазовыхпревращений определяют:
где Тзак - температура закалки;
В - коэффициент аккумуляции теплоты.
Глубина закаленного слоя определяется из выражения:
где Р - мощность плазменной дуги;
υ - скорость обработки;
d- диаметр пятна нагрева;
ρ - плотность материала;
Ст - удельная теплоемкость;
Q- теплота плавления;
Кв- коэффициент, учитывающий качество обрабатываемой поверхностности.
Скорость обработки определяется как:
В работе [13] используется зависимость глубины закалки от параметра
h = Р/ (dc υ)0,4
где Р - тепловая мощность источника нагрева;
d - диаметр сопла;
υ - скорость обработки.
В работах Токмакова В.П., Гречневой М.В., Петухова А.В., Скрипкина А.А., Матханова В.Н. приводятся расчетные данные, позволяющие определить температуру нагрева и скорость охлаждения металла. Построены номограммы для выбора оптимальных режимов плазменного упрочнения. Экспериментальные исследования процесса плазменного упрочнения сталей 9ХФ, 40Х, У8, Х12М,проведенные этими авторами , показали, что максимальная поверхностная твердость после упрочнения пропорциональна величине углеродного эквивалента Сэкв , а глубина упрочнениязависит от коэффициента температуропроводности. Это позволило авторам установить зависимость вида:
HWmax=f (g, υ, Сэкв);h = f2(g, υ, а)
В явном виде уравнения этих зависимостей выглядят следующим образом:
HVmax = 10-3 ﴾-0.308271 υ2+1.23441g2+12.792a2+1.71723 υg- 1.54273 υCэкв – 1.7919 υ+ 0.36981g-18.2439Cэкв+11,223)
h max = 262.506υ2 +50.3667g2 +1466.729а2 +107.754υg + 53.1505υα - 47.1105gа -
- 938.111υ + 199.495g – 5.6734а + 686.691
Полученные результаты, по мнению авторов, свидетельствуют о хорошем совпадении экспериментальных и расчетных данных, что позволяет, не проводя экспериментов, прогнозировать максимальную твердость и глубину упрочненных поверхностей, табл.2.3., 2.4.
Табл.2.3
Экспериментальные и расчетные значения поверхностной твердости HWmax, в зависимости от входных параметров (g, υ , С экв)
| № | V, м/c | g, кВт/м2 | C,% | HVэксп, МПа | HVрас, МПа |
| 1 | 2 | 3 | 4 | 5 | 6 |
| 1. 2. 3. 4. 5. 6. 7. 8. 9. 10. | 5 5 5 1 1 1 2,5 2,5 2,5 2,5 | 10 15 25 10 15 25 10 15 20 25 | 0,05 1,05 0,9 0,9 0,45 0,6 0,45 0,75 0,6 0,9 | 6000 10500 9000 6700 5900 5300 3100 4200 4900 9800 | 6383 10156 8702 6359 6045 5852 2961 4369 5202 8000 |
Табл.2.4.
Экспериментальные и расчетные значения глубины упрочнения
от hmax входных параметров
| № | υ, м/c | g, кВт/м2 | а, см2/с | hэксп, МПа | hрас, МПа |
| 1 | 2 | 3 | 4 | 5 | 6 |
| 1. 2. 3. 4. 5. 6. 7. 8. 9. 10. 11. 12. 13. 14. 15. | 0,5 0,5 0,5 0,5 0,5 1,5 1,5 1,5 1,5 2,5 2,5 2,5 2,5 2,5 | 10 15 20 25 30 10 15 20 25 10 15 20 25 30 | 0,1 0,15 0,12 0,06 0,08 0,15 0,08 0,06 0,1 0,06 0,1 0,08 0,12 0,15 | 600 890 920 930 1250 310 250 130 410 45 120 140 330 500 | 623 831 882 945 1167 335 162 173 390 53 196 150 343 529 |
Построение математических моделей плазменного поверхностного упрочнения, отражающих кинетику процесса, основано на решении не линейных краевых задач теории теплопроводности. Корректное описание теплофизических процессов взаимодействия плазменной струи (дуги) с поверхностью обрабатываемого материала, возможно лишь с учетом необратимых процессов, сопровождающих поверхностную закалку детали, полиморфных превращений, окислительных реакций на
поверхности, энергетических потерь на плавление и испарение материала, изменение теплофизических свойств материала при нагреве и охлаждении. В качестве основы такой модели можно использовать «задачу Стефана» со свободной границей σ, являющейся фронтом мартенситного образования. Математическая постановка такой задачи сводится к определению температурных полей в поверхностном слое детали и к расчету границ раздела при полиморфных превращениях. Аналитическое решение возможно только при ряде упрощений. В работе [24] представлена математическая модель плазменного поверхностного упрочнения азотирования из газовой фазы.
2.2. Фазовые и структурные превращения при плазменном нагреве металлов
Несмотря на различие физических процессов, лежащих в основе того ими иного способа поверхностного упрочнения металлов (плазменного, лазерного, электронно-лучевого и т.д.), для всех характерна общая особенность - фазовые и структурные превращения протекают в условиях далеких от равновесия. Рассмотрим физические причины, позволяющие использовать сверхскоростной нагрев при термической обработке металлов. При использовании большинства видов термической обработки металлов с медленным нагревом для получения неравновесной структуры температура нагрева назначается выше на 30-50 ° С, критических температур Ас1 и Ас3.
При рассмотрении диаграммы видно, что используется только низкотемпературная часть аустенитной области. Температурный интервал до перехода в жидкое состояние остается очень большим и составляет 400-700°С (в зависимости от состава стали) [1]. В работах [1,9,16,18-22] показано, что нагрев металлов, со скоростью υ = 102 – 106 º С , вызывает смещение фазовых превращений рис.2.3. в область температур на 50-300° С.
В связи с этим, из всего температурного интервала существования аустенитной области , практика плазменного поверхностного нагрева (без оплавления поверхности) используется 1/3 его величины тогда, как при медленном нагреве используется только 1/20 температурного интервала аустенитной области.
Известно, что размер зерен аустенита, в первую очередь, зависит от отношенияскоростей двух элементарных процессов: - возникновения центров (зародышей) п и их роста С . Чем больше это отношение, тем меньше начальное зерно S образующейся фазы - аустенита. С повышением температуры наблюдается все большее количественное опережение скорости зарождения над скоростью роста. При смещении фазовых превращений в сторону высоких температур, процесс зарождения становится доминирующим над процессом роста зерен. Регулируя скорость нагрева (т,е„ количество введенной энергии в поверхностный слой металла) можно получать различные соотношения n/c. Поэтому, использование скоростного нагрева позволяет различное состояние аустенита - от крупнозернистого до мелкозернистого.
Рис. 2.З. Повышение температуры точки Ас3 в сравнении с равновесной в зависимости от скорости нагрева
Смещение основных фазовых превращений в область высоких температур (внутри существования γ - области на диаграмме Fe – Fe3 C3 позволяет получать новые условиядля процесса диффузионного насыщения поверхностных слоев легирующими элементами (азот, борэ кремний, углерод и т.д.). Проникновение диффундирующих атомов в поверхностный слой металла, имеющий зародыши новой фазы по размерам, близким к критическим, происходит более интенсивно, чем при печной цементации, азотировании и т.д. Именно совмещение процессов диффузионного насыщения и зарождения аустенита в поверхностном слое приводит к ускорению в 15-20раз процессов цементации, азотирования и т.д. Таким образом, наличие большего температурного интервала существования у - области на диаграмме Fe – Fe3 C является одной из основных причин, позволяющих использовать сверхскоростную обработку (при помощи плазменной струи (дуги) для широко распространенных сортов стали.
Процесс плазменного поверхностного упрочнения без оплавления поверхности включает четыре стадии: нагрев, фазовое (α → γ) превращение, частичную гомогенизацию, быстрое охлаждение.
Нагрев.
Нагрев поверхности металла со скоростью порядка 103 -105 º С /с считается одной из наиболее важных особенностей плазменного упрочнения. Степень нагрева и размер нагреваемого объема материала зависит от интенсивности теплового ис= точника ^ и времени его воздействия t . Чем выше концентрация энергии источника, тем меньше размер нагреваемого объема и больше скорость его нагрева dТ/dt .
При медленном нагреве со скоростью υ имеющиеся в металле внутреннее напряжение релаксируют в следствии процесса полигонизации. С увеличением скорости нагрева υ1 >υ в следствие инерционности процессов и перераспределении дислокационной структуры, полигонизация не успевает произойти и уменьшение внутренних напряжений осуществляется путем рекристаллизации что вызывает измельчание ферритных зерен. Это в дальнейшем (при α → γ превращении) приводит к образованию мелкозернистой структуры аустенита, которая после охлаждения дает мелкодисперсный мартенсит [1.15].
В работах по термической обработке ТВЧ [17-20] показано, что при определенном увеличении скорости нагрева рекристаллизационные процессы не успевают произойти и изменение зерна не наблюдается. Поэтому , для исходной ферритно-цементитной структуры рекомендуются оптимальные скорости нагрева в диапазоне υ1< υопт< υ2. Характерные значения для стали υ 1=200 ..... 600° С\с и υ 2 = 104-106 С\с [1,9,15,16,20].
При использовании плазменного нагрева в поверхностном слое образуется более высокодисперсный мартенсит по сравнению с нагревом ТВЧ, хотя средние скорости нагрева для обоих методов одинаковы. При нагреве ТВЧ сплавов железа существенное влияние на кинетику нагрева оказывает превращение феррита. При достижении точки Кюри переход в парамагнитное состояние приводит к резкому замедлению темпа нагрева. Плазменный нагрев позволяет поддерживать очень высокий темп роста температуры, вплоть до стадии интенсивногоα → γ превращения. Поэтому, при плазменном нагреве эффективные значения скорости нагрева выше, чем при нагреве ТВЧ. Сравнение эффективных значений скорости нагрева при плазменном, лазерном и электронно-лучевом упрочнении показывает, что в двух последних случаях температурный интервал аустенитного превращения сдвинут в область более высоких температур, по сравнению с плазменным. Это объясняется тем, что при лазерном и электронно-лучевом упрочнении обеспечивается наибольшая плотность потока энергии на поверхности, а, следовательно, и более высокие скорости нагрева. Исползование высоких скоростей приводит к наследованию дефектов исходной структуры. Показано [21], что повышение твердости связано с дроблением блоков мозаики и значительным увеличением плотности дефектов кристаллической решетки, превышающим величины для случаев традиционной закалки. Положительное влияние на результат плазменного упрочнения оказывают термоупругие напряжения, которые с одной стороны увеличивают плотность дефектов, с другой - способствуют развитию рекристаллизационных процессов измельчения зерна.
α → γ превращения при плазменном упрочнении.
При изменении фазового состояния возможны два типа превращения: диффузионное и без диффузионное. Принято считать, что при медленном нагреве железоуглеродистых сплавов α → γ превращение происходит по диффузионному механизму. В работе [20] показано, что смена диффузионного механизма при α → γ превращении на бездиффузионный происходит при скорости нагрева 70 000-80 000° С\с.
Табл.2.5.
Параметры тонкой кристаллической структуры сталей после упрочнения азотной плазменной струей [21]
| Сталь | Вид обработки | Размер блоков * 10 -7, м | Микроискажения Δа/α * 102 | Плотность дефектов * 1010, см-2 |
| ЗОХГСА | Исходное состояние Плазменное упрочнение + отпуск (200º С) Объемная закалка + отпуск (200º С) | 2,1 0,086 0,34 | 0,168 0,3 0,437 | 0,47 4,01 1,12 |
Анализ результатов исследования [1, 10, 15. 17-22] по скоростному нагреву сталей с помощью различных источников тепла позволяет сделать вывод возможного существования обоих механизмов α → γ превращения. При нагреве сталей с исходной перлитной структурой (скорость нагрева υ≤500° С\с) преобладающим механизмом аустенизации является диффузионный. Нагрев со скоростью выше 1000º С/с вызывает образование устойчивого и неустойчивого аустенита в силу действия одновременно двух различных процессов - диффузионного и бездиффузионного. При этом, та часть аустенита, которая образовалась по бездиффузионному механизму не может быть устойчивой в межкритическоминтервале температур, т.к. температура малоуглеродистого аустенита ниже равновесной. Неустойчивость аустенита в межкритическом интервале температур свидетельствует о том, что углерода в нем меньше, чем этого требуется при диффузионном механизме превращения [17], при котором углерода всегда достаточно для создания устойчивого аустенита.
С увеличением скорости нагрева количество мест для зарождения центров новой фазы быстро исчерпывается, а рост имеющихся центров (зависящий от диффузионных процессов) не обеспечивает достаточную скорость протекания α → γ превращения, что приводит к доминированию бездиффузионного механизмааустенизации. При превышении некоторой величины скорости нагрева Vкр диффузионный механизма полностью вытесняется бездиффузионным [20]. По мнению [1,17- 20], увеличение роли бездиффузионного механизма с ростом скорости нагрева соответствует следующая особенность процесса аустенизации стали с исходной ферритно-цементитной структурой:
- в доэвтиктоидных сталях возможна ситуация, когда приV
Скорости нагрева V ≈ 106 ºС\с, по мнению [1,15,19,20],являются предельными, так как интервал α → γ превращений достигает температуру плавления. Бездиффузионный механизм α → γ превращения наблюдается и в случае с исходной мартенситной структурой. При нагреве со скоростьюV ≈ Vкр распада мартенсита не происходит, иα → γ превращение имеет характер обратного мартенситного превращения. По мнению [1,19,20] , температура превращения зависит от состава сплава и может быть как выше, так и ниже равновесной температуры. Образовавшийся аустенит при обратном мартенситном превращение наследует от мартенсита дефектную структуру, что при последующей закалке приводит к повышению плотности дислокации и повышению твердости.
Особенностиα → γ превращения легированных сталей связаны с замедлением в этих сталях диффузионных процессов, уменьшения температурного интервала γ - фазы и с понижением температуры мартенситного превращения аустенита. При нагреве легированных сталей роль бездиффузионного механизма α → γ превращения возрастает.
Однако уменьшение температурного интервала γ – фазы в условиях быстрого нагрева характеризуется большей вероятностью оплавления поверхности.
При оплавлении, карбиды, входящие в состав легированных сталей, растворяются и образовавшийся аустенит насыщается легирующими элементами, и при последующем охлаждении не претерпевает фазового превращения.
Гомогенизация
При традиционных методах упрочнения (использующих медленный нагрев) применяют изотермическую выдержку при достижении максимальной температуры закалки.
В результате такой выдержки происходит α → γ - превращение феррита, растворение карбидов с последующим распределением углерода и легирующих элементов [17].
Образующийся аустенит имеет постоянную по всему объему концентрацию атомов. Изменяя время выдержки можно в определенных пределах управлять степенью гомогенизации аустенита. При плазменном упрочнении аустенизация стали протекает в неизотермических условиях, поэтому процессы гомогенизации ограничены незначительным промежутком времени пребывания металла в аустенитном состоянии
Отсутствие выдержки при максимальной температуре нагрева приводит к неравномерному распределению углерода и других элементов в зерне аустенита.
Для сплавов с исходной ферритно-цементитной структурой вне зависимости от механизма α → γ - превращения, по мнению [15-22], частичное протекание процессов гомогенизации (для скоростных нагревов) является необходимым условием повышения твердости.
Согласно [17-19, 22] для диффузионного механизма образовании зародышей аустенита, общая скорость превращения зависит от диффузии углерода.
При α → γ - превращении по бездиффузионному механизму образования аустенита(без определенного насыщения его углеродом) возможно и он при быстром охлаждении возвращается к исходной ферритно-цементитной структуре (т.е. пересынщенного твердого раствора в железе не образуется) [28].
Поэтому, при описании фазовых переходов при плазменном упрочнении, важной задачей является установление количественной оценки диффузии углерода при неизотермических условиях.
При скоростном нагреве железоуглеродистых сплавов с мартенситной структурой происходит обратное мартенситное превращение без заметного распределения углерода [17-20].
По мнению [22], в этом случае необходимо оценить предельную скорость нагрева (для анализа диффузионных процессов), ниже которой происходит отпуск мартенсита.
Кроме того, необходима точная оценка критической скорости охлаждения аустенита для осуществления процессов закалки.
Влияние скорости нагрева на величину зерна аустенита
| |
Принято считать, что размер зерна обратно пропорционален скорости нагрева после печной закалки аустенитное зерно имеет примерно 7-9 баллов после закалки ТВЧ (скорость нагрева 100-1000 ° С\с) зерно имеет балл 11-13. На рис. 2.4. показано изменение величины зерна с увеличениемскорости нагрева до температуры Тзак для стали 45при плазменном упрочнении.
При скоростинагрева
выше 500° С\с незначительный
рост зерна наблюдается только в случае превышения температуры нагрева над температурой, принятой при обычной печной закал ке. Нагрев со скоростью свыше 1000^ °С\с приводит к смещению процесса образования аустенита в область высоких температур, и, как следствие этого, уменьшается концентрация углерода, необходимая для устойчивости зародыша. Скорость зарождения при этом резко увеличивается, что ограничивает
рост зерен. Используя сверхбыстрый нагрев(плазменнойструей(дугой), можно Рис. 2.4. Влияние температуры и скорости регулировать величину зерна аустенита к нагрева на размер зерна аустенита d моменту начала стадии охлаждения. в стали 45.
1-500º С/с; 2-1000º С/с; 3-5000º С/с
Влияние скорости нагрева на ускорение диффузионных процессов насыщения
Почти во всех случаях применения скоростного нагрева (лазерного, электронно-лучевого, плазменного и т.д.) отмечается ускорение процессов насыщения поверхностных слоев легирующими элементами [1,9.15,19,21, 23-26].
Однако, причины ускорения процессов химико-термической обработки (ХТО) металлов не раскрываются.
Ускорение диффузионных явлений при плазменной ХТО обусловлено особенностью фазовых превращений в железоуглеродистых сплавах при скоростном нагреве. Если при медленном нагреве аустенит образуется только в результате диффузионных процессов, то при плазменном нагреве возможно образование аустенита по бездиффузионному механизму. В доэвтектоидных сталях бездиффузионный процесс протекает на неоднородностях в ферритнойфазе - по границам зерен и блоков. Смещение фазовых превращений в область высоких температур оказывает существенное влияние на размер зерен аустенита, в момент окончания фазовых переходов. Уменьшение объема зерен и увеличение их числа приводит к возрастанию общей протяженности границ. Известно [27], что интенсивность диффузии вдоль границ и внутри зерен существенно различается. Скорость пограничной диффузии в 5-7 раз превосходит скорость диффузии по зерну [27]. Следовательно, в более мелкозернистом аустените, образующимся при плазменном нагреве и обладающим большей протяженностью границ, насыщение происходит значительно быстрее, чем в крупнозернистом аустените, образующимся при печном нагреве.
Высокая диффузионная активность мелкозернистого и мелкоблочного аустенита, образующегося при плазменном нагреве, усиливается наличием многочисленных источников вакансии, благоприятной дислокационной структурой и повышенной плотностью дислокации [14]. Это связано с тем, что границы зерен являются основными источниками вакансий в металлах с плотноупакованной решеткой, а измельчение зерна приводит к увеличению концентрации вакансий [27]. Несовершенства структуры границ (дислокации, избыточная концентрация вакансии) является, по мнению [ 14, 18, 27,28], источником избыточной энергии, что облегчает перенос диффундирующих атомов.
Наряду с особенностями превращений в железоуглеродистых сплавах при плазменном нагреве на интенсификацию процессов ХТО оказывает сильное влияние сам источник нагрева - плазменная струя (дуга). При плазменном нагреве (струей или дугой) азот, углерод, водород поглощаются металлом в количестве,превышающем их растворимость при тех ж температурах и давлениях, но в отсутствии плазменного нагрева [28, 29] . Высокая температура плазменной струи (дуги), где газ частично диссоциирован и ионизирован, вызывает отставание релаксационных процессов от скорости снижения температуры газа у поверхности металла.
Следствием этого является взаимодействие с металлом газа (плазмы) в неравновесном, относительно его температуры состоянием. Сверхравновесное поглощение газа в некоторых случаях приводит к значительному перенасыщению металла газом и к стремлению выделиться из него, что приводит к пористости на поверхности металла [24].
Важной особенностью плазменного нагрева является, также неоднородность температурного поля нагрева, свойственная всем процессам, использующим концентрированные источники нагрева. Отсюда усиление термодиффузионных процессов на границе металл-активная среда. Кроме того, использование плазменной дуги позволяет ускорить диффузионные процессы за счет электронного тока (электротермический эффект).
Таким образом, причины интенсификации процессов насыщения легирующими элементами при плазменном нагреве заключаются в следующем:
- при плазменном нагреве образуется мелкозернистый и мелкоблочный аустенит (в который диффундирует тот или иной элемент), содержащий в себе большее количество дефектов структуры (границы зерен блоков, дислокации и т.д.), что значительно облегчает процесс диффузии на границе раздела металл-активная среда;
- использование плазменной струи (дуги) позволяет создать лучшие условия для протекания поверхностных реакций, заключающихся в сверхравновесномпоглощениигаза ивысокойактивностинасыщающейсреды (газовая, твердая, жидкая фаза );
- резко сокращается время нагрева поверхности металла до температуры насыщения (доли секунд).
Охлаждение
При охлаждении аустенитной структуры возможно два типа γ→α -превращения: диффузионное и бездиффузионное. Прискорости охлаждения W‹W1 реализуется первый тип, а при W>W2 только второй тип. (Характерные значения для доэвтектоидной стали W1 ≈50° С\с, эвтектоидных W ≈100º С\с.
Для получения мартенсита в железоуглеродистых сплавах необходимо обеспечить скорость охлаждения выше критической, которая для большинства сталей составляет 50-200 ° С\с [1. При плазменном упрочнении скорость охлаждения значительно превышает критическую и составляет 102-105 ° С\с [9]. Таким образом, распад аустенита происходит по бездиффузионному механизму с образованием мартенсита. Как уже отмечалось, при плазменном нагреве образуется неоднородный аустенит, и, как следствие этого, при охлаждении объемы с разной концентрацией углерода будут закаливаться по-разному. Диапазон температур, в которых происходит мартенситное превращение, существенно увеличивается. Превращение малоуглеродистого аустенита происходит при температуре 350-420° С с образованием мелкоигольчатого мартенсита [15, 19, 22]. С ростом концентрации углерода температура мартенситного превращения снижается до 100° С с образованием пластинчатого мартенсита. Для охлаждения неоднородного аустенита требуются большие скорости охлаждения [19, 20, 22], по сравнению с однородным аустенитом. Это связано с тем, что повышение градиента концентрации углерода приводит к ускорению диффузии и облегчению распада аустенита.
Однако, по мнению [9- 13], существуют оптимальные скорости охлаждения аустенита (102- 103 °С\с), которые при плазменном упрочнении увеличиваются, по сравнению с закалкой традиционными методами. При слишком больших скоростях охлаждения, свыше 105 ºС\с, повышается доля остаточного аустенита и возрастает вероятность образования трещин.
Таким образом, основными физическими особенностями плазменного поверхностного упрочнения являются: увеличение температурных интервалов α→ γ и γ→α - превращений, доминирование бездиффузионных механизмов фазовых переходов, наследование дефектов и карбидной фазы исходной структуры,влияние состояния исходной структуры; влияние термоупругих1 и остаточных напряжений.
Термодеформационные процессы в железоуглеродистых сплавах при плазменном упрочнении
После плазменного упрочнения металлов в поверхностном слое возникают остаточные напряжения, появление которых обусловлено двумя основными причинами: термическими напряжениями при неоднородном температурном поле и структурными превращениями. Остаточные напряжения при поверхностном упрочнении распределяются, по мнению [1, 9, 10, 12, 16, 24, 25], следующим образом: в поверхностном слое Хс (10-100 мкм) они носят сжимающий характер, а в более глубоком слое Хр (0,3-3 мм) переходят в растягивающие напряжения и по мере углубления в глубь металла уменьшаются до нуля, рис.2.6.
Рис.2.6. Схема распределения остаточных напряжений по глубине
упрочненного поверхностного слоя.
σс 9 σр – величина максимальных остаточных напряжений сжатия и растяжения;
хС9 хр- глубина залегания.
На характер распределения остаточных напряжений большое влияние оказывают параметры режимов упрочнения, химический состав упрочняемого материала, исходное состояние поверхностного слоя и т.д. Изменяя параметры режимов упрочнения, можно получить разную глубину закаленного слоя и различный характер остаточных напряжений по глубине материала, рис.2.7.
Термоупругие напряжения, действующие в процессе охлаждения, сдвигают влево термокинетические кривые распада аустенита, что приводит к необходимости увеличения критических скоростей охлаждения.
Рис. 2.7. Распределение остаточных напряжений на стали 45 при различной глубине
закаленного слоя (плазменная закалка): 1 - 0,5 мм ; 2 – 1,0 мм ; 3 2 мм.
Эпюры остаточных напряжений на поверхности сталей показывают сильную неравномерность, рис.2.8. В центре упрочненной зоны (у=0) при мощности плазменной струи 1,5 кВт имеются незначительные напряжения растяжения. С увеличением мощности плазменной струи до 2,5 кВт, характер распределения и знак остаточных напряжений в центре упрочненной зоны (у— 0) изменяется. Это связано с тем, что с увеличением мощности плазменной струи, металл в зоне обработки нагревается до температуры выше фазовых превращений, на стадии охлаждения образуется мартенсит. Подобный характер изменений остаточных напряжений в зависимости от мощности получен при упрочнении плазменной струей на стали 45, рис. 2.9.
На углеродистых сталях максимальные напряжения сжатия зафиксированы при упрочнении с оплавлением поверхностно Однако, дальнейшее увеличение мощности приводит к снижению напряжения сжатия в центре упрочненной зоны, что связано с увеличением объема жидкой ванны и, как следствие этого, уменьшение скорости охлаждения. Увеличение мощности плазменной струи (дуги) приводит к существенному изменению тепловых процессов, фазовых и структурных превращений при упрочнении, вследствие чего изменяются не только остаточные напряжения в центре упрочненной зоны, но и характер их распределения поперек зоны в направлении оси y. На рис. 2.10. показано распределение на поверхности стали У10, 9ХМФ в зависимости от мощности.
Рис. 2.10. Распределение остаточных напряжений на поверхности
сталей У10 (а) и 9ХФМ (б) при различной мощности
плазменной струи. 1.Р = 2.5 кВт; 2. Р = 3,5 кВт; 3. Р = 5,5 кВт /оплавление/
В работах [1,16, 32, 35] отмечалось, что значительное влияние на распределение остаточных напряжений при поверхностном упрочнении оказывает скорость обработки.
На рис. 2.11. доказано влияние скорости обработки сталей 20, 45, 40Х, 9ХМФ.
При небольших скоростях обработки в центре упрочненной зоны (с оплавлением) сталях 20, 45,40Х формируются растягивающие напряжения, а краям зоны оплавления - напряжения сжатия.
С увеличением скорости обработки напряжения в центре зоны переходят из растягивающих в сжимающие.
На стали 9ХМФ с увеличением скорости обработки напряжения сжатиявцентре, зоны
(у – 0) переходят в растягивающиеся.
Рис.2.11. Изменение остаточных напряжений в
центре упрочненной зоны в зависимости
от скорости обработки (мощность Р=4, 5 кВт);
1. –Сталь 20; 2. – Сталь 45; 3. – Сталь 40Х;
4- Сталь 9ХФМ
Проведенные исследования показали, что распределение остаточных напряжений по ширине упрочненной зоны на всех исследованных сталях характеризуются сильной неравномерностью. Более резкий переход от сжимающих напряжений к напряжениям растяжения наблюдается по глубине упрочненного слоя, что в некоторых случаях может приводить к снижению прочности (вследствие хрупкого скола участков упрочненного слоя).
Рис. 2.12. Зависимость остаточных напряжений
в упрочненных сталях 45(1), 30ХГСА(2), от температуры отпуска.
В связи с этим, необходимо выбирать оптимальные режимы упрочнения
(в зависимости от типа стали) с благоприятным распределением остаточных напряжении Кроме того, при поверхностном упрочнении необходимо создавать благоприятные остаточные напряжения по величине, знаку и распределению, при которых в наибольшей мере компенсируются напряжения, создаваемые внешним напряжением. Известны случаи [18,19] снятия или перераспределения остаточных напряжений в процессе работы - под воздействием циклических упругих деформаций, малых пластических деформаций , при однократных перегрузках или невысокого, но продолжительного нагрева в процессе работы и т.д. Так, в процессе отпуска, происходит уменьшение остаточных напряжений за счет их релаксации. В образцах из стали 45, ЗОХГСА, закаленных при помощи плазменного упрочнения, после низкотемпературного отпуска наблюдается уменьшение сжимающих остаточных напряжений в упрочненном слое, рис.2. 12.
Способы плазменного поверхностного упрочнения можно разделить на два больших направления – процессы, проводящиеся с материалами в твердом состоянии и при расплавлении их поверхности [9, 10, 13, 14, 23-26]. На рис. 2.13. Приведена часть вариантов плазменного поверхностного упрочнения, которые теоретически и практически возможно осуществить.
-
Способы плазменного поверхностного упрочнения
Рис. 2.13. Способы плазменного поверхностного упрочнения материалов
В настоящее время наиболее широко исследуются следующие направления:
1. Закалка сплавов из твердого состояния со скоростями нагрева и охлаждения 102-104ºС\с;
2. Закалка сплавов из жидкого состояния с высокими скоростями плавления и кристаллизации 102 – 105 º С\с ;
3. Поверхностное легирование, наплавка материала, обработка предварительно нанесенных на металл покрытий, нагрев поверхностных слоев после традиционной ХТО;
4. Оплавление и затвердевание с высокими и сверхвысокими скоростями (104- 107 °С\с), приводящие к аморфизации (стеклованию) тонкого поверхностного слоя.
На стадии лабораторных исследований находится плазменное ударное упрочнение, реализуемое за счет коротких промежутков времени. Газодинамический напор плазменного потока создает в зоне обработки давление, ( 400-800 МПа), что значительно выше предела текучести аустенита. Многочисленные исследования в области плазменного упрочнения [9, 10, 13, 14, 23-26] с использованием электронной и оптической микроскопии показали, что зона термического воздействияплазменной струи (дуги) имеет форму сегмента и по своему строению аналогична ЗТВ электронного и лазерного луча [1, 16. При нагреве плазменной струей (дугой) поверхности металла происходит нагрев поверхности слоя до различных температур, вследствие чего он имеет слоистое строение. В зависимости от микроструктуры и микротвердости в сталях по глубине различают три слоя.
- Первый слой - зона оплавления, имеет место при закалке из расплавленного состояния. Зона оплавления имеет столбчатое строение с кристаллами, вытянутыми в направлении теплоотвода. Основная структурная составляющая мартенсит.
- Второй слой - зона закалки из твердой фазы, образующийся в интервале температур Тпл › Тзак › ТАс1. По глубине слой характеризуется сильной структурной неоднородностью, т.к. наряду с полной закалкой происходит неполная закалка. В верхней границе слоя, ближе к поверхности, наблюдается мартенсит и остаточный аустенит. В нижней границе слоя, ближе к исходному металлу, наряду с мартенситом наблюдаются элементы исходной структуры: феррит в доэвтектоидных сталях и цементит в заэвтектоидных.
- Третий слой - переходная зона, в которой металл нагревается до температур ниже точки Ас1, в котором основными структурами являются структуры отпуска.
Слоистое строение упрочненной зоны характерно для всех способов плазменного упрочнения. Конкретные структуры и строение зоны плазменного воздействия для каждого способа и типа стали будут рассмотрены ниже. Геометрические параметры зоны плазменного нагрева характеризуются шириной и глубиной упрочненного поверхностного слоя, которые для большинства способов зависят от параметров режима упрочнения (мощности плазменной струи (дуги), дистанции упрочнения, скорости обработки), рис. 2.14.
В работах [23-25] для определения интервала гарантированного упрочнения (ИГУ) металлов используется энергетический параметр плотность энергии по
Поверхности W, Дж/мм 2. Первый энергетический порог W1 соответствует началу аустенитных превращений в стали.
Рис. 2.14. Влияние параметров процесса упрочнения
на геометрию упрочненной зоны: ширину В/а/ и глубину Z/б/.
При дальнейшем увеличении плотности энергии поверхностная твердость в зоне плазменного воздействия резко возрастает и при втором критическом значении достигает почти максимальной величины. В диапазонеW1 – W2процессы α→γи γ→α - превращений протекаютужедостаточноплотно.
| |
Третий энергетический порог W3 соответствует началу микроплавления. Энергетический порог W2 – W3, по мнению [23-25],можно считать интервалом гарантированного упрочнения (ИГУ) для данного материала, рис. 2. 15.
Рис. 2.15. Влияние плотности энергии в пятне нагрева
на поверхностную твердость
Однако на практике использование этого энергетического параметра не нашло широкого применения. Как правило, в качестве основных параметров используют силу тока дуги в плазмотроне, дислокацию упрочнения, диаметр сопла, скорость обработки. Наиболее сильно на степень упрочнения оказывает влияние скорости обработки и сила тока, т.к. они позволяют регулировать скорость нагрева и охлаждения, рис. 2.16.
Рис. 2.16. Влияние основных параметров плазменного упрочнения:
силы тока /а/, скорости упрочнения /б/, дистанции обработки /в/, диаметра сопла /г/
на твердость упрочненной зоны / закалка без оплавления/;
1 - Сталь 20 ; 2 – Сталь 45 ; 3 – Сталь 60
Для поисков оптимальных режимов рекомендуется использовать следующий прием. На образце-свидетеле производится упрочнение оплавления поверхности (изменяя параметры: силу тока или скорость упрочнения). При появлении первых признаков оплавления, плавным изменением одного из параметров добиваются исчезновения оплавления и вблизи этого порога проводят упрочнение без оплавления поверхности. Экспериментально установлено, что при таком подходе нет необходимости производить трудоемкой операции (металлографический анализ), т.к. глубина плазменного упрочнения оказывается максимальной.
Кроме того, для нахождения максимальной глубины закалки можно использовать выражение Z = √4аt, где а - температуропроводность материала, которое определяет глубину проникновения тепловой энергии в металл за время t.
Степень упрочнения (отношение закаленной структуры к исходной) определяют при помощи измерения микротвердости. Твердость тонких слоев, толщиной менее 0,5 мм., измерять по шкале HRC нельзя, т.к. алмазный конус может проникнуть на глубину, превышающую толщину упрочненного слоя и показывать твердость низлежащих областей. Характер распределения микротвердости по глубине и ширине и ширине зоны плазменного воздействия показан на рис. 2.17. Размеры зоны зависят не только от параметров плазменного упрочнения, но и от особенностей фазовых структурных превращений (в сталях различного состава) и их прокаливаемости.
Рис. 2.17. Общий характер микротвердости по глубине /а/ и ширине /в/ зоны
термического воздействия ЗТВ при обработке без оплавления Zзз – глубина закаленного слоя;
Zпз – глубина переходного слоя; Zзтв – общая глубина ЗТВ; Взз – ширина закаленного слоя;
Впз – ширина переходного слоя; Взтв – общаа ширина ЗТВ
Многочисленные металлографические исследования структур, полученных в результате плазменного, лазерного и электронно-лучевого упрочнения, приведенные
в работах [1, 9, 10, 15, 16, 23-26] позволяют изложить общие закономерности их образования в различных железоуглеродистых сплавах.
Конструкционные углеродистые стали (доэвтектоидные)
В зоне оплавления низкоуглеродистых сталей с содержанием С<0,3 % образуется мелкоигольчатый малоуглеродистый мартенсит. Микротвердость в этой зоне составляет (5000 - 6500 Мпа) и зависит от содержания углерода в стали. Зона закалки из твердой фазы характеризуется большей структурной неоднородностью. Сохранение в структуре зоны плазменного нагрева исходного феррита создает значительную неоднородность микротвердости. С увеличением содержания углерода в стали увеличивается доля перлитной составляющей и, как следствие этого, микротвердость возрастает и ее распределение более однородно, см.табл. 2.6., 2.7.
В переходной зоне ферритная составляющая, в основном, полностью сохраняется. Присутствие феррита может отрицательно влиять на некоторые эксплутационные характеристики стали (износостойкость, усталостную прочность), В связи с этим, плазменное упрочнение целесообразно использовать для сталей, где влияние ферритной фазы незначительно.
Однако обращает на себя внимание достаточно высокая твердость закаленного слоя на низкоуглеродистых сталях (5000 - 6000 МПа), что в обычных условиях стандартной термической обработки не достигается (закалка либо вообще не про-мсходит, либо не дает такой высокой твердости), рис. 2.18. По мнению [1, 15, 16], о6ъясняется значительным изменением зерен феррита и аустенита, а также реек, пластин и пакетов мартенсита.
Табл. 2.6.
Результаты плазменного упрочнения сталей (без оплавления поверхности)
| Марка стали | Глубина закалки, мкм | Исходная микротвердость Н, МПа | Микротвердость после закалки, Н, МПа | ||||
| Феррит | Перлит | Бывшие перлитные зерна | Феррит | ||||
| 0,8 10 20 35 40 45 60 У8 30ХГСА 40Х | 80 85 100 110 110 120 140 200 200 200 | 1200-1300 1300-1400 1200-1300 1800 1800 1900 2000 - - - | 2000 2000-2200 2200 2300-2400 2300-2400 2400-2500 2500 6200 3400 2300-2500 | 2800-3000 5800-6000 4800-5300 5000-5600 6000-7100 7800-8600 9000-10500 10900-11300 6000-7500 10500-11200 | 1600 1500-1600 1600 2500-2700 2500 2600 - - - - | ||
Табл. 2.7.
Результаты плазменного упрочнения стали
(с оплавлением поверхности)
| Марка стали | Микротвердость Н, МПа | |
| Зона закалки из жидкой фазы | Зона закалки из твердой фазы | |
| 10 35 4510 40Х 30ХГСА У8 | 4000-4400 5000-5700 7000-8000 8500-9000 6200-7900 8800-9000 | 5800-6500 7100-7500 7800-8600 9600-10500 7100-8200 10200-11200 |
Рис. 2.18. Микротвердость доэвтектоидных сталей после
обычной и плазменной закалки.
1- исходная без закалки; 2-обычная закалка; 3 - плазменная закалка
При увеличении содержания углерода до 0,6° - 0,7 % в среднеуглеродистых сталях твердость мартенситной
| |
структуры резко возрасает. Так в стали20микротвердостьмар-
тенсита составляет 6000 Мпа, а в
стали 45 - 8000 Мпа. Объясняется это тем, что твердость мартенсита растет с повышением содержания углерода и увеличением степени тетрагональности кристаллической решетки. При
закалке с оплавлением стали 45 в
зоне оплавления образуется мел-
кодисперсный реечный мартенсит
Зона закалки без оплавления состоит из верхней областис однородной структурой и нижней области с неоднородной структурой (мертенситотростит +мартенсит + троститная сетка).+ троститная сетка). В переходной зоне образуется троститоферритная структура, переходящая на границе с исходной структурой в ферритную. Микротвердость по глубине упрочненного слоя показана на рис.2.19.
При плазменном упрочнении без оплавления поверхности среднеуглеродистых сталей область более однородного мартенсита отсутствует и троститферритная сетка вокруг мартенсита может доходить до поверхности, что приводит к снижению твердости. Это связанно с частичной гомогенизацией аустенита.
Инструментальные стали /эвтектоидные, заэвтектоидные/
| |
По химическому составу инструментальная сталь разделяется на углеродистую, легированную и высоколегированную /быстрорежущую/. В особую группу можно выделить штамповые и валковые инструментальные стали.
Плазменному поверхностному
упрочнению подвергались
инструментальные углеродистые
сталиУ7, У8, У10, У12 с оплавлением и безоплавления
Рис. 2.20. Распределение микротвердости по глубине упрочнения
поверхностности. При закалке с оплавлением поверхности в зонезакалки из жидкой фазы, кроме мелкодисперсного мартенситазафиксировано большее количество остаточного аустенита /в стали У8 достигает 35%, в стали У12 – 50%.
В тоже время микротвердость Инструментальных сталей после плазменной закалки очень высокая, рис. 2.20.
В зоне закалки из твердой фазы закаленный слой имеет ярко выраженную неоднородность. Ближе к обрабатываемой поверхности твердый раствор насыщен углеродом, что способствует образованию повышенного количества аустенита. В нижней границе слоя остаточного Рис.2.21. Распределение микротвердости по глубине упрочненного слоя стали У10 после плазменного упрочнения с различным исходным состоянием.
аустенита значительно меньше, вследствие чего достигается максимальная твердость. Кроме того, в нижней границе слоя наблюдается большее количество нерастворенных карбидов.
Большое значение для получения высокой твердости оказывает исходное состояние стали. Так, в стали У8, У10 (предварительно объемно закаленной) становится возможным бездиффузионное обратное мартенситное превращение с наследованием аустенитной дефектной структуры мартенсита при полном торможении в процессе плазменного нагрева эффектов разупрочнения и рекристаллизации, рис. 2.21.
При упрочнении, без оплавления предварительно закаленной стали (У 10) с исходной структурой мартенсита в зоне нагрева появляется третий слой - слой отпуска (высокодисперсная структура тростита). Микротвердость слоя отпуска со структурой тростита составляет 4000-4300 Мпа. Формирование зоны отпуска на границе закаленного слоя с исходной структурой может играть роль «мягкой» прослойки, способной тормозить развитие трещин, распространяющихся от поверхности .
Легированные инструментальные стали
Плазменному упрочнению подвергались стали 9ХФ, 9ХФМ, 9ХС, 9Х5ВФ, 6ХС, 55Х7ВСМФ, 7ХНМА, 8Н1А, ИХ, 13Х, ХВГ с оплавлением и без оплавления поверхности.
При упрочнении без оплавления поверхности в зоне оплавления возникает мелкодисперсная структура высокоуглеродистого мартенсита и остаточного аустенита. Вследствие высокой скорости плавления и кристаллизации, в зоне оплавления наблюдаются нерастворенные карбиды. Высокая легированность мартенсита в зоне оплавления обеспечивает большие значения микротвердости (12000-14000 Мпа). Однако, в большинстве случаев в зоне оплавления появляются микротрещины, что приводит к сколу и выкрашиванию упрочненного слоя.
Плазменное упрочнение без оплавления поверхности легированных инструментальных сталей приводит к формированию в упрочненной зоне сильно неоднородной структуры. Вследствие незавершенности процессов аустенизации в упрочненном слое образуются мартенсит + нерастворенный цементит + остаточный аустенит. (Так в стали 9ХФ и 9ХФМ количество остаточного аустенита достигает 35 %, а в стали 55Х7ВСМФ до 40 %. Количество остаточного аустенита по глубине упрочненной зоны уменьшается и уже на глубине 80-100 мкм не превышает его содержание в данной стали при обычной объемной закалке.
Табл. 2.8.
Твердость стали после обработки холодом /жидкий азот/
| Марка стали | Микротвердость, МПа | ||
| Исходная | После плазменного упрочнения | Плазменное упрочнение + обработка холодом | |
| 9ХФ 9ХФМ ХВГ 55Х7ВСМФ 9ХС 8Н1А 13Х 9Х5ВФ | 2600-2800 2600-2800 2000-2500 2800-3000 2200-2800 2500-2800 9500-10100 9500-11000 | 10000-11000 10500-11200 13000-14000 11500-12000 12000-12500 11000-11800 12200-12800 12200-13800 | 12200-13100 11000-13000 14500-15400 12500-13800 12500-13800 12000-13800 13100-13500 14000-14800 |
Для устранения остаточного аустенита после плазменной закалки была проведена обработка холодом.Известно, что в легированных инструментальных сталях точка конца мартенситного превращения лежит ниже комнатной температуры. При дальнейшем охлаждении в жидком азоте этих сталей происходит мартенситное превращение, и количество остаточного аустенита заметно снижается, табл. 2.8.
Проведенные исследования показали, что обработка холодом приближает легированные инструментальные стали по твердости к твердым сплавам ( НRСЭ65- 80) и находится на одном уровне
с быстрорежущими инструментальными сталями(НRСэ65-69).
Однако использование этой
Рис. 2.22. Распределение микротвердости по глубине упрочненной зоны на стали после плазменного упрочнения (без оплавления)
операции в практических целях очень затруднительно и требует дальнейших исследований.
При упрочнении легированных инструментальных сталей отмечается «эффект» максимальной твердости на некоторой глубине от поверхности, рис. 2.22.Призакалкелегированных инструментальных сталей
Требуются меньшие скорости охлаждения, чем для углеродистых, т.к. аустенит в них более 13Х(1), стали 9ХС(2), стали 9ХФМ(3) устойчив против распада. Легирующие элементы способны образовывать с углеродом соединения (в виде карбидов, которые удерживают углерод в труднорастворимых соединениях), препятствующие насыщению аустенита. Однако влияние легирующих элементов на микротвердость упрочненного слоя уменьшается с увеличением содержания углерода. Стали, содержание хрома в которых превышает 2-3 %, упрочняются менее эффективно в связи с сильным влиянием легирующих примесей на процесс закалки.
Быстрорежущие инструментальные стали
Плазменному упрочнению с оплавлением и без оплавления поверхности подвергается уже готовый инструмент, прошедший окончательную термическую обработку, изготовленный из различных марок стали Р18, Р6М5, РУМ4К8.
При упрочнении с оплавлением поверхности стали Р18 в зоне оплавления происходит растворение карбидов, повышается степень легирования и устойчивость аустенита. Как следствие этого твердость оказывается ниже, чем твердость стали после обычной термической обработки.
Табл. 2.9.
Структура и фазовый состав сталей после плазменной закалки и печного отпуска
| Марка стали | Способ обработки | Структура | Фазовые составляющие | |||||||||||||||||||||
| Твердый раствор | Карбиды | |||||||||||||||||||||||
| Кол-во фаз,% | Состав по массе, % | Тип карбида и кол-во % | Суммарный состав по массе, % | |||||||||||||||||||||
| α | γ | C | W | Mo | V | Cr | Co | Fe | C | W | Mo | V | Cr | Co | Fe | |||||||||
| Р6М5* Р6М5** | Плазменная закалка | Мартенсит + остаточный аустенит + карбид | 64. 1 | 26.8 | 0.4 | 3.35 | 3.1 | 1.1 | 4.2 | - | 87.85 | МС-1,1, М6С-8,0 | 4.0 | 31.5 | 22.5 | 7.3 | 3.4 | - | 31.3 | |||||
| Плазменная закалка + отпуск при 570º С | 86.2 | - | 0.2 | 2.4 | 1.6 | 0.6 | 4.2 | - | 91.0 | МС-2,6, М6С-7, М2С-3,1 М27С-1,1 М23С6 , М7С3 , М3С | 6.1 | 26.3 | 30.5 | 9.1 | 6.5 | - | 21.5 | |||||||
| Р9М4К8* | Плазменная закалка | 62.0 | 29.0 | 0.6 | 5.0 | 3.0 | 1.7 | 3.7 | 8.9 | 77.1 | МС-1,8, М6С-7,2 интериметаллид | 4.4 | 4.03 | 19.5 | 8.1 | 3.3 | 2.2 | 22.2 | ||||||
| Р9М4К8** | Плазменная закалка + отпуск при 580º С | 86.2 | - | 0.2 | 3.2 | 1.8 | 1.2 | 2.9 | 9.2 | 81.5 | МС-3,8, М2С-3,6 М6С-7,4 М27С6 , М7С3 , | 5.8 | 39.4 | 20.6 | 8.0 | 8.0 | 2.4 | 15.8 | ||||||
| * Мартенсит + аустенит (твердый раствор) **Отпущенный мартенсит (твердый раствор), остаточный аустенит в пределах ошибки измерения | ||||||||||||||||||||||||
При упрочнении без оплавления поверхности, структура закаленного слоя состоит из мелкоиголъчатого мартенсита + остаточного аустенита + карбиды. Твердость стали (9500-12300 МПа) превосходит твердость после обычной термообработки, рис.2.23.
Для быстроорежущих сталей также возможно использовать обработку холодом после плазменного упрочнения, что повышает твердость упрочненной зоны на стали Р6М5 с 10000 до 12000 Мпа, на стали Р18 до 11500 Мпа, Р9М4К8Ф до 13800 Мпа.
Для повышения твердости закаленной быстрорежущей стали после плазменного упрочнения можно использовать отпуск, что благоприятно изменяет структуру и фазовый состав стали, табл. 2.9.
Рис. 2.23. Микротвердость стали Р18(1), Р6М5 (2) и Р9М4К8Ф (3) после плазменного упрочнения без плавления
При упрочнении быстрорежущих сталей наиболее эффективно упрочнение без оплавления поверхностности. Оптимальные значения плазменного упрочнения необходимо подбирать для каждого инструмента из той же стали. Кроме того, повышение твердости предварительно закаленной стали очень сильно зависит от длительности плазменного нагрева (зависимость для быстрорежущих сталей НV=f(t)) имеет экстремум), т.к. длительность нагрева определяет скорость фазовых и структурных превращений в упрочненном слое.
Штампованные инструментальные стали
Поверхностное упрочнение стали Х17Ф1 осуществлялось с оплавлением и без оплавления поверхности. Использовалась сталь, прошедшая стандартную термообработку (закалка и отпуск) и без нее, рис. 2.24. Проведенные исследования показали, что присутствие в структуре этой стали большего количества карбидов (15-25 % по массе) требует высоких температур закалки для полного растворения карбидов и получения высокой твердости. После традиционней закалки в структуре остается значительное количество (12 %) избыточных карбидов и большое количество остаточного аустенита
( 40-45%). При упрочнении с оплавлением поверхности карбиды хрома не успевают образовываться из-за высокой скорости охлаждения, а аустенит настолько обогащен этим элементом, что при охлаждении до комнатной температуры мартенситное превращение не происходит.
Поэтому в оплавленной зоне твердость значительно ниже, чем в закаленном слое яз твердей фазы. Структура закаленного слоя из твердой фазы включает в себя мслкоигольчатый мартенсит + остаточный аустенит (до 30-40 %) +карбиды. Микротвердость этого слоя зависит от соотношения структурных составляющих.
Снижение скорости охлаждения при упрочнении с оплавлением поверхности позволяет получать высокую твердость в оплавленной зоне (HRCэ 61-62).
Стали этого класса широко используются в машиностроении для изготовления различных деталей, работающих в сложных эксплуатационных условиях. Поэтому в практике плазменного упрочнения они занимают особое место, т.к. по ним автором собран большой материал эксплуатационных испытаний. К их числу относятся сталь ЗОХ, 40Х, 50Х, 20ХГР, ЗОХГТ, 15ХФ, 40ХФА, 40ХС, ЗОГ, 50Г, 40ХФА, 38ХС, ЗОХГСА, ЗОХМ, 40ХН, 50ХН, 20ХНЗА, 38ХГН, 45ХН2МФА, 38Х2МЮА, 38ХН1М, 18Х2Н4МА.
Основными легирующими элементами конструктивных сталей являются хром, никель, кремний, марганец. Вольфрам, молибден, ванадий, титан, бор и другие вводят в сталь в сочетании с хромом, никелем, марганцем для дополнительного улучшения свойств. Известно, что при введении в сталь легирующих элементов последние могут образовывать с железом различные фазы: твердые растворы, легированный цементит или специальные карбиды, интерметаллические соединения.
Наличие легирующих элементов и образование ими соединений с углеродом оказывает существенное влияние на высокотемпературные процессы на диаграмме Fе-Fе3С по сравнению с углеродистыми сталями. Одни элементы (никель, марганец, медь) понижают критическую точку Асз и расширяют область γ- фазы. Другие (хром, вольфрам, молибден, кремний, алюминий, ванадий, бор и др.) при определенной концентрации повышают критическую точку Ас3. Наиболее резко превращения замедляются при легировании сталей (V,W,Мо) образующие устойчивые карбиды, а также при повышенном содержании хрома (более 2 %).
Легированные конструкционные стали обладают меньшей критической скоростью охлаждения* и как следствие этого лучше прокаливаются. Известно, что чем выше в стали легирующих элементов, тем выше ее прокаливаемость. На сталях, имеющих в своем составе марганец , хром, бор, никель, молибден после плазменного упрочнения глубина упрочненного слоя больше, по сравнению с углеродистыми сталями при одинаковых режимах упрочнения.
При сравнении степени упрочнения легированных и углеродистых конструкционных сталей, т.к. ЗОХ, 40Х, 5ОХ и стали 30, 45, 50 показывает, что даже при небольшом легировании хромом (0,8-1,1 %) происходит заметное увеличение микротвердости. Аналогичная картина и для сталей, легированных марганцем, табл. 2.10.
| Микротвердость, НПО | |
| Легированная | Конструкционная |
| ЗОХ 8800-9000 40Х 9500-10500 50Х11000-12000 45Г 9500-10500 50Г 11200-12500 |
45 7800-8600 508200-9500 |
В высокоуглеродистых сталях добавки легирующих элементов (0,5-1,5 %) приводят к усилению неоднородности структуры упрочненного слоя вследствие уменьшения коэффициента диффузии углерода и увеличения стойкости карбидов. Благодаря высокой легированности мартенсита микротвердость упрочненного слоя достигает больших значений. Основные структуры, образующиеся в упрочненном слое легированных сталей мартенсит + карбиды + остаточный аустенит. Анализ легированных сталей затрудняется многообразием влияния легирующих элементов на фазовые структурные превращения при плазменном упрочнении и ограничивается только экспериментальными данными по микротвердости упрочненного слоя, табл. 2.11.
При использовании плазменного упрочнения для повышения твердости деталей изготовленных из этих сталей рекомендуется использовать режимы упрочнения, позволяющие добиться неполного растворения карбидов (достаточного для насыщения мартенсита) и меньшего содержания остаточного аустенита. Это достигается при максимальных скоростях обработки.
Плазменному поверхностному упрочнению подвергались стали коррозионностойкие типа 20X13, 30X13, 40X13, 95X18, 25Х13Н2, рессорно-пружинные стали типа 65Г, 60С2, 50ХФА, а также стали для отливок типа 35Л, 45Л, 20ФЛ.
Табл. 2.11
Микротвердость легированных сталей после плазменного упрочнения
| Сталь | Микротвердость Н, Мпа | Глубина упрочненного слоя, мм | ||
| Исходной структуры | В закаленной зоне | |||
| 30Х 40Х 50Х 40ХН 50ХН 30Г 45Г 50Г 20ХГР 30ХГТ 15ХФ 40ХФА 40ХС 30ХГСА 35ХМ 20ХН3А 38ХГН 45ХН2МФА 38Х2МЮА 38ХН1М 18Х2Н4МА | 1800-2000 1900-2300 2000-2100 2200-2250 2300-2400 2100-2200 2100-2200 2200-2300 1800-1900 1800-2000 1750-1900 2000-2100 1900-2000 1800-1950 1900-2100 1800-2100 2000-2100 2100-2200 2200-2300 2200-2300 2200-2100 | 8800-9000 9500-10500 11000-12000* 9200-10500 10700-11500 7900-8200 9500-10500 11200-12500* 7200-8600 8100-9500 7900-8500* 10500-11200 9800-11000 7500-7900 8300-9800 9000-10000* 10500-11000* 12200-13000 12100-13000 10000-11500* 13000-13800 | 0,1-3 0,1-3 0,1-3 0,1-4 0,1-4 0,1-2,5 0,1-4 0,1-5 0,1-2 0,1-3 0,1-3,5 0,1-3 0,1-3,5 0,1-4 0,1-3,5 0,1-3,5 0,1-4 0,1-4 0,1-4 0,1-4,5 0,1-4,5 | |
* - Режим обработки с оплавлением поверхности
Плазменное упрочнение коррозийных сталей проводилось без оплавления и с оплавлением поверхностности. Микротвердость упрочненного слоя на этих сталях очень высокая, по сравнению с печной термообработкой, табл. 2.12.
Структура упрочненного слоя при оплавлении поверхности состоит из мартенсита, остаточного аустенита и карбидов. Количество остаточного аустенита достигает у поверхности 35-45 %.
Максимальная микротвердость приходится на слой закалки из твердой фазы, где частично сохраняются нерастворившиеся карбиды и небольшое содержание остаточного аустенита (по сравнению с оплавленной зоной).
Табл.2.12.
Микротвердость коррозионностойких сталей после
плазменного упрочнения
| Сталь | Микротвердость упрочненного слоя Н, Мпа | ||
| Печная закалка | Плазменная закалка | ||
| без оплавления | с оплавлением | ||
| 20Х13 30Х13 40Х13 95Х18 25Х13Н2 | 4800-5600 5000-5800 6000-6800 7800-8900 6900-7400 | 5500-6000 6200-7500 8800-9400 9000-10500 9500-11000 | 8900-9500 9000-10500 9500-11000 10000-11500 11200-12500 |
| |
При плазменном упрочнении без оплавления максимальная твердость по глубине также находится на некотором расстоянии от поверхностности. В поверхностном слое фиксируется небольшое количество (5-10 %) остаточного аустенита.
Обработка рессорно-пружинных сталей 65Г,80С2, 50ХФА с оплавлением и без оплавления поверхности не отличается от обработки углеродистых и легированных сталей, рис. 2.25.
Структура упрочненной зоны представляет собой высоко - дисперсный мартенсит + остаточный аустенит + карбиды.
Рис. 2.25. Распределение микротвердости по глубине
упрочненного слоя на стали 65Г при плазменном
упрочнении без оплавления (1) и с оплавлением (2).
Углеродистые литейные стали отличаются от деформируемой стали меньшей пластичностью и ударной вязкостью. По другим физико-химическим свойствам различий практически нет. Плазменное упрочнение проводилось как с оплавлением, так и без оплавления поверхностности. Микротвердость упрочненного слоя находится примерно на одинаковом уровне с деформируемыми углеродистыми сталями, табл. 2.12. При плазменном упрочнении этих сталей желательно проводить предварительную общую печную термообработку (нормализацию, закалку, высокий отпуск).
Табл.2.13
Микротвердость упрочненного слоя на углеродистых литейных сталях после плазменного упрочнения
| Сталь | Микротвердость Н, Мпа | ||
| Исходная структура | После печной термообработки | После плазменного упрочнения | |
| 15Л 20Л 25Л 35Л 45Л 35ГЛ 30ГСЛ 45ФЛ 30ХГСФЛ | 1600-1800 1600-1800 1600-1900 2000 2100-2200 - - - - | 3900-4500 4000-4500 4100-4700 5100-5900 5000-6000 5100-5500 5500-6000 5900-6500 6100-6500 | 5000-6700* 5000-6700* 5200-6900* 6500-6800 7500-8200 6500-7300 7200-7800 8900-9500* 7500-8100 |
* Режим обработки с оплавлением поверхности
Твердые сплавы
Твердые сплавы не относятся к числу железоуглеродистых сплавов, однако они широко используются в инструментальном производстве. Сведений об упрочнении твердых сплавов при помощи плазменного нагрева в литературе (см. статью Самотугина С.С. в журнале 1997 №4, с45,-51)очень мало. Имеются данные по упрочнению твердых сплавов при помощи лазера [1, 15, 47-50]. Лазерное упрочнение твердых сплавов ВЗК (стеллит), ВК8, ВК6М, В15 повышает твердость
сплавов в зоне упрочнения на 30-50 %, глубина упрочнения составляет 100-150 мкм (разупрочненные области отсутствуют). Повышение твердости твердых сплавов по мнению [1,15, 47-50] связано со структурными и фазовыми превращениями: образованием карбидов WC гек, WC куб, W2С и насыщение кобальтовой связки вольфрамом, уменьшением карбидных частиц и т.д. Увеличение содержания кобальта в сплаве повышает степень упрочнения сплавов (с оплавлением и без оплавления поверхности), химический состав и исходная твердость которых представлены в табл. 2.14.
Табл. 2.14.
| Марка сплава | Химический состав, % | HRC | ||||||||
| C | Si | Cr | Co | W | WC | TiC | TaC | |||
| Cтеллит 1 Стеллит 2 Релит Т15К6 Т30К ВК3 ВК6 ВК8 ВК15 | 2,1 2 4 - - - - - - | 1,8 2,5 - - - - - - - | 32 28 - - - - - - - | 59,1 63 - 6 4 3 6 8 15 | 5 4,5 96 - - - - - - | - - - 79 66 97 94 92 85 | - - - 15 30 - - - - | - - - - - - - - - | 49-50 50-51 50 76 80 76 73 71 68 | |
При упрочнении твердых сплавов с оплавлением поверхности (стеллит, релит) в оплавленной зоне микротвердость повышается. Высокая скорость кристаллизации в оплавленной зоне приводит к образованию высокодисперсионной структуры, обладающей высокой твердостью, рис. 2.26.
Рис. 2.26. Микротвердость оплавленной зоны
на сплавах релит (1а,б), стеллит (2), стеллит (3)
Рис. 2.27. Зависимость микротвердости твердых сплавов
от мощности плазменной струи
1 – ВК3, 2 – ВК6, 3 – ВК8, 4 – ВК15
Микровердость релита с увеличением мощности плазменной струи снижается, т.к. увеличивается объем жидкой ванны и уменьшается скорость кристаллизации, рис. 2.26.
Установлено, что с увеличением мощности плазменной струи микротвердость твердых сплавов возрастает, рис. 2.27.
Степень упрочнения возрастает с увеличением содержанием кобальта в сплаве и размера зерен карбидной фазы. При нагреве происходит диффузионное растворение углерода и вольфрама в расплавленной кобальтовой связке, а при охлаждении образуются мелкодисперсные карбиды в пересыщенном твердом растворе углерода в кобальте (количество вольфрама в связке также возрастает). В связи с этим, увеличение микротвердости твердых сплавов после плазменного упрочнения зависит от степени упрочнения кобальтовой прослойки.
Упрочнение твердых сплавов сопровождается трещинообразованием, которое начинается при мощности плазменной струи, превышающей некоторую критическую величину, Р крит. Дальнейшее увеличение мощности приводит к сильному трещинообразованию. Для каждого твердого сплава существует оптимальная мощность плазменной струи, обеспечивающая бездефектное упрочнение, и критическая мощность, соответствующая появлению дефектов после упрочнения.
| Рис. 2.28. Распределение остаточных напряжений по глубине упрочненной зоны твердого сплава Т30К(1), ВК8(2), ВК15(3) |
Остаточные напряжения после плазменного упрочнения твердых сплавов распределяются следующим образом, рис. 2.28: у поверхности – растягивающие напряжение, переходящие на глубине 20-30 мкм в сжимающие. Распределение остаточных напряжений по глубине и ширине упрочненной зоны зависит от скорости упрочнения, мощности плазменной струи, коэффициента перекрытия.
В проведенных исследованиях при различных режимах упрочнения твердых сплавов у поверхности возникало только растягивающие напряжение. Это связано с тем, что нагрев твердого сплава до высоких температур сопровождается увеличением объема и деформацией нагретого участка. Причем объемная деформация
осуществляется в сторону поверхности, т.к. в других направлениях она невозможна вследствие большой массы нагретого сплава. Последующее охлаждение не возвращает вытесненный над поверхностью материал в исходное состояние. Поэтому в зоне упрочнения возникают напряжения растяжения.
Чугуны
Наряду со сталями, чугуны с самого начала работ по поверхностному упрочнению металлов концентрированными источниками нагрева, оказались в центре внимания
[1, 9, 15, 16, 23, 38-41].
Применительно к плазменному поверхностному упрочнению, работ, посвященных обработке чугуна, также очень немного. В работе [23] плазменному упрочнению подвергался высокопрочный чугун ВЧ-60-2. Структура упрочненного слоя состояла из игольчатого мартенсита, цементита и остаточного аустенит. Рентено-структурный анализ показал, что доля остаточного аустенита составила 45 % с содержанием углерода ( ≈1,4 мас %). Структура оплавленного участка имела диндридное строение с размером диндридов ≈ 5 баллов. Максимальная микротвердость зоны оплавления 8000-9300 Мпа.
В работе [39] плазменное упрочнение с оплавлением проводили на высокопрочном чугуне ВЧ-42-12. Фазовый анализ зоны оплавления выявил структуру феррита, аустенита и цементита. Графит полностью или частично растворяется в зависимости от параметров упрочнения. При снижении скорости упрочнения и увеличения мощности плазменной дуги, количество растворенного в расплаве графита резко увеличивается. Глубина упрочненного слоя достигает 3 мм. А максимальная микротвердость достигает 10000 Мпа [39].
Исследование серых чугунов после плазменного упрочнения с оплавлением поверхности показало, что получение отбеленных слоев без трещин возможно только при предварительном подогреве свыше 350 ° С [38]. Оплавленная зона серых чугунов с пластинчатым и шаровидным графитом имеет твердость HV 580-600 и структуру, характеризующуюся сильной негамогенностью: квазиледебурит + цементит + карбиды + мартенсит + остаточный аустенит + бейнит + сорбит + графит. Количественные соотношения структур зависят от марки серого чугуна и режимов плазменного упрочнения [38].
При плазменном упрочнении с оплавлением поверхности валкового чугуна СП-62 упрочненный слой характеризуется высокой твердостью и износостойкостью [41]. Микротвердость в зоне оплавления составляет 6000 Мпа, в зоне закалки из твердой фазы достигает максимума 6500-7000 Мпа.
Важной особенностью упрочнения серых чугунов является небольшая глубина упрочненного слоя при обработке без оплавления поверхности, т.к. температурный интервал образования аустенита ограничен сверху температурой солидуса Тс сплава, а снизу - критической точкой Ас1, оказывается очень узким (в пределах 100-150° С). В связи с этим для получения максимальной глубины упрочнения необходимо проводить закалку с оплавлением поверхностности.
Автором были проведены исследования влияния скорости нагрева и мощности
Плазменной струи на степень упрочнения различных чугунов, рис. 2.29.
Рис. 2.29. Зависимость степени упрочнения чугунов от скорости упрочнения, мощности плазменной струи (а) и дуги (б) (упрочнение с оплавлением)
Различные марки серого чугуна по разному склонны к плазменному упрочнению без оплавления поверхности, рис. 2.30.
Легированные серые чугуны ХНМЧ и СЧХНМД из-за низкой теплопроводности требуют значительно меньших скоростей упрочнения и большей мощности с (целью получения гарантированного упрочненного слоя.
Рис. 2.30. Зависимость степени упрочнения серых чугунов после плазменного упрочнения без оплавления поверхности
3.СЧ-18-36 4.СЧ-21-40 5.СЧ-24-44 | |
| |
Из полученных данных следует, что плазменное упрочнение в режиме дуги наиболее эффективнее, по сравнению с режимом струи, в связи с высоким КПД нагрева. Скорость обработки оказывает существенное влияние на микротвердость чугунов, как при упрочнении в режиме струи, так и при упрочнении в режиме дуги. С увеличением скорости обработки (при постоянной мощности) снижается растворимость графита в оплавленной зоне, что вызывает уменьшение микротвердости. При увеличении мощности плазменной струи (дуги)растворимость графита увеличивается и микротвердость оплавленной зоны возрастает.Однако, дальнейшее повышение мощности вызываетувеличениеобъема жидкойванны иснижение скорости охлаждения. Упрочненный поверхностный слой на чугунах по глубине не однороден. Особенностью фазового упрочненного слоя является ис.содержание остаточного аустенита 30-
Рис. 2.31. Распределение микротвердости по глубине упрочненного слоя на чугуне СЧ-24-44 в зависимости от исходного состояния1-отжиг, 2-обычная закалка+отпуск, 3-закалка ТВЧ.
60% и повышенное содержание в нем. углерода 1,4 – 1,58 %, а также 20-30 % мартенсита и 20-40 % цементита.
Предварительная обработка чугунов (закалка, отжиг и т.д.) оказывает сильное влияние на распределение твердости по глубин^упрочненного слоя, рис. 2.31.
При упрочнении без оплавления поверхности в упрочненном слое образуются, в основном, аустенитно-мартенситные структуры с преобладанием мартенсита.
Анализ результатов плазменного упрочнения чугунов показывает, что степень их упрочнения в зоне оплавления зависит от химического состава, параметров упрочнения, температуры предварительного подогрева, исходного состояния.
Величина микротвердости в оплавленной зоне определяется, в основном, количественным соотношением цементита и аустенита, которое зависит от химического состава чугуна, степени растворения графита и скорости охлаждения жидкой ванны.
Глубина упрочненного слоя зависит от параметров режима упрочнения, исходной структуры чугуна, типа матрицы, ее дисперсности. Тип матрицы и ее дисперсность определяют скорость и полноту α→γ -превращения в чугунах.
Чем выше дисперсность ферритно-карбидной смеси, тем меньше пути диффузии углерода при превращении.
2.3.1. Плазменное легирование поверхностных слоев металла.
Одной из разновидностей плазменного поверхностного упрочнения является легирование поверхностного слоя металла из твердой, жидкой и газовой фазы [24-26].
Плазменное поверхностное легирование из газовой фазы
В работе, [24] исследован процесс плазменного поверхностного упрочнения с применением активных плазмообразующих газов на низкоуглеродистых конструкционных сталях. В общем виде механизм упрочнения можно представить следующим образом: при нагреве поверхностного слоя азотосодержащей плазменной струей (дугой) происходит насыщение металла азотом из плазмы. При последующем скоростном охлаждении образуются заключенные структуры, легированные азотом. Плазменное азотирование из газовой фазы проводится как с оплавлением поверхности так и без оплавления [24]. Кроме азотирования возможно проводить цементацию, нитроцементацию [21, 24, 42, 43].
Установлено [24], что при 60 % добавке азота к аргону начинает протекать процесс азотирования. На поверхности стали 20 образуется диффузионный слой со структурой γ1- фазы (Fe4N) и азотистой α- фазы, рис. 2.32. Однако наиболее интенсивно поверхностный слой насыщается азотом при 80-100 % содержании азота в плазмообразующем газе. В результате чего формируется слой внутреннего азотирования протяженностью 0,02-0,04 мм. Кроме стали 20, 45 в работе [24] исследовалась сталь 9ХФ. Обработка стали 9ХФ плазменной струей (100 % азота) приводит к перераспределению легирующих элементов V,Сr, Мn. Наиболее интенсивное перераспределение происходит в центре упрочненной зоны, так содержание марганца
повышается до 1,5% (0,45 в исходном), хрома до 0,83 % (0,6 % в исходном), ванадия до 0,31 (0,25 в исходном). Рентгенофазовый анализ показал наличие цементита, высокоазотистых нитридов Fe2N нитридов хрома при 18 % содержании остаточного аустенита.
При упрочнении плазмой сложного состава (80 % N2 +10 %Аr+ 10 % СО2) содержание углерода в поверхностной зоне карбонитридного слоя полученного на стали 20, достигает 0,3 % [24]. Толщина карбидной зоны 0,03-0,04 мм, а микротвердость 7800-8000 МПа при общей глубине упрочненного слоя 0,8 мм. По мнению [24] в упрочненном слое также возможно образование оксикарбонитридной фазы.
При обработке стали 20 азотосодержащей плазменной струей с оплавлением поверхности упрочненный слой имеет структуру ε и γ ́- фаз, соответствующих твердому раствору на базе нитридов Fе2N и Fе4N, рис.2.33. При травлении этот слой выявляется в виде светлой полоски, толщиной ≈ 0,1 мм с микротвердостью 6200-6500 Мпа. Ниже поверхностного слоя располагается диффузионная зона со структурой γ ́- фазы ( Fе4N) и α- фазы, где наблюдается провал микротвердости до 4200-3800 Мпа. Непосредственно к диффузионному слою премыкает нетравящийся слой с аномально высокой микротвердостью 12500-13000 Мпа. Это связано с увеличением содержания углерода в этом слое, по сравнению с основным металлом, рис. 2.34. Увеличение содержания углерода способствует повышению устойчивости аустенита при охлаждении и, как следствие, образование карбидного мартенсита инебольшого количества остаточного аустенита (≈7 %), рис.2.35. Общая глубина упрочнения составила 0,8 мм., а азотированного слоя – 0,35 мм.
Рис. 2.32. Распределение микротвердости по глубине азотированного слоя (а) и рентгенограмма поверхностной нитридной зоны на стали 20 (без оплавления)
Рис. 2.33. Распределение микротвердости по глубине азотированного слоя (а) и рентгенограмма поверхностной нитридной зоны (б) на стали 20 (с оплавлением поверхности)
Рис. 2.34. Распределение углеродов в упрочненном слое стали 20 при обработке азотной плазменной струей (с оплавлением поверхности)
Рис. 2.35. Рентгенограмма зоны внутреннего азотирования на стали 20 при обработке азотной плазменной струей с оплавлением поверхности
Дальнейшее увеличение мощности плазменной азотосодержащей струи при упрочнении с оплавлением поверхности вызывает интенсивное порообразование. Происходит «азотное кипение» ванны расплавленного металла, что связано с увеличением скорости поглощения азота поверхностью из плазмы (предел растворимости азота в стали наступает почти мгновенно [24].
Распределение содержания азота по глубине диффузионных слоев снижается от поверхности к сердцевине основного металла, рис.2.36.
В работе [24] определены величины и знак остаточных напряжений после плазменного азотирования стали 20,9ХФ. Максимальные сжимающие напряжение зафиксированы в зоне нитридных фаз (на глубине 30 мкм).
Рис. 2.36. Распределение содержания азота по глубине азотированного слоя на стали 20
1. обработка без оплавления
2. обработка с оплавлением
3. обработка с парообразованием
Рис. 2.37. Распределение остаточных напряженийпо глубине азотированного слоя на стали 20
1. обработка без оплавления;
2. обработка с оплавлением.
Таким образом, использование активных плазмообразующих газов позволяет за доли секунды проводить химико-термическую обработку поверхностного слоя, как с оплавлением поверхности, так и без оплавления. Глубина легированного слоя в зависимости от режимов упрочнения может достигать 0,2-0,5 мм с микротвердостью на стали 20 6500-1300 Мпа, что значительно выше, чем при простой плазменной закалке.
Плазменное легирование из твердой фазы. Цементация.
В работах [26, 44] рассмотрены вопросы плазменной поверхностной цемента фазы. Сущность способа заключается в нанесении на поверхность металла углеродосодержащей обмазки или покрытия, которое оплавляется под воздействием плазменной струи. Под действием газодинамического напора плазменной струи происходит интенсивное перемешивание жидкого металла с углеродом и при последующей скорости кристаллизации образуется легированный углеродом слой.
В работах [26, 44] показано, что плазменная цементация из твердой фазы возможна только с оплавлением поверхности.
В качестве основного компонента углеродосодержащих паст, обмазок, покрытий наиболее часто используют графит [26, 44]. При нанесении на сталь 20 углеродосодержащей пасты и последующего ее оплавления плазменной струей, в упрочненном слое образуются три зоны.
Первая зона (глубиной до100-120 мкм) является зоной легированной углеродом, с микротвердостью 8400-9200 Мпа. Структура не вытравливается.
Вторая зона глубиной до 50-100 мкм) является зоной закалки из твердой фазы,
Структура - мартенсит и остаточный аустенит. Микротвердость по глубине распре делена неравномерно, т.к. в этой зоне имеются структуры полном (ближе к легированной зоне) и неполной (нижняя граница зоны) закалки.
Рис. 2.38 Распределение микротвердости по глубине
легированного слоя (а), рентгенограмма
легированного слоя на стали 20 (б)
Третья зона - переходная зона, образовавшаяся при нагреве ниже точки Ас3.
Рентгеноструктурным анализом, рис. 2.38. выявлены, наряду с линиями γ - фазы и цементита линии смеси α- фазы и цементита. Средняя концентрация углерода в легированном слое составляет ≈ 3,5 %, количество остаточного аустенита (10-12 %).
При плазменной цементации возможно получить слой не только с легированной аустенитно-мартенситной структурой., но и слой со структурой белого чугуна [26]. Структура белого чугуна была получена на стали 20. Нагрев и выдержка при температуре 500° С не выявил снижение микротвердости, которая осталась на уровне 6500-8000 Мпа.
В работах [26, 44, 45] установлены зависимости между параметрами плазменного упрочнения на глубину и ширину цементированного слоя, рис. 2.39., 2.40.
Рис. 2.39. Влияние скорости обработки
на глубину и ширину цементированной зоны.
Рис. 2.40. Зависимость глубины цементированной зоны
от мощности плазменной струи.
На глубину и твердость легированного слоя сильное влияние оказывает толщина углеродосодержащей обмазки, эффективное расплавление которой зависит от мощности плазменной струи, рис. 2.41.
Рис. 2.41. Влияние толщины углеродосодержащей пасты
на мощность плазменной струи.
Рентгеноструктурный и фазовый анализ сталей 45, ЗОХГСА, 40Х, 20X13, 12ХФ1, проведенный в работах Скрипкина А.А., показал, что после плазменной цементации из твердой фазы в поверхностном слое углеродистых и легированных сталей происходит сильное перераспределение легирующих элементов в упрочненном слое. В упрочненном слое, в зависимости от режимов обработки, остаточные напряжения имеют резко выраженную неоднородность. По глубине упрочненного слоя остаточные напряжения распределяются следующим образом: в оплавленной зоне (50-100 мкм) зафиксированы растягивающие напряжения, которые переходят в сжимающие во втором слое (10-20 мкм) со структурой мартенсита. В переходной зоне зафиксированы напряжения растяжения. Сильное влияние на характер распределения остаточных напряжений оказывает химический состав стали и параметры обработки.
Рис. 2.42. Влияние дополнительного тока,
пропускаемого через деталь
на глубину легированного слоя стали 20
при плазменной цементации.
1. Р=2кВ; 2. Р=3кВ; 3. Р=4кВ; 5. Р=6кВ; 6. Р=8кВ
Для увеличения глубины легированного слоя можно использовать электротермический эффект (через деталь пропускается электрический ток). Проведенные исследования на сталях 3, 20, 40, 20X13, ЗОХГСА показали, что глубина легированного слоя (углеродом) может достигать 0,6-1 мм и зависит от параметров режима упрочнения, параметров дополнительного тока (род тока, сила тока и т.д.), рис. 2.42.
Электротермический эффект можно использовать практически во всех способах плазменного легирования, использующих плазменную струю. Важной особенностью данного эффекта является возможность легирования без оплавления поверхности.
При использовании плазменной дуги, глубина легированного слоя в 1,5-2 раза больше по сравнению с плазменной струей, за счет электронного тока. Однако легирующие обмазки должны проводить электрический ток с целью обеспечения стабильности плазменного упрочнения в режиме дуги.
Азотирование.
В качестве паст, обмазок используют азотосодержащие соли. Насту со связующей связкой наносят на поверхность изделия слоем толщиной 0,5-1,5 мм и проводят плазменный нагрев с оплавлением поверхностности. В поверхностном слое на стали 20 образуется не только α→γ твердые растворы азота в железе, но и нитрид Fе2,N. Микротвердость легированного слоя достигает 8400-8800 Мпа.
При использовании электротермического эффекта (ЭТЭ) глубина азотированного слоя возрастает, табл. 2.15.
табл. 2.15.
| Марка стали | Микротвердость, МПа | Глубина, мм | |
| Плазменное легирование | Без ЭТЭ | с ЭТЭ | |
| 1. | 2. | 3. | 4. |
| Ст.3 Сталь 10 20 45 40Х 30ХГСА | 8900-9500 6700-8000 7500-9000 10500-11400 12100-14000 10500-11800 | 0,15-0,3 0,30-0,35 0,30-0,4 0,35-0,40 0,25-0,35 0,3-0,4 | 0,6 0,7-0,8 0,7-0,8 0,6-0,9 0,8-1,2 0,8-1,2 |
Борирование
Плазменное борирование осуществлялось при помощи специальных активных паст на основе порошка карбида бора. Диффузионный слой на стали 20 состоит из вытянутых и ориентированных перпендикулярно поверхности боридных фаз (FеВ,Fе3В). Толщина слоя составляет 0,1-0,180 мкм. На поверхности образуется FеВ и Fе2В (под слоем). На стали 65Г и 45 борированные слои имеют меньшую глубину, т.к. углерод препятствует диффузии бора в железе и оттесняется вглубь, образуя карбобориды по границам зерен. Микротвердость борида FеВ 18000-20100 Мпа, а Fе2В- 15000-16500 Мпа. При борировании возможно образование наряду с фазами FеВ и Fе2В- β- модификации бора с микротвердостью 25000-30000 Мпа. Однако, в наших исследованиях на стали 5, 10, 20, 45, 65Г, У10 такой модификации не зафиксировано.
Нитроцементация. Одновременноенасыщениеповерхностныхслоев стальных изделий углеродом и азотом проводилось при помощи паст на основе (K4Fe(CN)6 +
| Рис. 2.43.Распределение остаточных напряжений по глубине нитроцементированного слоя стали. 1 – сталь 20 2 – сталь 45 |
графит + связующее вещество. На стали 20 глубина легированного слоя достигает 0,3-0,45 мм. Концентрация углерода в поверхностном слое может достигать 2-3%, а азота 1,5-2,1%. Количество остаточного аустенита находится в пределах (5-18%) и зависит от скорости нагрева и охлаждения. При обработке холодом остаточный аустенит почти полностью устраняется. Микротвердость на поверхности стали 20 достигает 9800-10800 МПа.
Нитроцементированный слой на стали 45 содержит мартенсит + остаточный Аустенит. Определение остаточного напряжения показало, что максимальные напряжения сжатия расположены на 50-110 мкм от поверхности. По всей видимости это связано с высокой концентрацией азота и углерода в поверхностном слое и как следствие этого - повышенным количеством остаточного аустенита.
Плазменное легирование из жидкой фазы
Подробно процесс плазменного упрочнения в жидких средах рассмотрен в работе [25], где указывалось на возможность химико-термического упрочнения при использовании различных насыщающих жидкостей (углеродосодержащих, азотосодержащих и т.д.), рис. 2.44.
Рис. 2.44. Влияние среды на степень упрочнения стали 45
-
исходная твердость до упрочнения
-
плазменное упрочнение на воздухе
-
плазменное упрочнение в 80% растворе хлористого аммония
-
плазменное упрочнение в воде
Для насыщения поверхностного слоя углеродом или азотом обрабатываемую деталь погружают в жидкость, содержащую углерод (толуол, минеральное масло и др.) или азот (водяной раствор хлористого аммония и др.)
В работе [25] был исследован процесс азотирования из жидкой фазы (водный раствор хлористого аммония) на образцах стали 20, 45, 50, 9ХФ, 38ХНМЮЛ.
Установлено, что процесс азотирования наблюдается только при оплавлении поверхности, рис. 2.45.
Рис. 2.45. Влияние мощности плазменной струи на микротвердость стали 20.
I. закалка без оплавления
II. закалка с оплавлением
III.Плазменное легирование из жидкой фазы.
Азотированный слой на стали 20 представляет собой белую плохо травящуюся полоску карбонитридного состава, содержащую ≈ 4 % азота, ≈ 1,5 углерода, ≈ 10-15% остаточного аустенита. Содержание остаточного аустенита на стали 20 возрастает с увеличением длительности насыщения и концентрации азота в растворе.
Комбинированные способы плазменного легирования
Рис. 2.46. Влияние среды на степень упрочнения на стали 3.
-
исходная твердость
-
плазменное упрочнение на воздухе
-
плазменное упрочнение в воде
4,5. плазменное упрочнение в солевом растворе NaCO (без оплавления и с оплавлением соответственно)
6. плазменное упрочнение в солевом растворе NaCO с добавкой 20% CО к плазмообразующему аргону (без оплавления)
К комбинированным способам плазменного легирования относятся способы плазменного легирования (твердая фаза + жидкая фаза; твердая фаза + жидкая + газовая фаза и т.д.) рис. 2.46.
Плазменное легирование из жидкой, твердой и газовой фазы
Исследования проводились на стали 20, 45. В качестве жидкой среды использовался водный раствор соли аммония (различной концентрации), газовые среды (азот и пропан, СО2), пасты (углеродосодержащие, азотосодержащие).
Азотирование Проведенные исследования показали, что увеличение концентрации азота в зоне обработки приводит к повышению содержания азота в поверхностных слоях, следствием чего является увеличение глубины слоя и микротвердости, табл. 2.16. Микроструктура слоя после комплексного легирования такая же, как и после простого азотирования из газовой и твердой фазы. Непосредственно на поверхности образуется насыщенная азотом нетравящаяся ε – фаза, за ней переохлажденная γ – фаза, под которой находится азотистый мартенсит.
Нитроцементация. Особенностью комбинированного способа нитроцементации при плазменном упрочнении является повышенная концентрация азота и углерода. Слой наибольшей твердости и глубины получается при комбинации: плазмообразующий газ (азот 100 %) + азотоуглеродосодержащая паста.
Глубина диффузионного слоя на стали 20 составляла 0,6-1,1 мм, микротвердость 11000-12500 Мпа. Микротвердость повышается при увеличении скорости нагрева. Нагрев с большей скоростью уменьшает время, в течении которого азотоуглеродосодержащая паста находится в расплавленном состоянии, что увеличивает концентрацию активных атомов углерода и азота на границе раздела: насыщенная среда - поверхность металла. Однако, концентрации азота и углерода приводит к увеличению остаточного аустенита (от 2,5 до 10 % на стали 20), что снижает микротвердость. Глубина диффузионного слоя на стали 45 составляла 0,65-0,8 мм., а микротвердость 11200 -13000 Мпа. Содержание остаточного аустенита увеличивается при повышении скорости обработки (от 8 до 15 %). Нитроцементированный слой на стали 45 после легирования по структуре аналогичен процессу нитроцементации, описанному выше.
Табл. 2.16.
| Марка стали | Вариант легирования | Глубина слоя, мм | Микротвердость, Мпа | ||||||
| Легированного | Общая | ||||||||
| 1 | 2 | 3 | 4 | 5 | |||||
| Сталь 20 |
(с оплавлением)
| 0,3-0,35 0,35-0,55 0,6-0,8 0,6-0,8 0,75-0,1 0,75-0,1 0,6-0,8 | 0,7 0,9 1,8 2 3 1,2 2 | 8100-8200 8300-9400 8800-12000* (пористая поверхность) 7200-8800 9100-11300* (пористая поверхность) 8800-9500 8800-9200 | |||||
Эффект «азотного кипения»
Многокомпонентное насыщение (N,С,В,Сг,V,Тi,W,Ni и др.)
Плазмообразующий газ (60 % азота +10% пропана + 30 % аргона) + боросодержащая паста (режим с оплавлением поверхности). В оплавленной зоне на стали 45 ближе к поверхности расположен слой, содержащий бориды ( FеВ,Fе3В), глубиной 10-50 мкм, под ним располагается слой содержащий нитрид Fе2N, карбонитрид Fе2(СN), азотистый мартенсит, остаточный аустенит (10 %) глубина слоя 0,2-0,3 мм, рис. 2.48.
Рис. 2.48.Распределение микротвердости
по глубине легированного слоя на стали 45
1.Р=4кВт
2.Р= 6,5 кВт
Плазменное легирование стали 20 карбидами (порошки) + плазмообразующий газ (60 % азота, 40 % аргона) в режиме оплавления поверхности показало, что в упрочненном слое образуются диффузионные слои сложного состава. Так, при использовании карбида титана, в диффузионном слое образуется нитрид титана, карбид титана, интерметаллид Fе2Т1, оплавленная зона состоит из α- твердого раствора на основе железа и α- титана. При легировании WC (порошок) + (порошок) + плазмообразующий газ (аргон 90 % + 10 % пропана) упрочненный слой имеет композитное строение.
Предварительное нанесение нитрида титана на поверхность стали 20 с последующей плазменной обработкой азотной струей (без оплавления поверхности) увеличивает глубину диффузионного слоя на 30-50 % и микротвердость на 40-50 %.
Возможны другие способы комбинированного легирования, позволяющие увеличивать глубину и микротвердость легированного слоя, такие как ХТО + плазменное легирование; нанесение покрытия + плазменное легирование (с оплавлением и без оплавления); термодеформационное упрочнение + плазменное легирование; электроискровое легирование + плазменное легирование и т.д.).
Плазменное легирование можно использовать для упрочнения титановых сплавов (в часности азотирование и цементирование из газовой фазы, карбоборирование, карбосилицирование из твердой фазы) алюминиевых, медных и других сплавов.
2.3.2. Плазменное упрочнение в сочетании с другими способами воздействия на металлы
Плазменное упрочнение в сочетании с другими способами: такими как объемная закалка, закалка ТВЧ, лазерная закалка, ультразвуковая обработка, термодеформационное упрочнение, наплавка, напыление и др. позволяют повысить механические свойства упрочненных деталей. В работе [9] показаны различные варианты комплексного упрочнения. Исследованы структура, твердость, трещиностойкость и характер разрушения сталей ЗОХ1ГСА, 45, 9ХФ, 150ХНМ при различных сочетаниях объемной и плазменной термической обработки (плазменная закалка + отпуск, объемная закалка +пламенная закалка + отпуск). Использование комплексного упрочнения позволяет повысить трещиностойкость, микротвердость и износостойкость, по сравнению с простой плазменной закалкой в 1,5-2 раза. Плазменное упрочнению в сочетании с предварительной закалкой ТВЧ позволяет повысить трещиностойкость, ударную вязкость, пластичность в 1,3-2 раза, при сохранении твердости и износостойкости поверхности на высоком уровне [9]. Комплексная технология плазменного упрочнения включает в себя:
-закалка ТВЧ + плазменное упрочнение;
-закалка ТВЧ + отпуск + плазменное упрочнение
(температура отпуска 290, 300, 400 ° С).
Упрочненная таким способом деталь имеет композиционный рабочий слой [9] с высокой износостойкостью и трещиностойкостыю, и относительно, мягкую
пластичную сердцевину, рис. 2.49. Природа образования внутреннего отпущенного слоя аналогична случаю плазменного упрочнения предварительно закаленных сталей.
Рис. 2.49. Схема расположения упрочненных
слоев при плазменном упрочнении после закалки ТВЧ
1- слой плазменного (воздействия
2- отпущенный слой
3- слой закалки ТВЧ.
Более сложный композиционный рабочий слой образуется после комбинации:
- объемная закалка + плазменная закалка + лазерная закалка + отпуск
(температура отпуска 200° С);
- закалка ТВЧ + отпуск + плазменная закалка + лазерная закалка + отпуск
(температура отпуска 200° С);
- закалка ТВЧ +отпуск + плазменная закалка+ лазерная закалка
(температура отпуска 200° С).
Каждый из способов в отдельности обеспечивает определенную глубину упрочненного слоя и степень дисперсности мартенсита в нем
ZТВЧ› ZП.З. › ZЛ.З. , dТВЧ › dП.З. › dЛ.З.
где Z - глубина упрочненного слоя после закалки ТВЧ, плазменный и лазерный соответственно;
d - размер зерна после закалки ТВЧ, плазменной и лазерной соответственно.
Использование этих способов в определенной комбинации позволяет повысить микротвердость рабочей поверхности и трещиностойкость. Повышение трещиностойкости обусловлено увеличением степени дисперсности мартенсита, т.к. критическое напряжение хрупкому разрушению обратно пропорционально размеру
зерна. Кроме того, образование нескольких слоев в упрочненном слое, после комплексной обработки, (с различными структурными составляющими) изменяет микромеханизм разрушения, рис. 2.48. Трещины, распространяющиеся от поверхности в глубь упрочненного слоя, при переходе из твердого и хрупкого слоя лазерной закалки тормозятся в мягком и пластинчатом слое отпуска.
Рис. 2.49. Схема расположения упрочненных слоев
и распространения микротвердости по глубине после комплексной обработки
1,З,5 - слой лазерной, плазменной и ТВЧ закалки,
2,4,6 -отпущенные слои,
7 - основной металл
Несмотря на усложнение технологии упрочнения, комплексная обработка позволяет регулировать эксплуатационные характеристики в достаточно широких пределах, что позволяет добиться благоприятного соотношения параметров прочности, пластичности и трещиностойкости.
Более высокий комплекс механических свойств металлов и сплавов достигается совмещением различных средств воздействия на структуру (например, термическое и деформационное воздействие).
Аустенит, образующийся при плазменном нагреве, обладают более развитой субструктурой. Дальнейшее деформирование такого аустенита при высокой температуре приведет к значительным изменениям в субструктуре после закалки, Кроме того, микронеоднородность аустенита, образующегося при плазменном нагреве (вследствие частичной гомогенизации), при его дальнейшем деформировании приводит к образованию мелкой текстуры неоднородностей, что усложняет морфологию мартенсита после закалки.
Для оценки влияния предварительной деформации на степень измельчения зерна аустенита после плазменного упрочнения, была выбрана сталь 45. Образцы готовили волочением заготовок одинаковой исходной структуры и разных размеров, с целью получения требуемых деформаций от 0 до 90 %. Параллельно исследовались образцы после плазменного упрочнения без деформации.
В результате проведенных исследований построенные пространственные диаграммы, учитывающие влияние скорости нагрева, степени деформации на размер аустенитного зерна, рис.2.50
Рис. 2.50. Зависимость величины зерна аустенита в
стали 45 от степени предварительной пластической
деформации скорости нагрева при
плазменном упрочнении
Из диаграммы видно, что по мере увеличения скорости нагрева и степени деформации, процесс измельчения зерна стабилизируется. Наиболее сильное измельчение зерна происходит в интервале скоростей нагрева 10-10, при степени деформации от 10 до 60%.
Эффект измельчения зерна при такой комплексной обработке заключается в том, что вследствие предварительной пластической деформации структура аустенита становится более однородной, в связи с уменьшением количества аномально больших зерен и их предварительного размера. По мере увеличения скорости нагрева, степень деформации оказывает сильное влияние на размеры зерна. Чем дисперснее структура к началу
α→γ -превращения, тем более мелкозернистым получается аустенит.
При распаде такого аустенита получается высокодисперсный мартенсит, отличающийся более высокими механическими свойствами.
Проведенные исследования показали, что с увеличением степени деформирования и скорости нагрева в упрочненном слое возрастает плотность дефектов кристаллической структуры. Кроме того, эффект измельчения зерна аустенита наиболее сильно проявляется при обработке сталей с грубодисперсной структурой (в закаленных сталях эффект измельчения проявляется незначительно.
На рис. 2.51. Приведены данные о влиянии предварительного деформирования
стлали 45 на микротвердость упрочненного слоя после плазменной закалки. Повышение микротвердости связано с наследованием аустенитом дислокационной структуры деформирования α - фазы. Электронно-микроскопичесикй анализ показал, что в упрочненном слое размеры игл мартенсита сильно уменьшены, по сравнению с простой плазменной закалкой. С увеличением степени деформации величина относительного измельчения возрастает.
Рис. 2.51. Влияние предварительной пластической деформации
на миктотвердость упрочненного слоя на стали 45 (плазменное упрочнение без оплавления) 1- 20% деформации; 2- 50% деформации; 3- 85% деформации
Многообразие возможных вариантов комбинированного воздействия (термического и деформационного) на структуру, позволяет формировать в широких пределах окончательные свойства детали. При разработке технологических вариантов основные параметры (температура нагрева, скорость нагрева, степень де формации) должны выбираться из расчета достижения максимального эффекта измельчения зерна аустенита. Усложнение технологии упрочнения компенсируется высоким механическими свойствами обработанных деталей. На практике возможно осуществить следующие варианты:
- холодная пластическая деформация + отжиг + плазменная закалка + отпуск:
- плазменная закалка + деформация (в интервале температур Аr3 и Аr1) +отпуск,
- плазменная закалка + отпуск + деформация;
- объемная обработка + отпуск + холодная пластическая деформация + отжиг + плазменное упрочнение.
Эффективность применения плазменного поверхностного упрочнения с целью повышения износостойкости изделий во многом зависит от соотношения глубины упрочненной зоны Z к допустимой величине износа h. Для большинства изделий глубина упрочнения во много раз меньше, чем износ. Поэтому плазменное поверхностное упрочнение целесообразно использовать в комплексе с операцией наплавки. Применение комплексной технологии упрочнения ( наплавка + плазменное упрочнение) позволяет в очень больших пределах регулировать не только глубину, но и структуру наплавленного металла. Основные подходы к выбору наплавленного металла сформулированы в работе [9].
Первый подход состоит в использовании низко- или среднеуглеродистых низколегированных сталей (применяемых для восстановления геометрических размеров детали) типа 18ХГС, З0ХГСА и т.д.
Второй подход - использование низко- или среднеуглеродистых среднелегированных сталей мартенситного или мартенситно-карбидного класса типа 10Х5МТ, ЗОХ2М2ЕФ и т.д.
Выбор этих сталей определяется экономным легированием, обеспечивающим износостойкость при нормальной и повышенной температуре, теплостойкость, ударную вязкость и т.д. [9].
Металл, наплавленный проволокой Св-З0ХГСА под флюсами АН-60, АН-348А, ОСЦ45, АН-26 и др. в исходном состоянии имеет невысокую микротвердость – 1950-2800 Мпа. Последующая операция упрочнения повышает значение микротвердости до 5000-7100 МПа, Наплавка стали 3 проволокой Св-08Г2С,
Св-10ГА, Св- 18ХГСА, Св-18ХМА в среде углекислого газа не позволяет получить высокую твердость наплавленного слоя. Последующая операция плазменного упрочнения увеличивает микротвердость до 5000-8000 МПа. При наплавке порошковой проволокой ПП-АН-124, наплавленный металл имеет микротвердость порядка 6000-7500 МПа, после плазменного упрочнения микротвердость наплавленного металла возрастает до 7700-8900 Мпа.
Использование плазменного поверхностного легирования (азот, углерод, бор и т.д.) позволяет повысить микротвердость наплавленного слоя в 2-5 раза, по сравнению с исходным состоянием. Так, сталь 20, наплавленной проволоки Св-08А под флюсом
АН-60 после плазменной нитроцементации из газовой фазы имеет микротвердость 7000-9000 МПа.
Часто, на практике, при восстановлении геометрических размеров изделий требуется, чтобы наплавленный металл механически хорошо обрабатывался и в то же время имел высокую износостойкость. Например, при наплавке колесных пар железнодорожного транспорта используется проволока Св-08А, Св-08ХМ, Св-10Г2,
Св-18ХГСА и флюсы АН-60, АНЦ-1, АН-348 А, АНК-18, смеси этих флюсовэ а также смеси флюса АНК-18 с кварцевым песком. В зависимости от режимов наплавки и материалов, содержание химических элементов в наплавленном металле изменяется в очень широких пределах: С 0,04-0,7 %, Si 0,1-0,5 %, Мn 0,7-1,6 %, Сr 0,07-2,8 %. Это позволяет получать в наплавленном слое различные структурные составляющие (феррит - перлит - сорбит - тростит - бейнит - мартенсит) с различной твердостью от 190 до 600 НВ.
Оптимальная твердость наплавленного металла, обеспечивающая хорошую обрабатываемость и незначительное повышение износостойкости в процессе эксплуатации, находится в пределах НВ 240-280. Дальнейшее повышение твердости можно обеспечить при помощи плазменного упрочнения на глубину 3-4 мм с твердостью закаленного слоя HRС 45-62 в зависимости от условий эксплуатации.
Выбирая состав наплавленного металла для последующего плазменного упрочнения, необходимо учитывать условия эксплуатации изделия. Повышение содержания углерода до 0,4-1 % приводит к росту твердости и износостойкости, однако трещиностойкость наплавленного и упрочненного металла резко падает, Повысить трещиностойкость удается, наплавляя на изделие материалы, подвергающиеся закалке имеющие вязкость разрушения большую, чем материалы изделия (30ХГСА, 15Х3МФ, 25Х5ФМС и др.). [9]
По мнению [9], применение технологии наплавки к упрочнения позволяет чередовать прочные и мягкие слои, что создает возможность затормозить распространение трещины в результате изменения напряженно- деформированного состояния в ее вершине. Остановка трещины по механизму образования микрорасслоения на границе слоев с различными физико-химическими свойствами происходит из-за разного увеличения радиуса ее вершины [9].
Таким образом, использование при восстановлении изделий комплексной технологии наплавки и плазменного упрочнения позволяет повысить износостойкость и трещиностойкость восстановленных деталей машин и инструментов. Плазменное поверхностное упрочнение позволяет повысить эксплуатационные свойства напыленных покрытий (прочность сцепления, микротвердость, износостойкость) [9]. При напылении, покрытие и основной металл практически всегда являются разнородными по составу и свойствам. Высокий градиент свойств на границе покрытие - основной металл существенно снижает прочность сцепления. После плазменного упрочнения (без оплавления) покрытия, его микроструктура становится мелкодисперсной с равномерно распределенными карбидами легирующих элементов. На границе покрытие - основной металл происходит выравнивание свойств. Устраняется характерный для такого типа соединений скачок миквотвердости, способствующий отслоению покрытий.
Проведенные эксперименты с металлизационными покрытиями (30ХГСА, 65Г) показали, что после плазменного упрочнения без оплавления покрытия, прочность сцепления (штифтовая проба) напыленного слоя с подложкой повысилась на 15-30%.При использовании комплексной технологии (металлизация + плазменное упрочнение + холодное прессование) удается значительно повысить прочность сцепления (на 30-50 %) напыленного слоя с основным металлом. Покрытие приобретает однородную мелкодисперсную структуру без пор и пустот. Износостойкость таких покрытий повысилась в 1,5-2 раза, что показывает перспективность использования плазменного упрочнения при обработке напыленных покрытий.
2.4. Свойства сталей после плазменного упрочнения
Основная цель поверхностного упрочнения концентрированными потоками энергии сталей, чугунов, цветных сплавов, является повышение износостойкости. Однако, высоко дисперсный структура упрочненного поверхностного слоя металла, характеризующуюся высокой твердостью, оказывает определенное влияние на изменение не только износостойкости, но и других механических свойств (прочность, пластичность, выносливость, трещиностойкость) тепло- и коррозиностойкость. Кроме того, работоспособность многих деталей часто зависит не только от механических свойств, сколько от физических. Так, например, стойкость режущего инструмента тем выше , чем меньше тепло- и температуропроводность инструментальной стали.
В случае низкой теплопроводности разогрев режущей кромки инструмента меньше, так как теплоотвод осуществляется больше стружкой, чем инструментом.
Влияние поверхностного упрочнения на механические и физические свойства металлов и сплавов наиболее широко исследовано для случая лазерного термоупрочнения [1, 15, 16. 32, 35, 48-50], в меньшей степени для электронно-лучевого упрочнения 52-56. Применительно к плазменному упрочнению, таких работ очень мало [9, 24, 25, 51].
Анализ многочисленных работ по поверхностному упрочнению концентрированными источниками нагрева сталей 09Г2С, 3, 26, 30, 45, 60, 4СХ, 65Г, ЗОХГСА, 9ХФМ, У8, У10, У12, 65ХЗМФ, ШХ15, 38ХС, ХВГ показывает, что упрочнение в большинстве случаев снижает прочные характеристики ( σв, σ02 ) на 5-40 %, характеристики пластичности на 150-300 % 3. Установлено, что ударная вязкость стали 09Г2С снижается на 10-15 %, стали 20 на 15=20 %, стали 45, 60, 40Х, 65Г
на 40-70 %, стали У8,У10, 9ХФ на 50-70 %. Снижение ударной вязкости обусловлено высокой хрупкостью закаленного слоя и, как следствие этого, очень низким значением работы зарождения трещины в этом слое.
Табл. 2.17
| Материал | Кн | КС Мдж/м2 | КС3 Мдж/м2 | КСр Мдж/м2 | υ м/с | Рmax, кН | РсД кН | К1сД Мпа/м1/2 |
| 30ХГСА (наплавка) 45 50ХН 65Х3ФМ 9ХФ | 1,0 2,0 3,5 1,0 2,0 4,7 1,0 1,8 4,5 1,0 1,7 4,7 1,0 1,7 3,8 | 0,18 0,13 0,11 0,36 0,18 0,13 0,51 0,19 0,19 0,24 0,10 0,08 0,11 0,08 0,07 | 0,14 0,10 0,07 0,33 0,15 0,10 0,37 0,12 0,10 0,20 0,07 0,06 0,09 0,06 0,02 | 0,04 0,03 0,04 0,03 0,03 0,03 0,14 0,07 0,09 0,04 0,03 0,02 0,02 0,02 0,02 | 250 240 240 200 190 200 70 77 66 230 240 230 270 300 300 | 10,20 9,39 8,75 7,80 7,00 7,50 7,60 6,30 5,50 7,20 6,00 5,60 6,60 6,56 5,10 | 9,15 8,11 7,43 7,15 5,70 5,35 6,45 5,20 4,40 6,35 5,10 4,75 5,35 5,75 4,20 | 23,3 20,6 18,9 18,2 14,5 13,6 15,4 13,2 11,2 16,1 12,9 12,1 13,6 14,6 10,7 |
| Степень повышения твердости Кн = Нупр/ Нисх, КС – ударная вязкость, КС3 – работа зарождения трещины, КСр – работа распространения трещины, Рmax – максимальное усилие разрушения, РсД – расчетное разрушающее усилие, υ – скорость распространения трещины, К1сД – критический коэффициент интенсивности напряжений. | ||||||||
Испытания на трещиностойкость табл. 2.17. упрочненных сталей 45, ЗОХГСА, 5ЭХР1, 9ХФ, 65ХЗМФ показали [9], что процесс разрушения этих сталей происходит в несколько этапов. Субмикроскопическая трещина зарождается, растет в закаленной зоне и останавливается в переходной зоне (более пластичной) упрочненного слоя. Для дальнейшего ее распространения необходимы существенно большие усилия, чем усилим зарождения в закаленном слое. Качественный анализ диаграмм разрушения и фрактографический анализ изломов показал, что разрушение упрочненных сталей с содержанием углерода до 0,9 %, происходит по механизму «множественного» разрушения с торможением трещины в переходной зоне по механизму искривления траектории. Эффект торможения трещины не приводит к повышению трещиностойкости, из-за недостаточно высокой вязкости разрушения слоя основного металла, распространенного под упрочненным слоем.
Исследование заэвтектоидных сталей [9], упрочненных плазменным нагревом, не выявило эффекта торможения трещины в переходной зоне. Кроме того, плазменное упрочнение этих сталей не приводит к снижению трещиностойкости из-за их высокой хрупкости в исходном состоянии.
Плазменное упрочнение с оплавлением поверхности приводит к повышению трещиностойкости на сталях содержащих менее 0,37 % углерода. На сталях с большим содержанием углерода трещиностойкость снижается, что проявляется в межзерновом характере разрушения оплавленного слоя.
Плазменное упрочнение с перекрытием дорожек упрочнения на 30, 50, 75 % существенно повышает трещиностойкость, но несколько снижает износостойкость.
Повышение трещиностойкости и снижение износостойкости обусловлено образованием: зоны отпуска ( с троститно-сорбитной структурой) в месте перекрытия дорожек упрочнения. Регулируя степень перекрытия и режимы упрочнения, можно получить на рабочей поверхности чередующиеся по определенному закону твердые (хрупкие) и мягкие (пластичные) участки.
Табл. 2.18.
Результаты испытаний образцов после комплексного поверхностного упрочнения (температура + 20º С)
| Технология упрочнения, марка стали | σ02 МПа | σв МПа | δ % | φ % | КС МДж/м2 | К1сД Мпа/м1/2 |
| 1 | 2 | 3 | 4 | 5 | 6 | 7 |
| Закалка ТВЧ + плазменная обработка стали У8 75Х2МФ Закалка ТВЧ + отпуск+плазменная обработка при температуре отпуска, º С У8200º С 300º С 400º С 75Х2МФ200º С 300º С 400º С | 920 1180 900 1020 705 1120 1300 980 | 1240 1310 1190 1360 880 1310 1480 1060 | 5 4 2 7 5 2 7 4 | 28 24 16 31 27 14 28 24 | 0,048 0,053 0,030 0,058 0,046 0,027 0,070 0,050 | 5,32 7,47 3,18 8,07 5 14 4,83 9,84 7,34 |
Оценка трещиностойкости материалов после плазменного упрочнения, установление характера разрушения для различных вариантов упрочнения позволило авторам [9] разработать комплексную технологию упрочнения сталей 45, ЗОХГСА, 9ХФ, У8, 75Х2МФ, 150ХНМ, обеспечивающую получение высоких механических свойств, износостойкости и трещикостойкости, табл.2.18
Высокий комплекс механических свойств, а также повышение трещиностойкости и износостойкости получается при использовании комплексного упрочнения
| Рис. 2.52. Влияние предварительной пластической деформации на механические свойства стали 45 после плазменной закалки |
(деформация + плазменная
закалка), рис.2.52.
Повышение механических свойств после плазменного упрочнения обусловлено образованием
высокодисногоогомартенсита в упрочненном слое.
Увеличение степени дисперсностимартенсита и микротвердости является одной из главных причин повышения трещиностойкости и износостойкостипосле такой комплексной обработки.
Комплексная обработка, включающая в себя закалку ТВЧ + плазменную
закалку + лазерную закалку,
позволяет регулировать эксплуатационные свойства упрочненных деталей, табл.2.19.
Табл.2.19.
Результаты испытаний образцов из стали У8 комплексного упрочнения
(температура испытаний 250º С)
| Технология упрочнения | σ02 МПа | σв МПа | δ % | φ % | КС МДж/м2 | К1сД Мпа/м1/2 |
| 1 | 2 | 3 | 4 | 5 | 6 | 7 |
| 1. Закалка и отпуск + (250º С)+ плазменная закалка 2. Закалка ТВЧ + плазменная закалка + лазерная закалка 3. Закалка ТВЧ + плазменная закалка + лазерная закалка + отпуск 180º С 250º С 300º С 400º С | 980 1150 1200 1020 900 700 | 1300 1510 1580 1390 1080 920 | 6,2 7,8 7,9 7,1 6,2 5 | 29 38 40 38 30 25 | 0,058 0,062 0,064 0,058 0,052 0,048 | 7,8 8,9 9,2 8,2 6,4 4,8 |
К числу важных эксплуатационных свойств, определяющих область применения плазменного упрочнения, относится усталостная прочность. На сопротивляемость усталости материалов, после плазменного упрочнения, большее влияние оказывают параметры режима упрочнения. Параметры режима упрочнения определяют: величину и знак остаточных напряжений, дисперсность микроструктуры и т.д.
Известно, что наличие высоких сжимающих остаточных напряжений в закаленной зоне оказывает положительное влияние на усталостную прочность [1,9, 16].
Однако высокая хрупкость мартенсита в закаленном слое может являться причиной преждевременного разрушения при многоцикловом погружении.
Проведенные исследования и анализ литературных данных[1, 12, 15, 16, 491], показали, что плазменное, лазерное и электронно-лучевое упрочнение значительно увеличивают усталостную прочность деталей, работающих в условиях циклического нагружения, рис. 2.53.
Испытания на усталость при изгибе с кручением коленчатых валов (сталь 45) после плазменного упрочнения показали, что предел усталости по началу трещинообразования (60 МПа) у не упрочненных также (60 МПа) и на разрушение (130Мпа против 120Мпа) [49].
Плазменное азотирование из газовой: фазы стали 20 также позволило повысить предел выносливости на 40-60 %, по сравнению с исходным материалом [24].
Плазменная нитроцементация стали 20 также повышает предел выносливости на 40-60 %, по сравнению с исходным материалом. Исследования показали, что предел выносливости стали сильно зависит от режимов упрочнения, т, к. от них зависит величина остаточных сжимающих напряжений на поверхности, содержание азота и углерода в упрочненном слое. Установлено, что нитроцементированный слой постоянной глубины, но с разным содержанием остаточного аустенита имеет разные значения предела выносливости. В стали 20 повышение содержания остаточного аустенита с 5 % до 12%, при постоянной глубине нитроцементированного слоя , увеличивает значение предела выносливости на 10-20 %. Плазменная нитроцементация стали 20 повышает предел выносливости, по сравнению с простой плазменной закалкой, рис. 2.54.
Исследование пластичности диффузионных слоев на стали 20 [24] показали, что наибольшей пластичностью обладает малоазотистая фаза, соответствующая твердому раствору на базе нитрида Fе4N , рис. 2.55 а также карбонитридная фаза Fе3(NС).
Как уже отмечалось выше, основная цель поверхностного упрочнения - повышение износостойкости деталей машин и инструментов.
Формирование изнашиваемой поверхности происходит в результате суммирования различных по интенсивности и видам элементарных актов разрушения и изменений механических, физико-химических свойств материала, а также под воздействием внешних факторов (среда, температура, давление и т. д.). Совокупность явлений в процессе трения определяет вид изнашивания и его интенсивность. При назначении поверхностной упрочняющей обработки (с целью повышения износостойкости) необходимо установить причину изнашивания.
Под термином изнашивание понимают разрушение поверхности твердого тела, проявляющиеся в изменении его размеров или форм. Элементарные виды разрушения поверхностей трения: микрорезание, царапанье, отслаивание, выкрашивание, глубинное выравнивание, перенос материала, усталостное разрушение. Реализация элементарных видов разрушения на поверхностях трения возможно только при наличии следующих факторов: пластической деформации, повышенной температуры и химического действия окружающей среды [55- 61].
Рис. 2.54. Диаграмма выносливости стали 20 после различных способов плазменного упрочнения
-
Плазменная закалка
-
Плазменная нитроцементация
В общем виде стадии изнашивания поверхности трения выглядят следующим образом, рис. 2.56.
Стадия начального изнашивания (приработка) характеризуется приобретением стабильной шероховатостью поверхностей трения. Стадия установившегося изнашивания характеризуется изменением микро- и макрогеометрия трения и постепенным увеличением интенсивности изнашивания. Процесс установившегося изнашивания заключается в деформировании, разрушении и непрерывном воссоздании
на отдельных участках поверхности слоя со стабильными свойствами. По мере истирания поверхностного слоя с повышенной износостойкостью открываются поверхности с нестабильными свойствами, что вызывает катастрофический износ. Рис. 2.56а соответствует случаю, когда во время этапа приработки накапливаются факторы, которые после окончания приработки ускоряют процесс изнашивания.
Рис. 2.56б соответствует случаю, когда отсутствует этап приработки, апериод установившегося изнашивания наступает сразу после начала работы (металлообрабатывающий, деревообрабатывающий, медицинский инструмент, рабочие органы машин и т. д.). Рис. Рис. 2.56в соответствует случаю, когда детали находятся под действием контактных напряжений и длительное время работают практически без истирания. Основной механизм износа - усталостное выкрашивание поверхностных слоев.
Проведенные испытания на износостойкость сталей после различных видов термообработки при различных видах трения, показали существенные преимущества плазменного поверхностного упрочнения перед традиционными способами. Результаты испытания в условиях сухого трения на воздухе по пальчиковой схеме [7-60] образцов стали 20, 45, 40Х, ЗОХГСА, прошедших плазменную закалку (без оплавления) представлены в табл. 2.20.
Табл. 2.20.
Результаты испытаний на износостойкость стали 40Х
| Вид обработки | Ny | Nкр | fтр | S, мм2 | I*103 мм2/м |
| Плазменная закалка | 415 | 5 | 0,28 | 13,8 | 0,69 |
| Закалка ТВЧ | 360 | 14 | 0,40 | 17,9 | 1,98 |
| Ny – общее число; Nкр – число циклов до приработки; fтр – коэффициент трения; S – среднее значение площади поперечного сечения дорожки износа; I – путь трения | |||||
Из таблицы видно, что плазменная закалка снижает износ и коэффициент поения, а также количество циклов до приработки. Это обусловлено морфологическими особенностями упрочненного слоя после плазменной закалки.
При плазменном упрочнении с перекрытием дорожек упрочнения происходит уменьшение микротвердости в зоне перекрытия (~ 10-30 %) . Однако, как показали исследования, интенсивного изнашивания в зоне перекрытия не наблюдается, так как эти зоны занимают значительно меньшую площадь, по сравнению с зонами закалки и при их изнашивании проявляется «теневой эффект» [1,9].
При упрочнении с оплавлением поверхности износостойкость упрочненного
| Рис. 2.57. Зависимость износостойкости трущейся пары «азотированная сталь 20 – бронзовая втулка» от режима плазменного азотирования.
|
слоя снижается (по сравнению с упрочнением без оплавления). Особенностью мартенситной структуры оплавленного слоя является ее столбчатый характер. Дисперсность мартенсита в оплавленной зоне, не смотря на высокие скорости охлаждения, зависит от химического
состава стали. Так, для стали
30ХГСА,30ХС,30ХГСН2А,
38Х2МЮА в оплавленной зоне зафиксирован мелкоигольчатый мартенсит, а в стали 20,30,45, 55, 9ХФ, 9ХФМ, 8Н1А, 40ХН -«крупноигольчатый».
Кроме того, в структуре оплавленной зоны обнаружено повышенное содержание остаточного аустенита (20-60%).
По мнению [1, 9, 10, 13] плазменное упрочнение с оплавлением поверхности наиболее эффективно для деталей, работающих в условиях интенсивного износа, но неиспытывающих значительныхударных и знакопеременных нагрузок.
Износостойкость стали 30ХГСА, 9 ХФ, 50ХН, 150 ХНМ после плазменного упрочнения (без оплавления) возрастает в 2,5-4 раза, по сравнению с объемной закалкой при испытаниях по схеме «вращающееся кольцо - неподвижная колодка» на машине трения МИ-1М (9) (в масляно - абразивной среде).
Оценка износостойкости конструкционных сталей, прошедших плазменное азотирование из газовой фазы (по различным режимам), показала, что износостойкость сталей 20 возрастает в 1,3-1,5 раза по сравнению с плазменной закалкой и в 3-6 раз по сравнению с объемной закалкой [24] рис. (испытание на машине СМУ-2).
Износостойкость нитроцементированного слоя на сталях 20, 45 в условиях сухого трения возрастает по сравнению с объемной ХТО, рис.
Дополнительная обработка холодом (кривая 5, рис. 2.58.) снижает содержание остаточного аустенита в нитроцементированном слое и, как следствие этого, увеличивается износостойкость.
Сравнительные испытания образцов стали 45, 40Х на износостойкость при различных способах упрочнения показали, что плазменная закалка не уступает электронно-лучевой и лазерной закалке, табл. 2.21.
Рис. 2.58. Влияние режима плазменного легирования
на износостойкость стали 45.
1- исходное состояние
2- объемная ХТО /нитроцементирование/
3- плазменная нитроцементация из газовой фазы
4- плазменная нитроцементация из твердойй фазы
5 - плазменная нитроцементация из твердой фазы + обработка холодом.
Из всех видов изнашивания, встречающегося в промышленности, наиболее часто проявляется абразивный износ. Согласно [55-61] детали машин и инструменты, эксплуатирующиеся в различных условиях работы, наиболее часто испытывают абразивный износ (до 60-70 %). Абразивное изнашивание наиболее часто вызывает разрушение поверхности детали в результате ее взаимодействия с твердыми частицам. К твердым частицам! относятся: [60]
- неподвижно закрепленные твердые зерна, входящие в контакт по касательной,
либо под небольшим углом атаки к поверхности детали;
- незакрепленные частицы, входящие в контакт с поверхностью детали;
- свободные частицы в зазоре сопряжения детали;
- свободные частицы, вовлекаемые в поток жидкостью или газом.
Испытание на абразивное изнашивание проводят по двум схемам взаимодействия поверхности материала с абразивом: при трении и при ударе об абразивную поверхность [58-60]. Методики испытаний, оборудование подробно изложены в работах [55-60], поэтому нет необходимости их описания, остановимся на результатах испытаний. В качестве критерия оценки износостойкости упрочненных материалов использовалась относительная износостойкость, которая выражается отношением износа эталона к износу (линейному, весовому или объемному) исследуемого образца.
Самый простой способ оценки относительной износостойкости материалов – взвешивание образцов до и после испытания на абразивное изнашивание.
Табл.2.21.
Сравнительные испытания на износостойкость пар трения шарик-цилиндрический образец
| Износ | ||||||
| Способ упрочнения марки стали, образца | Линейный, мкм | По массе, мг | Суммарный | |||
| образец | ширина | образец | ширина | Линейный, км | По массе, мг | |
| 1 | 2 | 3 | 4 | 5 | 6 | 7 |
| 1. Электронно-лучевое упрочнение, 40Х | 2,01 | 56,20 | 1,58 | 0,19 | 58,21 | 1,77 |
| 2. Лазерное упрочнение 40Х 45 | 2,22 2,31 | 58,10 58,90 | 1,63 1,69 | 0,25 0,28 | 60,32 61,21 | 1,88 1,97 |
| 3. Плазменное упрочнение40Х 45 | 2,30 2,38 | 57,90 59,01 | 1,69 1,72 | 0,26 0,28 | 60,20 61,39 | 1,95 2,00 |
| 4. Закалка ТВЧ 40Х 45 | 2,45 2,54 | 59,90 61,87 | 1,72 1,84 | 0,30 0,39 | 62,35 62,41 | 2,02 2,23 |
| 5. Объемная закалка 40Х 45 | 23,00 26,21 | 24,50 26,01 | 12,70 14,52 | 0,03 0,04 | 47,50 52,22 | 12,73 14,56 |
| 6. Азотирование 20 | 12,64 | 85,40 | 3,10 | 1,12 | 97,04 | 4,22 |
| 7. Цементация 20 | 10,60 | 52,17 | 3,75 | 0,26 | 62,67 | 4,01 |
Результаты испытания о неподвижно закрепленный абразив сталей 40Х, 45 после плазменного упрочнения на рис. 2.59. Видно, что результаты испытаний сильно зависят от режимов испытаний на абразивный износ.
Рис. 2.59. Зависимость износа разных материалов от удельной нагрузки/а/ и скорости скольжения/б/ при трении на абразивной поверхности:
1. объемная закалка /сталь 45/; 2. плазменная закалка без оплавления/45/;
3. плазменная закалка без оплавления /40Х/; 4. плазменная нитроцементация/45/.
С увеличением удельной нагрузки от 0 до 8-10 кгс\см2 величина износа постепенно возрастает. Дальнейшее увеличение нагрузки приводит к резкому увеличению износа. Оптимальная величина нагрузки на образцах при дальнейших испытаниях принималась 6,5 кгс\см2 . Скорость скольжения в исследованном диапазоне не оказывает заметного влияния на износ упрочненных образцов.
При ударно-абразивных испытаниях наблюдается прямо-пропорциональная зависимость между количеством ударов ж износом. Энергия удара является определяющим фактором при ударно-абразивном изнашивании. При энергии удара порядка 26-23 Дж прямо пропорциональная зависимость нарушается, что связано по всей видимости, с изменением структуры абразивных частиц (дробление) и свойств поверхностного микрослоя упрочненных образцов. Дробление абразивных частиц резко снижает величину их внедрения в поверхность, что уменьшает величину износа. Оптимальная величина энергии удара при дальнейших испытаниях с целью сохранения прямо-пропорциональной зависимости (энергия удара - износ) была принята 22 Дж.
Проведенные исследования показали, что при прямо-пропорциональной зависимости между относительной износостойкостью (ε) и микротвердостью при абразивном изнашивании не наблюдается. Видно только закономерность повышения износостойкости при увеличении твердости как при трении об абразив, так и приударе. Это указывает на то, что твердость не является определяющим фактором при абразивном изнашивании (особенно при ударно-абразивном износе), рис. 2.60.
При ударно-абразивном изнашивании определяющее значение приобретает энергетический показатель свойств металла, связанный с его сопротивлением динамическому воздействию абразива. Возрастание силового показателя свойств металла (твердости) не свидетельствует о повышении износостойкости, если при этом не будет возрастать энергетический показатель (вязкость разрушения).
Рис. 2.60. Влияние количества/а/ и энергии удара/б/
на износ материалов при ударно-абразивном износе
-
объемная закалка /сталь 45/
-
плазменная закалка /45/
-
плазменная закалка с оплавлением /45/
Рис. 2.61. Зависимость относительной износостойкости
сталей при трении /а/ и при ударе об
абразивную поверхность ото их микротвердости
1. сталь 20 /плазменная нитроцементация/
2. сталь 20 /плазменное борирование/
3. сталь 45 /плазменная закалка/
4. сталь 65Г /плазменная закалка/
5. З0ХГСА /плазменнам закалка/
6. У8 /плазменная закалка/.
Только сочетание этих показателей силового и энергетического (прочности и вязкости) способно увеличить стойкость против ударно-абразивного изнашивания. Такого сочетания возможно добиться при использовании комплексных технологий плазменного упрочнения.
Изучение изношенных поверхностей показало, что при трении об абразив доминирующим процессом является микрорезание. Причем, с увеличением твердости поверхностного слоя наблюдается интенсивное выкрашивание микрообъемов слоя. Снижение пластичности слоя увеличивает сопротивляемость изнашиванию, что приводит к хрупкому выкрашиванию. При ударно-абразивном изнашивании наблюдается прямое внедрение абразивной частицы в упрочненный слой с образованием лунки. При многократном попадании частицы в лунку происходит разрушение ее контурных перемычек по схеме расклинивания.
Для противодействия воздействию абразивной среды, упрочненный слой металла должны иметь твердую составляющую (карбиды, бориды, нитриды, карбобориды, карбонитриды). Твердые частицы карбидов и других соединений должны прочно удерживаться матрицей основного сплава. К матрице предъявляются следующие требования: она должна хорошо удерживать твердые частицы и противодействовать воздействию абразива. Этим требованиям удовлетворяет мартенситная матрица. Свойства мартенситной матрицы зависят от содержания в ней углерода [63]. Низкоуглеродистый мартенсит имеет низкую износостойкость и высокую вязкость, по сравнению с высокоуглеродистым мартенситом, что позволяет лучше удерживать включения твердых частиц, рис. 2.62.
Рис. 2.62. Влияние способа плазменного упрочнения
на износ стали 45 при абразивном изнашивании
1. плазменная закалка
2. плазменная цементация
3. плазменная нитроцементация
4. плазменное борирование
С увеличением содержания углерода в мартенсите (0,4-0,9 %) износостойкость при трении по абразиву будет увеличиваться. При ударно-абразивном изнашивании повышение износостойкости происходит до определенного содержания углерода в мартенсите (0,5-0,7 %), после чего наблюдается снижение.
Значительный интерес представляет оценка износостойкости сталей после плазменного упрочнения при других схемах взаимодействия с абразивом, а также от вида частиц и их твердости, рис. 2.63.
Видно, что схема взаимодействия и вид абразива оказывают заметное влияние на износостойкость упрочненных образцов. Согласно(63) твердость абразивных частиц значительно превышает твердость металла, то износ не зависит от разности твердости. При твердости металлической поверхности превыщающей 60 % твердость абразива, износостойкость резко возрастает. Для противодействия основным видам абразивных частиц необходимо осуществлять легирование поверхности трения. Чем выше твердость карбидов, тем силънее они противодействуют внедрению абразивных частиц в поверхность. Твердость основных карбидов, боридов, нитридов приведена в таблице 2.22., откуда видно, что их твердость во много раз превышает твердость абразивов. Особенно эффективными являются карбиды, легированные вольфрамом, титаном, бором, ванадием, а также нитриды.
Рис. 2.63. Износостойкость стали 45
после плазменной закалки без оплавления
и с оплавлением при различных схемах абразивного изнашивания
1. трение об закрепленный абразив
2. удар по закрепленному абразиву
3. трение в мелкодисперсной массе
4. трение в крупнодисперсной массе
5. изнашивание в зазоре пары трения
6,7,8. трение в потоке жидкости (угол атаки 90ºС, 60ºС, 15ºС)
Рис. 2.64. Износостойкость стали 40Х13
после плазменной закалки при абразивном изнашивании
в зависимости от вида абразива
1. речной песок
2. крупнокусковой уголь
3. окатыши
4. мраморная крошка
5. гранитная крошка
6. кварцевый песок
7. электрокорунд
Табл. 2.22.
Твердость различных соединений карбидов, боридов и т.д.
| Соединение Твердость, МПа | Fe2C | Cr2C2 | WC | Cr7C3 | W2C | |
| 10500 | 12500 | 17500 | 18000 | 30000 | ||
| Соединение Твердость, МПа | VC | Mo2C | TiC | Z2C | NbC | CrB2 |
| 21000 | 16000 | 32000 | 28000 | 20500 | 18000 | |
| Соединение Твердость, МПа | W2B5 | VB2 | Zr2B2 | NbB2 | TiB2 | |
| 26000 | 20800 | 22500 | 25900 | 33700 | ||
| Соединение Твердость, МПа | B4C | TiN | Fe2B | FeB | Fe3B | |
| 50000 | 26000 | 16800 | 20100 | 30000 | ||
Использование карбида, титана (ТiС) при плазменной цементации стали 30 позволяет получить поверхностный слой высокой твердости (20000-23000 МПа), что увеличивает износостойкость при абразивном изнашивании в 2-3 раза, по сравнению с простой цементацией.
Комплексное легирование карбидами W и Тi повышает износостойкость упрочненного металла (сталь 45) при ударно-абразивном изнашивании, по сравнению с плазменной закалкой в 1,5-2 раза.
При абразивном изнашивании величина износа может достигать 2-15 мм, что в некоторых случаях делает не эффективным использование поверхностного упрочнения изделия. Поэтому на изделиях, испытывающих сильный абразивный износ, необходимо использовать комплексные технологий упрочнения, описанные выше. Проведенные исследования показали, что минимальная глубина упрочненного слоя металла удовлетворительно работающего при ударно-абразивном изнашивании составляет 2 мм. Уменьшение глубины упрочненного слоя металла вызывает интенсивный износ и выкрашивание: при ударно- абразивном изнашивании.
Повышение стойкости против ударно-абразивного изнашивания в случае применения комплексных технологий обусловлено строением упрочненного слоя, сочетающего в себе высокую прочность и вязкость.
Приведенные результаты исследований показывают, что плазменное поверхностное упрочнение является эффективным способом увеличения износостойкости деталей машин и инструмента, испытывающих различные виды износа.
3>0>















