150378 (594542), страница 7
Текст из файла (страница 7)
Из рисунка 5 видно, что окончательный результат не сильно зависит от параметра
. Максимальное отклонение между граничными значениями
и
не превышает 10% и уменьшается при уменьшении
.
3.6. Приближение скачка концентрации на поверхности частицы
Рассмотрим случай, когда
. При больших
функция
ведет себя довольно резко (на расстояниях порядка
), при этом она изменяется от
до
(см. рис. 1). На предельном значении
это изменение соответствует скачку концентрации между значениями
и
. Интегралы
находятся в этом пределе. Конечно, это приближение оставляет правильным асимптотическое поведение потока при больших и малых значениях а. Если пренебречь выражением, пропорциональным
, то можно из уравнений (3.40) и (3.41) получить:
(3.59)
(3.60)
(3.61)
При выводе этих уравнений было использовано то, что
.
3.7 Численные результаты
Зависимости j от вероятности прилипания
показаны на рисунке 6 для различных размеров частиц а.
Рис. 6. Зависимость относительного потока конденсирующихся паров (
,где
- поток при свободно молекулярном режиме при
) от вероятности прилипания
. Расстояния измерены в длинах свободного пробега. При расчетах использовалась система уравнений (3.38).
Поток
был найден из уравнения (3.59), а после этого был сопоставлен с формулой Фукса-Сутунгина, которая для произвольных
может быть переписана в форме уравнения (3.59) с
, замененным на
([10]):
(3.62)
Соответствие между формулами, как можно видеть из рисунков 8 и 9, не требует комментариев за исключением того, что при малых
это соответствие становится хуже.
Рис. 7. Поток конденсирующихся паров: сравнение приближения скачка концентрации с формулой Фукса-Сутугина при вероятности прилипания
=1. Потоки вблизи поверхности частицы нормированы на 1, расстояния измерены в длинах свободного пробега. Кривая 1: формула Фукса-Сутугина. Кривая 2: приближение скачка концентрации (уравнение (3.59)).
Рис. 8. Поток конденсирующихся паров: сравнение приближения скачка концентрации с формулой Фукса-Сутугина при вероятности прилипания
= 0.1. Потоки вблизи поверхности частицы нормированы на 1, расстояния измерены в длинах свободного пробега. Кривая 1: формула Фукса-Сутугина. Кривая 2: приближение скачка концентрации (уравнение (3.59)).
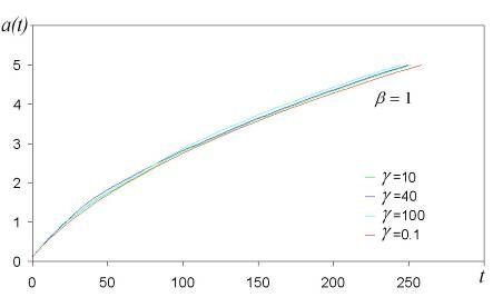
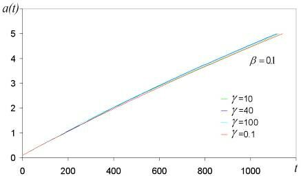
График роста частицы для различных вероятностей прилипания представленная на рисунке 9 и рисунке 10 была найдена из уравнений (2.41) и (3.59).
Рис. 9. Размер частицы a(t), найденный из уравнений (2.41) и (3.59). Масса и плотность налетающих частиц взяты равными единице.
Рис. 10. Размер частицы a(t), найденный из уравнений (2.41) и (3.59). Масса и плотность налетающих частиц взяты равными единице.
4. Выводы и заключение.
В результате работы над дипломом было сделано:
-
Исследован процесс конденсации при различных числах Кнудсена.
-
Для расчета плотности потока молекул пара на частицу было использовано решение линеаризованного уравнения Больцмана.
-
Оценено значение параметра решения уравнения Больцмана для широкого диапазона значений чисел Кнудсена.
-
Выявлено, что модель односкоростного приближения дает скачок концентрации на поверхности. Это означает, что значение параметра решения должно быть очень большим.
-
Численные эксперименты показали, что наиболее важные величины, поток молекул пара, скорость роста частицы, слабо зависят от значения определяемого параметра.
-
При малых значениях вероятности прилипания эта зависимость становится еще меньше.
-
Предложен и реализован алгоритм расчета конденсационного роста частиц при различных числах Кнудсена вероятностях прилипания молекул пара к поверхности частицы.
Список литературы
-
J.C. Maxwell Collected Scientific Papers, Cambridge, 11, 625, 1890.
-
Фукс Н.А. Испарение и рост капель в газообразной среде. - Изд. АН СССР, Итоги науки, с. 90, 1958.
-
Н.Фукс, ЖЭТФ, т.4, вып. 7, 1934.
-
Li Y.Q., Davidovits P., Shi Q., Jayne J.T., Kolb C.E., Worsnop D.R. Mass and Thermal Accomodation Coefficients of H2O(g) on Liquid Water as Function of Temperatrue. - J.Phys.Chem.A, 105, 29, 10627-10634, 2001.
-
Heidenreich S., Buttner H. Investigation about the infuence of the Kelvin effect on droplet growth rate. - J.Aerosol Sci., v.26, n.2, 335 - 339, 1995.
-
Shi Q., Davidovits P., Jayne J.T., Worsnop D.R., Kolb C.E. Uptake of gas-phase ammonia. 1. Uptake by aqueous surfases as function of pH. - Mass and Thermal Accomodation Coefficients of H2O(g) on Liquid J.Phys.Chem.A, 103, 29, 8812-8823, 1999.
-
Swartz E., Shi Q., Davidovits P., Jayne J.T., Worsnop D.R., Kolb C.E. Uptake of gas-phase ammonia. 2. Uptake by sufuric acid surfaxres J.Phys.Chem.A, 103, 29, 8824-8833 1999
-
Widmann J.F., Davis E.J. Mathemetical models of the uptake of C1ONO2 and other gases by atmospheric aerosols. - J.AerosoI Sci., v.28, n.2, pp. 87 - 106, 1997.
-
Fuchs N.A., Sutugin A.G. Highly dispersed aerosols, in Topicsin Current Aerosol Research (Part 2), ed. by CM. Hidy and J.R. Brock, New York, pp. 1-200, 1971.
-
Dahneke B. Simple kinetic theory of Brownian diffusion in vapor and aerosols, in Theory of Dispersed Multiphase Flow, ed. by R.E. Meyer Academic Press, New York, pp. 97 - 133, 1983.
-
Loyalka S.K. Modelling of condensation in aerosols. - Prog. Nucl.Energy, v.12, pp.1-? 1983.
-
Sitarski M., Nowakowski B. Condensation rate of trace vapor on Knudsen aerosols from solution of the Boltzmann equation. - J.Colloid Interface Sci., v.72, pp.113-122, 1979.
-
Лушников А.А., Загайнов В.А. Кинетические эффекты конденсации при произвольной вероятности прилипания молекул к частицам. - Изв. АН, сер. ФАС), т.38, №2, с. 192 - 199.
-
К. Черчиньяни. Теория и приложения уравнения Больцмана. - Изд. Мир. Москва, 1978.
-
Резибуа П., Де Ленер П. Классическая кинетическая теория жидкостей и газов. - Изд. Мир, Москва, 1980.
-
Bhatnagar P.L., Gross E.P., Krook M. A model for collision processes in gases.
20















