144577 (594094), страница 8
Текст из файла (страница 8)
Итого, выручка от реализации заказчиком жилищно-коммерческого комплекса по планируемым ценам, в прогнозе составит:
Выр. = 31,9 * 616,08 + 38,1 * 924,9 + 36,7 * 290,56 = 65 661,9 тыс. руб.
Рассчитаем финансовые показатели проекта (табл. 9)
Таблица 9. Расчет финансовых показателей проекта.
| № п/п | Показатель | Сумма, тыс. руб. |
| 1 | Выручка от реализации инвестиционно- строительного проекта | 65 661,9 |
| 2 | Постоянные затраты | 10 458,20 |
| 3 | Переменные затраты | 7 632,35 |
| 4 | Себестоимость проекта (стр2 + стр 3) | 18 090,55 |
| 5 | Валовая прибыль (стр. 1 – стр. 4) | 47 571,35 |
| 6 | Коэффициент прибыльности (стр. 5/стр. 1), % | 72% |
По показателю рентабельности проект занял высокую позицию. Рассчитаем валовую маржу проекта, а также найдем точку безубыточности.
1) Валовая маржа (ВМ) является мерой эффективности производственной деятельности компании.
| ВМ = | валовая прибыль |
| объем продаж |
Очевидно, что, чем выше ВМ, тем лучше.
В нашем случае, расчет дал следующие результаты:
| ВМ = | 47531,75 / 65 661,9* 100% = 72,4% |
По этому показателю проект может быть рекомендован к реализации.
2) Точка безубыточности (ТБ)
Исходными данными для расчета являются такие минимальные значения суммарного объема производства и реализации продукции, при которых выпуск продукции начинает приносить прибыль:
| ТБ = | Постоянные затр. / (Выручка – Переменные затраты)* Выручка |
Для данного инвестиционно-строительного проекта:
ТБ = 10458,2 / (65661.9 – 7632.35) * 65661.9= 11 819, 14 тыс. руб.
То есть даже при ощутимом снижении выручки, проект обладает определенным запасом прочности.
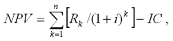
При оценке инвестиционной эффективности обычно рассчитываются данные показатели NPV (чистого приведенного дохода), IRR (внутренней нормы доходности) и PI (индекса доходности инвестиций).
Методика расчета NPV заключается в суммировании современных (пересчитанных на текущий момент) величин чистых эффективных денежных потоков по всем интервалам планирования на всем протяжении периода исследования.
При разовой инвестиции расчет чистого приведенного дохода можно представить следующим выражением:
|
|
где Rk – годовые денежные поступления в течение n лет, k = 1, 2, …, n;
IC – стартовые инвестиции;
i – ставка дисконтирования (0% - окупаемость проекта не больше года, дисконт не применяется).
Для данного варианта проекта:
IC = 18 090.55
R1 = 65661.9
i = 0 (0 %)
NPV = (65661,9/1) – 18090.55 = + 47 571.35 (Значение показателя совпало с показателем балансовой прибыли в связи с отсутствием дисконтирования в краткосрочном периоде)
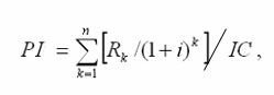
Индекс доходности инвестиций (PI) тесно связан с показателем чистой современной ценности инвестиций, но, в отличие от последнего, позволяет определить не абсолютную, а относительную характеристику эффективности инвестиций. Индекс доходности инвестиций (PI) при разовом инвестировании рассчитывается по следующей формуле:
где IC - полные инвестиционные затраты проекта.
Индекс рентабельности инвестиций отвечает на вопрос: каков уровень генерируемых проектом доходов, получаемых на одну единицу капитальных вложений.
При разовых инвестициях данный показатель равен:
PI раз = 65 661,9 / 18 090,55 = 3,63
Внутренняя ставка доходности инвестиций (IRR)
Интерпретационный смысл внутренней ставки доходности заключается в определении максимальной стоимости капитала, используемого для финансирования инвестиционных затрат, при котором собственник (держатель) проекта не несет убытков.
Расчет внутренней ставки доходности (IRR) осуществляется методом итеративного подбора такой величины ставки дисконтирования, при которой чистая современная ценность инвестиционного проекта обращается в ноль. Выбираются два значения коэффициента дисконтирования, при которых функция NPV меняет свой знак, и используют формулу:
IRR = i1 + NPV(i1) / [NPV(i1) - NPV(i2)] • (i2 - i1) [3]
Где:
i1 – ставка дисконтирования, при которой чистая приведенная стоимости имеет отрицательнео значение
i2 - последняя ставка дисконтирования, при которой NPV имеет положительное значение
В данном случае расчет IRR нецелесообразен, поскольку не предполагается изменения дисконтной ставки в течение года реализации проекта.
При реализации проекта возможны экономические и политические риски. Поправка на риск проекта определяется по данным следующей таблицы:
Таблица 10 Поправки на риск проекта.
| Величина риска | Цель проекта | P, процент |
| Низкий | вложения при интенсификации производства на базе освоенной техники | 3-5 |
| Средний | увеличение объема продаж существующей продукции | 8-10 |
| Высокий | производство и продвижение на рынок нового продукта | 13-15 |
| Очень высокий | вложения в исследования и инновации | 18-20 |
В силу того, что жилищно-коммерческий комплекс – новое строительное производство, величина риска должна быть принята в размере 13-15% (высокая величина риска).
Примем P = 15 %
Ставка дисконтирования, учитывающая риски при реализации проектов, определяется по формуле:
d = i + P/100
где
поправка на риск
d = 0 + 15/100 = 0.15 (то есть проект по-прежнему имеет большой запас прочности при возникновении рисков) .
2.5. Решения по охране труда и противопожарной безопасности проекта. Экологические решения проекта.
В соответствии со СНиП III-4-80 “Техника безопасность в строительстве” должен своевременно проводиться инструктаж, изучение и проверка знаний рабочих и технического персонала в области техники безопасности с обязательным документальным оформлением.
Вновь поступившие на строительство рабочие могут быть допущены к работе после прохождения вводного инструктажа по технике безопасности и инструктажа непосредственно на рабочем месте. Кроме того, в течение не более 3 месяцев со дня поступления на работу они должны пройти обучение безопасным методам работы по утвержденной программе. Инструктаж по технике безопасности будет проводиться при переводе на новую работу, а также при изменении условий труда. К работе на особо опасных и вредных производствах (монтаж конструкций на высоте, огнеупорные, кислотоупорные и изоляционные работы, процессы с применением радиоактивных веществ и т. д.) рабочие будут допускаться лишь после соответствующего обучения и сдачи ими экзамена.
Работающим в опасных и вредных условиях будут выдаваться индивидуальные защитные средства, предупреждающие возможность возникновения несчастных случаев.
Проект предполагает обеспечение высокого качества применяемых материалов, изделий, конструкций, строительных машин и механизмов, эффективную звуковую или световую сигнализацию. Используемый строительные устройства и монтажная оснастка должны отвечать всем требованиям техника безопасности. Будет организован систематический и строгий контроль за соблюдениям правил техники безопасности.
Будут предусмотрены ограждения, сигнальные знаки и освещение объекта.
Противопожарная безопасность. На строительной площадке предполагается обеспечение правильного складирования материалов и изделий с тем, чтобы предотвратить загорание легковоспламеняющихся и горючих материалов, ограждать места производства сварочных работ, своевременно убирать строительный мусор, разрешать курение только в строго отведенных местах, содержать в постоянной готовности все средства пожаротушения (линии водопровода с гидрантами, огнетушители, сигнализационные устройства, пожарный инвентарь).
В первой ступени контроля будут участвовать бригадир, мастер и общественный инспектор по охране труда бригады. Ежедневно перед началом смены ими будет проверяться обеспеченность безопасного ведения строительно-монтажных работ и соблюдение санитарно-гигиенического обслуживания рабочих. Особое внимание должно уделяться организации работ с повышенной опасностью.
Во второй ступени, проводимой раз в неделю, будут участвовать начальник участка и председатель комиссии по охране труда, механик и электромонтер. В их компетенции будут вопросы проверки:
-
состояния техники безопасности и производственной санитарии; работы первой ступени; выполнение проекта производства работ;
-
исправности и безопасности используемых машин, механизмов, энергетических установок и транспортных средств; своевременность выдачи спецодежды и защитных приспособлений; выполнение обязательств по охране труда, предложений и замечаний, записанных в журнал проверок на первой ступени. Все выявленные нарушения и отступления будут зарегистрированы в журнале.
В третьей ступени, проводимой раз в месяц, будут участвовать главный инженер, главный механик, главный энергетик и инженер по технике безопасности. В их компетенции будеит:
-
выполнение запланированных мероприятий, постановлений и приказов по обеспечению безопасных условий труда и быта;
-
правильность регистрации и отчетности по несчастным случаям;
-
соблюдение установленных сроков и организацию проведения испытаний индивидуальных средств защиты, приспособлений и других устройств, подлежащих периодическим испытаниям; работы первой и второй ступени.
Результаты проверки будут обсуждаться на совещании. Принятые решения - оформляться в виде приказа.
Охрана окружающей природной среды. Не должно допускаться сжигание на строительной площадке отходов и остатков материалов, интенсивно загрязняющих воздух. Сбрасывание с этажей здания отходов и мусора возможно только с применением бункеров-накопителей. Для предотвращения загрязнения поверхностных и надземных вод необходимо улавливать загрязненную воду. Все производственные и бытовые стоки должны быть очищены и обезврежены.
Не допускается выпуск воды со строительной площадки непосредственно на склоны без надлежащей защиты от размыва. На территории площадки не допускается не предусмотренное проектной документацией сведение древесно-кустарниковой растительности и засыпка грунтом корневых шеек и стволов растущих деревьев и кустарников.
2.6. Предполагаемая организационная структура управления проектом. Управление рисками и изменениями, контроль и мониторинг проекта.
В процессе реализации проекта строительства ЖКК “Перекрёсток” ставится задача в режиме реального выполнения проекта в условиях нашей действительности радикально повысить эффективность организации и управления проектом; интенсивно использовать объем накопленных участниками проекта профессиональных знаний и умений; использовать интеграцию и координацию выполняемых ими работ.
Заказчиком может быть выбрана "основная" система управления проектом - это, когда руководитель (менеджер) проекта является представителем Заказчика, но финансовой ответственности за принимаемые решения не несет. В этом случае менеджер проекта отвечает за координацию и управление ходом разработки и реализации проекта. Преимущестенно, чтоба менеджер проекта не состоял в контрактных отношениях с другими участниками проекта (кроме Заказчика). Преимущество такого подхода - объективность менеджера, недостаток - риск за судьбу проекта лежит на Заказчике.
При реализации представленной в теоретической части работы организационной струтктуры проекта, работа над проектом не может быть эффективна. Все нити от участников проекта вели к Проект-менеджеру. Понятно, что подрядные организации занимали пасивную позицию, направленную на реализацию своих узких задач (выполнить по контракту свои работы и уйти с объекта). Эффективное продвижение в целом всего проекта, Подрядчиков не интересует. Поэтому, как правило, на стыках работ, выполняемых разными участниками может возникать много вопросов (технических, технологических, организационных и т.д.), которые должен решать Проект-менеджер.
В связи с этим, предлагаемая организационная структура проекта по строительству жилищно-коммерческого комплекса “Перекрёсток” будет ориентрироваться на разделение функций между проект-менеджером (решение стратегических задач) и генеральным подрядчиком (решение оперативных задач по ходу строительства) – рис. 3.
Çàêàç÷èê
















