123660 (592844), страница 4
Текст из файла (страница 4)
При косом копании вертикальная Еу и поперечная Еz составляющие силы резания определяются
Еу = Еу. sin ; Ez = Ex. cos .
,
где р – объемная масса грунта в призме волочения;
g – ускорение свободного падения;
b – длина отвала;
Hг – высота отвала по хорде без участка, погруженного в грунт;
о – угол внешнего трения;
– угол, составленный вертикалью и линией, соединяющей верхнюю точку отвала с точкой его контакта с поверхностью разрабатываемого грунта, равен
где р – угол резания; h – толщина срезаемой стружки; Rг – радиус кривизны отвала; Ho – высота отвала по хорде.
Величина Hг определяется по формуле
.
Значения Ех и Еу записываются в виде
где г – объемная масса грунта.
М1R = 1+tg o. tg;
M2R = tg tg o;
где 1 – угол, образуемый подпорной стенкой с вертикалью; г – центральный угол дуги ножа криволинейного профиля, погруженного в грунт.
г = arccos р;
.
Автогрейдер является универсальной машиной и при выполнении планировочных работ ему приходится работать с грунтами различных категорий. Однако финишные, отделочные планировочные операции автогрейдер проводит на разрыхленных грунтах, при этом толщина снимаемого слоя не превышает 0,07 м, то есть процесс планировки земляного полотна несколько отличается от процесса копания грунта толщиной срезаемой стружки и прочностью грунта, а следовательно, и диапазоном изменения реакции грунта копанию, действующей на отвал.
Таким образом, анализ показал, что проблеме определения сопротивления копанию грунта посвящено достаточно много работ, математический аппарат определения сопротивления копанию хорошо проработан и отражает детерминированными выражениями зависимость сил реакции грунта на РО от физико-механических свойств грунта, толщины стружки и параметров РО, а так же флюктуации реакций, носящих случайный характер, и позволяет использовать их для достижения поставленных в работе целей.
1.3 Цели и задачи исследования
Анализ литературы, посвященной проблемам повышения эффективности автогрейдеров при проведении планировочных работ, позволил сделать вывод, что в соответствии с поставленными в различных работах задачами автогрейдер, как объект управления, математически описан достаточно часто. Коренного изменения конструкции автогрейдеров в ближайшее время не ожидается. Наиболее перспективной является схема автогрейдера с шарнирно сочлененной рамой. Эффективность систем автоматического управления рабочим органом путем улучшения элементной базы существенно повысить не возможно. Необходима разработка новых алгоритмов функционирования систем автоматического управления. На наш взгляд, повышение эффективности систем автоматического управления автогрейдера, при производстве планировочных работ, может быть повышена путем применения такого алгоритма работы системы, который позволяет повысить производительность планировочных работ в целом, но требует применения запоминающих устройств и устройств индикации.
Цель данной работы – повышение производительности автогрейдера, выполняющего планировочные работы. Поставленная цель достигается путем применения системы стабилизации отвала, включающей запоминающее устройство и устройство индикации, позволяющей в процессе производства планировочных работ человеку-оператору визуально по устройству индикации следить за геометрическими параметрами формируемого земляного полотна и при достижении заданной точности, требуемой СНиПом, предотвратить лишние проходы по обработанному участку.
Для достижения поставленной цели необходимо провести исследования, в процессе которых решить следующие задачи:
– обосновать основные пути совершенствования системы управления рабочим органом автогрейдера, выполняющего планировочные работы;
– разработать математическое описание автогрейдера, выполняющего планировочные работы;
– выявить основные закономерности рабочего процесса и обосновать технические решения, позволяющие повысить производительность планировочных работ;
– разработать и внедрить систему стабилизации отвала с устройством индикации.
2. Методика исследований
2.1 Общая методика исследований
Системный подход является общепринятым направлением методологии, определяющим ориентацию научных исследований и занимает ведущее место в научном познании. В связи с этим в данной работе системный подход использовался в качестве общей методики исследований.
Системный подход характеризуется следующими основными признаками: целостностью, иерархаичностью, структурностью, множественностью описаний, взаимозависимостью системы и среды.
Суть системного подхода состоит в том, что автогрейдер рассматривается как система, состоящая из ограниченного множества элементов, объединенных в единое целое связями. Группы элементов, объединенных одним функционально завершенным преобразованием, будут являться подсистемами. Целостность автогрейдера, как системы, заключается в том, что его свойства не могут быть поняты и оценены без знания свойств его подсистем. Иерархаичность и структурность автогрейдера, как системы, характеризуется тем, что каждая его подсистема может рассматриваться в свою очередь как система с возможностью ее описания с помощью сети связей. Множество моделей, которыми может быть описан автогрейдер по различным аспектам, является одним из основных принципов системного подхода. Принцип взаимозависимости определяет рассмотрение свойств автогрейдера во взаимосвязи с окружающей средой.
Выделенные подсистемы автогрейдера целесообразно формализовать, то есть абстрактно представить некоторой математической моделью их функционирования. При этом под математической моделью понимается совокупность математических объектов и связей между ними, отражающих важнейшие свойства изучаемого объекта и позволяющих получить новую, ранее неизвестную информацию об объекте.
Используя метод математического моделирования, который является важной методологической основой, можно решать поставленные задачи и обеспечить повышение темпов поиска новых решений при минимуме материальных затрат. Математическое моделирование целесообразно использовать на всех этапах системного анализа путем моделирования всей системы автогрейдера и отдельных его частей, таких, как система управления, гидропривод, микрорельеф и др.
Так как системный анализ предусматривает комплексный подход в решении задач, важной частью работы, наряду с разработкой математической модели и проведением на основе ее теоретических исследований, является натурный эксперимент на реальном объекте, основными задачами которого являются подтверждение адекватности математической модели объекту, а следовательно, и правомерности полученных теоретических выводов, и проверка правильности предлагаемых технических решений в производственных условиях.
В решении поставленных в работе задач методом системного анализа можно выделить следующие основные этапы:
1) синтез структурной схемы рабочего процесса автоматизированного автогрейдера на планировочных работах;
2) теоретические исследования элементов структурной схемы с целью выявления закономерностей их влияния на процесс планировки и связей между ними;
3) введение при необходимости новых элементов или устранение «вредных» элементов и связей, отрицательно влияющих на качество планировочных работ. Формирование технических решений, позволяющих реализовать новую схему рабочего процесса автогрейдера;
4) теоретическое и экспериментальное изучение и оценка функционирования новой системы, корректировка при необходимости разработанных технических решений;
5) оценка результатов исследований.
2.2 Методика теоретических исследований
Математическое моделирование составляет основу теоретических исследований работы, при этом исследуемый объект заменяется его математической моделью, которая отражает с достаточной степенью точности исследуемые свойства объекта. Наиболее распространенным способом представления математической модели является система каких-либо уравнений, выбор которых соответствует уровню принятой математической модели с необходимыми для ее решения данными – начальными, граничными условиями, численными значениями коэффициентов. Наиболее рациональный, а часто и единственный реальный путь решения системы уравнений – это расчеты на ЭВМ численным методом.
Такое исследование называется вычислительным экспериментом. Вычислительный эксперимент обладает рядом преимуществ по сравнению с натуральным: вычислительный эксперимент, как правило, намного дешевле, легче и быстрее реализуем; допускает вмешательство извне на любой стадии; позволяет моделировать условия эксперимента, которые зачастую вообще невозможно воспроизвести в реальных условиях, и выполнять эксперименты на критических режимах, воспроизведение которых в условиях натурного эксперимента затруднительно, дорого, а порой и небезопасно.
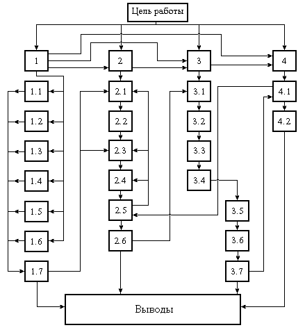
2.4 Структура работы
В соответствии с целью для решения поставленных задач была сформирована структура работы, включающая выполнение следующих основных этапов:
1.1. Анализ критериев эффективности автогрейдера при производстве планировочных работ.
1.2. Анализ предшествующих исследований проблемы повышения точности планировочных работ, выполняемых автогрейдером.
1.3. Анализ математических моделей автогрейдеров.
1.4. Анализ математических моделей гидропривода.
1.5. Анализ математических моделей грунта.
1.6. Анализ математических моделей системы управления.
1.7. Формирование требований к системе управления.
2.1. Обоснование расчетных схем и составление математических моделей подсистем автогрейдера, микрорельефа грунта, человека-оператора.
2.2. Обоснование методов исследования на математических моделях.
2.3. Формирование обобщенной структурной схемы автоматизированного автогрейдера.
2.4. Составление алгоритмов и программ расчета на ЭВМ.
2.5. Оценка адекватности математических моделей.
2.6. Обоснование и выбор численных значений коэффициентов математических моделей и граничных значений диапазонов варьируемых параметров.
3.1. Выбор и обоснование критериев оценки эффективности технологического процесса планировочных работ.
3.2. Выбор и обоснование информационных параметров.
3.3. Анализ значимости параметров на эффективность технологического процесса планировочных работ.
3.4. Анализ параметров на ЭВМ.
3.5. Синтез алгоритмов работы перспективных систем управления.
3.6. Формирование структурной схемы системы управления.
3.7. Разработка инженерных решений.
Рис. 2.1. Структура работы
4.1. Экспериментальное исследование автогрейдера в производственных условиях.
4.2. Внедрение инженерных решений.
3. Математическое описание автогрейдера
3.1 Математическая модель микрорельефа грунтовой поверхности
Анализ рабочего процесса автогрейдера при планировочных работах показал, что одним из факторов, определяющих точность обработки грунта, является микрорельеф обрабатываемой грунтовой поверхности, неровности которой являются одним из источников вертикальных и угловых перемещений автогрейдера при движении и связанного с ними РО. Таким образом, составление математической модели микрорельефа является важным этапом в разработке обобщенной математической модели рабочего процесса автогрейдера. Это позволит установить основные закономерности движения автогрейдера по опорной поверхности, соответствующей реальной, выявить характер влияния на точность обработки грунта параметров обрабатываемого микрорельефа.
В работе использовались для моделирования микрорельефа левой и правой колеи корреляционные функции двух типов, определяемые выражениями и.
Для реализации моделей микрорельефа обрабатываемой грунтовой поверхности на ЭВМ использовались моделирующие алгоритмы, которые определяются выражениями.
На основании указанных выражений составлена программа SOIL реализации микрорельефа на ЭВМ. Блок-схема программы приведена на рис. 3.1. В программе используется стандартная функция RANDOM языка программирования Turbo Pascal 6.0, позволяющая вычислять псевдослучайные числа, нормально распределенные в интервале.
Рис. 3.1. Блок-схема программы SOIL, реализующей микропрофиль
На рис. 3. 2,3. 3,3.5 в качестве примера приведены фрагменты реализации микрорельефа с корреляционными функциями для левой колеи R = 29,16. 10-4. e-0,77II, для правой колеи R = 29,16. 10-4. e-0,77II cos 1,35 .
Реализованный микрорельеф сглажен по пятну контакта равному 0,15 м.
На рис. 3.4 представлена реализация колебаний условной средней точки переднего моста при движении автогрейдера по данным микрорельефам.
















