124392 (592940), страница 2
Текст из файла (страница 2)
Принцип работы компенсирующих устройств.
Поворотная головка имеет компенсацию движений, как от крутящего момента, так и в осевом направлении.
Компенсация крутящего момента необходима на тот случай, когда заклинит метчик, так как крутящий момент, подаваемый со шпинделя достаточно большой по этому, если его не компенсировать метчик просто сорвет резьбу и возможно испортится инструмент. Для компенсации крутящего момента служит механизм типа трещотка.
Принцип работы трещотки.
Со шпинделя на водило передаётся крутящий момент, а с водила на шарик который находится в отверстии корпуса. Шарик прижимается к водилу и корпусу патрона втулкой, которая находится под действием набора тарельчатых пружин. Когда крутящий момент превышает допустимый, шарик вытесняет втулку и сам выходит из отверстия корпуса. Корпус останавливается, а водило с шариками обкатываются по нему до тех пор, пока крутящий момент не станет допустимым. Допустимый момент можно регулировать с помощью гайки, которая натягивает набор тарельчатых пружин. Но для нарезании резьбы недостаточно компенсировать один лишь крутящий момент ведь обрабатывающий центр еще и включает подачу, которую тоже необходимо компенсировать.
Принцип работы осевого компенсатора.
Если заклинил метчик и шпиндель продолжает подавать в лево тогда метчик будет жать на корпус патрона а корпус будет давить на гайку которая будет сжимать пружину по большему диаметру пока не закончится подача. Теперь рассмотрим тот случай, когда метчик заклинил на выходе, то есть застрял в отверстии. Шпиндель уходит в право метчик остается на месте через крепящие шарики корпус будет увлекаться за метчиком сжимая с другого конца корпуса пружину.
Рис 3 Модель поворотной головки
2.1.2 Расчет на прочность шпинделя
Расчет прочности шпинделя в опасном сечении.
Для расчета максимального крутящего момента нужно учитывать тот фактор, что при работе поворотной головки предназначенной для нарезания резьбы, в её конструкции предусмотрен компенсатор, типа трещотка, который при заклинивании инструмента, при определенном крутящем моменте, срабатывает трещотка. По этому будем считать, что крутящий момент будет возрастать до тех пор, рока не сработает трещотка.
(2,1)
Мкр=Мтр=10 Н·м
Для конической передачи
Окружная сила
Рокр=2М/d=2·10/0.032=625Н (2,2)
Где М- крутящий момент, d- диаметр вала на который сажается зубчатое колесо.
Найдем осевую составляющую
Росев=Рокр·tg α·sin δ=625·tg20·sin33=123,8H (2,3)
Где Рокр- окружная сила, α- угол профиля, δ- угол спирали в середине зубчатого венца
Радиальная составляющая
Рr=Pокр·tgα·cosδ=625·tg20·cos33=190,7H (2,4)
Построим эпюры растяжений и крутящих моментов
Рис 2.1 Эпюра изгибающих моментов
Построим эпюры изгибающих моментов.
Так как в передней опоре стоит игольчатый подшипник, а в задней два радиально упорных, нужно считать что шпиндель (далее в расчетах будем называть его – балкой не равного сечения находящейся в заделке где запрещается прогиб в месте стояния подшипников т.е. с двух сторон. По этому система получается статически неопределимая 2-а раза.
Все расчеты буду делать в приложении MathCAD
Построим исходную систему
Рис 2.2 Эпюра изгибающих моментов
От исходной системы переходим к основной системе, откидываем одну опору и заменяем её силами. Построим эпюру изгибающих моментов, и эпюры моментов от ед. силы и ед. момента.
Рис 2.3 Эпюра изгибающих моментов
Составим систему уравнений
X111+X313+1F=0 (2,5)
X131+X333+3F=0
Где 11,33,13=31 -перемещения найдем перемножая единичные эпюры друг на друга (все размеры в метрах).
(2,6)
Где k - коэффициент учитывающий диаметры сечений вала, Пользуясь формулой Симпсона для нахождения 11,33,13=31
Зная единичные перемещения от единичного вектора 11, еденичного вектора и единичного момента 13, единичного момента 33, единичного вектора и грузовой эпюры 1F, единичного момента и грузовой эпюры 3F найдем силы приложенные в точке где мы убрали опору для раскрытия статической неопределимости. Для этого подставим 11 13 33 3F 1F в систему уравнений (1)
X111+X313+1F=0 (2,6)
X131+X333+3F=0
Сократим на
тогда получится
Найдем из этого уравнения Х1 и Х3
X1=14,998H
X2=0.62 Нм
Построим эпюру с учетом этих сил
Рис. 2.4 Эпюра изгибающих моментов
Построим эпюры от крутящего момента и определим 2-ю статическую неопределимость
Построим эпюру изгибающих моментов, и эпюры моментов от ед. силы и ед. момента.
Рис. 2.5 Эпюра изгибающих моментов
Составим систему уравнений
X222+X424+2F=0 (2,7)
X241+X444+4F=0
Пользуясь формулой Симпсона для нахождения 22,44,24=42
Зная единичные перемещения от единичного вектора 22, еденичного вектора и единичного момента 24, единичного момента 44, единичного вектора и грузовой эпюры 2F, единичного момента и грузовой эпюры 4F найдем силы приложенные в точке где мы убрали опору для раскрытия статической неопределимости. Для этого подставим 22 24 44 4F 2F в систему уравнений (2)
X222+X424+2F=0 (2,7)
X241+X444+4F=0
Сократим на
тогда получится
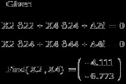
Найдем из этого уравнения Х2 и Х4
Построим эпюру с учетом этих сил
Рис 2.6 Эпюра изгибающих моментов
Все сечения вала испытывают плосконапряженное состояние, найдем сечение с максимальным напряжением для этого необходимо найти эквивалентный момент.
Эквивалентный момент по третьей гипотезе прочности равен
(2,8)
Судя по эпюрам нас будет интересовать 2-а наиболее нагруженных сечения:
1 сечение возле заделки
2 сечение, где находиться шпонка
Как видно из выше приведенных расчетов максимальный момент будет в первом сечении, по этому найдем максимальное напряжение именно для этого сечения.
(2,9)
м3
Сравним максимальное напряжение с допустимым, с учетом динамики.
(2,10)
Условие прочности в опасном сечении соблюдается.
2.1.3 Последовательность расчета пружин сжатия
Исходными величинами для определения размеров пружин являются силы Р1 и Р2, рабочий ход h, наибольшая скорость V0 перемещения подвижного конца пружины при нагружении или лил при разгрузке, заданная выносливость N и наружный диаметр пружины D (предварительный). Если задана только сила Р2, то вместо рабочего хода h назначают прогиб F2 соответствующей заданной силе.
С учетом заданной выносливости N предварительно определяют принадлежность пружины к соответствующему классу по таблице 116.
По заданной силе Р2 и крайним значениям инерционного зазора δ по формуле (1) вычисляют граничные значения силы Р3.
По вычисленным величинам Р3, пользуясь таблицей 117, предварительно определяют принадлежность пружины к соответствующему разряду в выбранном классе.
По таблице 120 параметров пружин в соответствии со стандартом отыскивают строчку, в которой наружный диаметр витка близко совпадает с предварительно заданным значением D. Из этой же строки берут соответствующие величины Р3 и диаметр проволоки d.
По таблице 117 определяют напряжения τ3 вычисляют с учетом временного сопротивления σв по ГОСТ 9389-75
По полученным значениям Р3 и τ3, а также по заданной силе Р2 по формуле (2) находят критическую скорость Vкр и отношение
, с помощью которого проверяют принадлежность пружины к предварительно установленному классу. Несоблюдения условия
для пружин 1 и 2 классов означает, что при скорости V0 выносливость, обусловленная в таблице 116, может быть не обеспечена. Тогда пружина должна быть отнесена к последующему низшему классу или должны быть изменены исходные условия с таким расчетом, чтобы после повторных вычислений в указанном порядке удовлетворялось требование
. Если это выполнить нельзя, то назначают запасные комплекты пружин.
С учетом установленного класса и разряда в соответствии со стандартом по таблице 120 выбирают величины Z1 и f3, затем вычисляют размеры пружины.
Расчет первой пружины
Сила пружины при предварительном перемещении
.
Сила пружины при рабочем перемещении
.
Рабочий ход -
Наибольшая скорость перемещения подвижного конца пружины при нагружении и разгружении
Примем подачу метчика S=3мм/об.
Обороты шпинделя n=1.5об/с.
(3,1)
Выносливость N - число циклов до разрушения
N=5·106 (3,2)
Наружный диаметр пружины D=22.
Относительный инерционный зазор пружины сжатия δ = 0.01
Сила пружины при наибольшем перемещении
(3,3)
силу Р3 уточняем по таблице 120, Р3=115,758Н, диаметр проволоки d=2мм, жесткость одного витка Z1=19.620Н, наибольший прогиб одного витка f3= 5.9, временное сопротивление, σв=2100, наибольшее напряжение при крученииЄ
Мпа (3,4)
Критическая скорость пружины сжатия
(3,5)
(3,6)
Условие соблюдается
Жесткость пружины
(3,7)
Число рабочих витков
(3,8)















