129359 (593340), страница 4
Текст из файла (страница 4)
1. Более адекватное восприятие действительности, свободное от влияния актуальных потребностей, стереотипов и предрассудков, интерес к неизведанному. В самоактуализации человек, достигший удовлетворения основных потребностей, гораздо менее зависим и скован, более автономен и сам определяет направление своего движения.
2. Принятие себя и других такими, какие они есть, отсутствие искусственных, защитных форм поведения и неприятие такого поведения со стороны других.
3. Спонтанность проявлений, простота и естественность. Такие люди соблюдают установившиеся ритуалы, традиции и церемонии, но относятся к ним с должным юмором. Это не автоматический, а сознательный конформизм лишь на уровне внешнего поведения.
4. Деловая направленность. Такие люди заняты обычно не собой, а своей жизненной задачей или миссией. Обычно они соотносят свою деятельность с универсальными ценностями и склонны рассматривать её под углом зрения вечности, а не текущего момента. Поэтому все они в какой-то степени философы.
5. Они нередко склонны к одиночеству и для них характерна позиция отстранённости по отношению ко многим событиям собственной жизни. Это помогает им относительно спокойно переносить неприятности и быть менее подверженными воздействиям извне. Самореализующимся людям другие люди практически не нужны, зато могут становиться помехой. У них существует пристрастие к раздумиям в одиночестве.
6. Автономия и независимость от окружения; устойчивость под воздействием фрустрирующих факторов. Такие люди гораздо более самостоятельны и самодостаточны. Они подчиняются прежде всего внутренним, а не общественным детерминантам или детерминантам окружения. Этими детерминантами являются законы их собственной внутренней природы, их потенциальные возможности и способности, их творческие импульсы, их потребность познать самих себя и стать более целостными людьми, лучше понять, кем они являются на самом деле, чего они на самом деле хотят, в чем состоит их призвание или какой должна быть их судьба. Автономность или относительная независимость от окружения означают также стойкость перед лицом неблагоприятных внешних обстоятельств, типа невезения, ударов судьбы, трагедий, стрессов и лишений.
7. Большая свежесть восприятия; нахождение каждый раз нового в уже известном. Богатство эмоциональных реакций[11].
8. Предельные переживания, характеризующиеся ощущением исчезновения собственного "Я". Более частые прорывы на пик переживания. Эти переживания помогают изменять к лучшему мнение человека о самом себе, вносят изменения в его отношение к другим людям и его общение с этими людьми. Они высвобождают творческие способности, спонтанность, экспрессию, неповторимость индивида. Они присутствуют в мотивации развития, так как человек помнит пиковое переживание, как очень значительное и желанное событие и жаждет его повторения.
9. Чувство общности с человечеством в целом.
10. Дружба с другими самоактуализирующимися людьми: узкий круг людей, отношения с которыми весьма глубокие. Отсутствие проявлений враждебности в межличностных отношениях. Поскольку они в меньшей степени зависят от других людей, они меньше страшатся их, меньше им лгут, менее враждебны по отношению к ним, меньше нуждаются в их похвале и привязанности. Они меньше озабочены почетом, престижем и наградами.
11. Демократичность в отношениях. Готовность учиться у других. Уважение к другим людям.
12. Устойчивые внутренние моральные нормы. Самоактуализирующиеся люди ведут себя нравственно, они остро чувствуют добро и зло; они ориентированы на цели, а средства всегда подчиняют этим целям. У них обостренное чувство справедливости, они тонко чувствуют неправду и фальшь.
13. "Философское" чувство юмора. Они относятся с юмором к жизни в целом и к самим себе, но никогда не считают смешной чью-либо ущербность или невзгоды.
14. Креативность (созидательность, творчество), не зависящая от того, чем человек занимается, и проявляющаяся во всех действиях самоактуализирующейся личности. Творчество предполагает открытое, без стеснения и искреннее выражение и отображение своих чувств и идей. Самоактуализированная личность никогда не боится попасть в неловкое положение, когда 'творит' свои идеи, поступки, поведение, а также не станет стесняться или оглядываться на общественное неодобрение при создании конкретных произведений искусства, такие, как музыка, стихи, картины, литературное творчество и прочее. Люди искусства могут вполне являться самоактуализированными личностями[11].
15. Более выраженная автономность и противостояние к приобщению к какой-либо культуре. Они не принимают безоговорочно ту культуру, к которой они принадлежат. Они не конформны, но и не склонны к бездумному бунтарству. Они достаточно критично относятся к своей культуре, выбирая из неё хорошее и отвергая плохое. Они не идентифицируются со всей культурой, ощущая себя в большей степени представителями человечества в целом, чем представителями своей страны. Поэтому они нередко оказываются в изоляции в той культурной среде, которую они не желают принять.
По В. Франклу, самоактуализированной личности присущи такие основные две способности:
- способность к самотрансценденции и
- способность к самоотстранению[31].
Первая способность выражается в направленности человека на что-то, существующее вне его, в постоянном выходе человека за пределы самого себя.
Вторая - в его возможности подняться над собой и над ситуацией, посмотреть на себя со стороны ( по М. М. Бахтину – объективация).
Таким образом, процесс самоактуализации человека рассматривает и описывает «изнутри» жизни человека, с его точки зрения, как определенный, сознательный выбор жизненных целей и путей их достижения. И видится он с этой точки как определенная последовательность эпизодов, ситуаций, в каждой из которых «Я» сталкиваюсь с определенными проблемами, принимаю вызов, и, прилагая собственные усилия, по мере решения проблем совершенствуюсь, развиваюсь, сознательно выбираю для себя еще более трудные (но соответствующие моим силам и возможностям, моей «самости») реалистические проблемы. Или же деградирую, не принимая вызовов, отказываясь от приложения собственных усилий в решении проблем или выбирая те, которые не соответствуют моим силам и возможностям, моей «самости». В этом случае, не находя своевременно решения, «Я» так же неизбежно прихожу в результате к столкновению с более трудными проблемами, но иного, «невротического» качества, решение которых будет вынужденным, сузит возможности моего самоопределения, потребует психологической, социальной или медицинской помощи. Маслоу подчеркивает, что выбор в пользу роста, в направлении самоактуализации должен осуществляться человеком в каждой ситуации выбора.
Сопоставив данное положение с понятием высокого уровня притязания, который предполагает оптимальное представление о своих возможностях, что является важным фактором личностного развития, мы можем отметить, что самоактуализации предполагает наличие высокого уровня притязания.
Маслоу в своей последней, изданной посмертно работе «Дальние пределы человеческой психики» обобщил характеристики самоактуализации отмечает, для самоактуализации необходим высокий уровень притязаний, стремление к максимальной реализации своих талантов и возможностей. «Решение стать рядовым врачом – не лучший выбор для самоактуализирующейся личности. Обязательно нужно стремиться стать самым лучшим врачом, нужно хотеть в наибольшей степени раскрыть свои возможности» [16, с. 60].
С другой стороны, как следует из характеристик самоактуализирующейся личности, данные личности обладают уверенностью в себе.
Уверенность в себе — готовность человека решать достаточно сложные задачи, когда уровень притязаний не снижается только из–за опасений неудачи.
Таким образом, самоактуализирующаяся личность уверена в себе, а уверенный в себе человек обладает высоким уровнем притязаний.
Выводы:
-
Самоактуализация обозначает переход из состояния возможности в состояние действительности, поэтому смысл самоактуализации как процесса саморазвития личности наиболее точно выражает слово «проявление». В отечественной психологии понятие самоактуализации рассматривается как процесс развертывания и созревания изначально заложенных в организме и личности задатков, потенций, возможностей; как персонализированная, самоопределившаяся самость среди других, для других, и только таким образом – для себя; как процесс становления человека субъектом собственной жизнедеятельности; как сознательное, намеренное изменение. Самоактуализация обеспечивается правильностью каждого решения из длинной вереницы жизненных выборов человека.
-
Уровнем притязаний называют уровень образа «Я», проявляющийся в степени трудности цели, которую человек ставит перед собой. Уровень своих притязаний личность устанавливает где-то между чересчур трудными и чересчур легкими задачами и целями — так, чтобы сохранить на должной высоте свою самооценку. Формирование уровня притязаний определяется учетом и оценкой прошлых успехов и неудач.
-
Самоактуализирующаяся личность стремится к развитию, имеет высокую мотивацию развития. Она принимает свои чувства, импульсы, эмоции и желания такими, как они есть. Высокий уровень притязания, который предполагает оптимальное представление о своих возможностях, что является важным фактором личностного развития, в свою очередь самоактуализация предполагает наличие высокого уровня притязания.
2. Эмпирическое исследование взаимосвязи самоактуализации и уровня притязания
2.1 Программа эмпирического исследования
Теоретический анализ самоактуализации и уровня притязания позволил разработать и реализовать программу эмпирического исследования целью, которой является изучение взаимосвязь самоактуализации и уровня притязания личности
Объект исследования: самоактуализация личности
Предмет исследования: характеристики самоактуализации личности у подростков с разным уровнем притязаний.
Гипотеза: самоактуализация личности подростков связана с уровнем их притязания.
Задачи исследования:
-
Определить уровень притязания у подростков
-
Изучить характеристики самоактуализации;
-
Выявить характер связи между уровнем притязания и самоактуализацией личности у подростков
Выборку составили учащиеся 9-х классов общеобразовательной школы № 39 г. Брянска в возрасте 14-15 лет. всего в исследовании приняли участие 50 учеников, среди которых 25 девочек и 25 мальчиков.
Для проверки гипотезы и решения поставленных задач были использованы следующие психодиагностические методики:
-
«Самооценка уровня притязаний» (методика Шварцландера)
-
Тест самоактуализации (САТ) (Кроз М.В. Гозман Л.Я.)
Для проведения статистической обработки данных использовался метод линейной корреляции К. Пирсона.
Описание методов исследования и методик
1 Методика «Самооценка уровня притязаний» (методика Шварцландера)
Экспериментатором дается следующая инструкция: Подумайте, сколько «плюсиков» вы сможете нарисовать за 10 секунд, и это число предполагаемых «плюсиков» укажите в бланке 1; поставьте цифру рядом с УП (уровень притязаний). Затем по сигналу экспериментатора «Пуск» начинайте рисовать «плюсики» в каждом квадратике бланка 1, а по сигналу «Стоп» — прекратите рисовать. Подсчитайте число реально нарисованных вами «плюсиков» и укажите в бланке 1 рядом с УД (уровень достижений).
2 Учитывая ваш предыдущий опыт и диапазон ваших возможностей (можете ли вы больше, быстрее нарисовать «плюсики»), укажите в бланке 2 ваш уровень притязаний и затем по сигналам экспериментатора «Пуск» и «Стоп» повторите опыт, подсчитайте и запишите в бланк 2 ваш уровень достижений.
3 Данную процедуру опыта повторите для третьего, а затем для четвертого бланка. (Примечания для экспериментатора см. ниже.)
Обработка данных
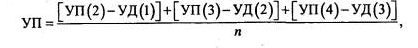
1 Вычислите ваш уровень притязаний по формуле:
(1)
где УП (2) — уровень притязаний из бланка 2; УД (1) — уровень достижений из бланка 1 и т. д. в соответствии с указанными в скобках номерами бланков.
2 Полученные значения уровня притязаний сравните с психодиагностической шкалой.
Уровень притязаний (УП) равен 5 и выше — нереалистично высокий;
УП = 3 -/- 4,99 - высокий; УП = 1 -/- 2,99 - умеренный; УП = -1,49 -/- 0,99 — низкий, УП = -1,50 и ниже — нереалистично низкий.
Примечание для экспериментатора:
1) размеры таблиц 10х3 см, размеры маленьких квадратиков в таблицах 1х1 см;
2) длительность 1-го, 2-го, 4-го опытов 10 секунд, а в 3-м опыте — 8 секунд для искусственного создания ситуации неудачи.
2 Тест самоактуализации (САТ)
Авторы: Кроз М.В. Гозман Л.Я. Разработан на основе опросника личностных ориентаций (POI), созданного в 1963 г.
Тест состоит из 126 пунктов, каждый из которых включает два суждения ценностного или поведенческого характера. Суждения не обязательно являются строго полярными. Тем не менее, испытуемому предлагается выбрать то из них, которое в большей степени отвечает его представлениям или привычному способу поведения.
















