114719 (591682), страница 6
Текст из файла (страница 6)
Формирование новых понятий и способов действий.
Определение криволинейной трапеции. Площадь криволинейной трапеции. Если на [а;b] ([а;b] ?Ох) функция у=f(х) – непрерывная, не меняет знак (график не пересекает ось абсцисс), тогда фигура, ограниченная графиком функции f, отрезком [а;b] и прямыми х = а, х = b, называется криволинейной трапецией (слайд 8).
Если f - непрерывная и неотрицательная на отрезке [а;b] функция, а F – её первообразная на этом отрезке, то площадь S соответствующей криволинейной трапеции равна приращению первообразной на отрезке [а;b], т.е.
Введение понятия "интеграл".
Рассмотрим другой подход к задаче вычисления площади криволинейной трапеции. Для простоты будем считать функцию f неотрицательной и непрерывной на отрезке [а; b] тогда площадь S соответствующей криволинейной трапеции можно приближенно подсчитать следующим образом.
Разобьем отрезок [а; b] на n отрезков одинаковой длины точками x0 = а
,
где k = 1, 2, ..., n — 1, n. На каждом из отрезков [xk-1; xk] как на основании построим прямоугольник высотой F(xk-1). Площадь этого прямоугольника равна:
а сумма площадей всех таких прямоугольников равна:
В силу непрерывности функции f объединение построенных прямоугольников при большом n, т. е. при малом Δx, "почти совпадает" с интересующей нас криволинейной трапецией. Поэтому возникает предположение, что Sn≈S при больших n. (Коротко говорят: "Sn стремится к S при n, стремящемся к бесконечности"— и пишут: Sn→S при n→∞.) Предположение это правильно. Более того, для любой непрерывной на отрезке [а; b] функции а (не обязательно неотрицательной) Sn при n→∞ стремится к некоторому числу. Это число называют (по определению) интегралом функции f от а до b и обозначают
, т. е.
при n→∞
(читается: "Интеграл от а до b эф от икс дэ икс"). Числа а и b называются пределами интегрирования: а — нижним пределом, b — верхним. Знак
называют знаком интеграла. Функция f называется подынтегральной функцией, а переменная х — переменной интегрирования. Итак, если f(х)≥0 на отрезке [а; b] то площадь S соответствующей криволинейной трапеции выражается формулой
Полный конспект урока см. приложение 1.
В теме "Применение интегралов" мы изучили площадей криволинейных трапеций с помощью интегралов. В процессе проведения опытно-экспериментальной работы нами был разработан план урока для 11 класса на тему: "Вычисление интегралов и площадей криволинейных трапеций с помощью интегралов. Вычисление определенного интеграла с помощью MS Excel" с применением интерактивных досок и информационных технологий (урок 7). Приведем фрагмент урока по теме 7 (см. приложение 1).
Тема урока: Вычисление интегралов и площадей криволинейных трапеций с помощью интегралов. Вычисление определенного интеграла с помощью программ MS Excel.
Цель: Обеспечить закрепление понятия интеграл, способы его вычисления, применение интеграла для вычисления площадей.
Задачи:
Обучающая: сформировать навыки планирования ответа, умение считать и писать в быстром темпе, навыки самоконтроля
Развивающая: развивать познавательную потребность учащихся.
Воспитательная: воспитывать умение организовать свою деятельность, формирование ценностной ориентации, мировоззрения.
Содержание урока: Данная тема рассчитана на два часа и состоит из двух частей: часть 1 – "Вычисление интегралов и площадей криволинейных трапеций с помощью интегралов. В процессе изучения данной темы учащиеся узнают о физическом приложении интеграла.
План урока:
-
Организация начала урока.
-
Постановка проблемы урока.
-
Актуализация ЗУН, необходимых для творческого применения знаний
-
Контроль и самоконтроль знаний, умений и навыков по теме интеграл
-
Формирование новых понятий и способов действий
-
Обобщение и систематизация знаний и способов деятельности
-
Усвоение образца комплексного применения ЗУН
-
Применение знаний умений и навыков в новых условиях
-
Подведение итогов урока
Задание 2. Вычисление определенного интеграла с помощью таблицы Excel.
Для численного вычисления определенного интеграла методом трапеций используется формула:
Методику вычисления определенного интеграла в Excel с использованием приведенной формулы рассмотрим на примере.
Пусть требуется вычислить определенный интеграл
Величина интеграла, вычисленная аналитически равна 9. Для численного вычисления величины интеграла с использованием приведенной формулы выполните следующие действия:
-
табулируйте подинтегральную функцию в диапазоне изменения значений аргумента 0 – 3 (см. рис.).
-
в ячейку С3 введите формулу =(A3-A2)*B2+(A3-A2)*(B3-B2)/2+C2, которая реализует подинтегральную функцию.
-
Скопируйте буксировкой формулу, записанную в ячейке С3 до значения аргумента х = 3. Вычисленное значение в ячейке С17 и будет величиной заданного интеграла - 9.
Вычислите интегралы, работая парами.
Это можно проиллюстрировать использованием компьютера при изучении темы "Применение определенного интеграла к вычислению площадей" на уроках математики. Подходящим программным средством в качестве компьютерной поддержки темы может использоваться электронные таблицы EXCEL. Разработка в ней задачи интегрирования позволяет, во-первых, освоить многие операции, изучаемые в программном средстве по предмету информационных технологий, и, во-вторых, закрепить материал по интегрированию в приложении к вычислению площадей. Тем самым значительно сокращаются затраты учебного времени по общим предметам. Программная разработка в EXCEL состоит из набора изучаемых функций; степенных, показательных, тригонометрических, для которых предлагается ввести соответствующие числовые коэффициенты и пределы интегрирования. В соседний столбец для каждой функции выведены формулы для вычисления первообразных с указанными коэффициентами и пределами интегрирования. После выбора функций значения интегралов и соответствующих им площадей рассматриваются автоматически. На графики выводятся подынтегральная функция и первообразная. Таким образом, имеется возможность графически и численно проанализировать характер функций и влияние на значение площади, то есть выполнить компьютерное моделирование. Поскольку первообразные находятся учащимися "ручным" способом и в электронную таблицу вводятся предварительно выведенные формулы, то работа с компьютером не сводится к механическим операциям и предполагает углубленное знакомство со свойствами функций и приобретения навыков их интегрирования. При этом представляется возможным дифференцировать темпы работы, обеспечить ее вариативность.
Так, например, нами применялись устные коллективные разминки, занимающие не более 5 минут, развивающие быстроту реакции, внимательность, умение четко и конкретно мыслить. В такие разминки следует включать вопросы, требующие однозначного, быстрого хорового ответа и направленные на актуализацию опорных знаний, и на проверку домашнего задания, и на отработку каких либо математических понятий и определений.
Для этого нами был проведен интегрированный урок.
Мотивируя применение интегрированных уроков необходимо отметить, что разнообразие занимательных форм (игры-путешествия, состязания, конкурсы, шарады, загадки) на уроках создаёт положительный эмоциональный фон деятельности, располагает к выполнению тех заданий, которые учащиеся считают трудными и непреодолимыми.
Творческие задания представляют собой один из путей, с помощью которого происходит у детей формирование познавательного интереса.
Познавательная деятельность учащихся в обучении, какой бы характер она не носила, какой бы активной она ни была, всегда должна направляться и организовываться учителем.
Тема: "Применение интеграла при решении физических задач" (см. приложение 1)
Цель: продолжить формирование умений самостоятельно в комплексе применять знания, умения и навыки, осуществлять их перенос в новые условия.
Задачи урока:
Обучающие: способствовать формированию знаний, умений по данной теме;
Развивающие: умственная деятельность (выполнять операции анализа, синтеза, делать выводы, выделять существенные признаки объектов);
Воспитательные: воспитывать умение организовать свою деятельность, формирование ценностной ориентации, мировоззрения.
Оборудование: компьютер, мультимедиа проектор, экран.
Содержание урока: данного урока нет в тематическом планировании, но нами предлагается использовать данную разработку изучении темы 7. Учащиеся знакомятся с примерами применения интеграла в физике и геометрии.
План урока:
-
Организация начала урока.
-
Постановка проблемы урока.
-
Актуализация ЗУН, необходимых для творческого применения знаний
-
Формирование новых понятий и способов действий
-
Обобщение и систематизация знаний и способов деятельности
-
Усвоение образца комплексного применения ЗУН
-
Применение знаний умений и навыков в новых условиях
-
Подведение итогов урока
Ход урока:
-
Организация начала урока.
-
Постановка проблемы урока. На прошлом уроке мы ознакомились с геометрическими задачами, которые решаются при помощи интеграла. Но интеграл применим не только в математике, другие области науки также используют его и сегодня мы с вами проверим это на примере такой науки как физика.
-
Актуализация ЗУН, необходимых для творческого применения знаний
Физические величины, вычисляемые с помощью интеграла, можно разделить на два типа, в зависимости от того, как они естественно определяются. К первому типу относятся "первичные" величины (длина пути, масса, количество электричества, количество теплоты и т. п.), т. е. такие величины, для которых другие, связанные с ними ("вторичные") величины (соответственно скорость, линейная плотность, величина тока, удельная теплоемкость и т. п.) определяются как производные этих величин. Ко второму типу относятся такие, которые определяются естественным образом как интегралы от "первичных" по отношению к ним величин (например, площадь, работа). Для первого типа величин интегральная формула для их вычисления может и должна быть доказана, опираясь на известное из предыдущего материала определение "вторичной" величины как производной от данной "первичной". Для второго типа интегральная формула появляется по определению.
4. Формирование новых понятий и способов действий
При введении понятия интеграла как предела интегральных сумм довольно наглядным и понятным для учащихся является пример задачи о давлении жидкости на стенку.
Задача. Бассейн высоты H наполнен водой. Вычислить давление воды на прямоугольную стенку бассейна с основанием прямоугольника, равным а.
Разделим высоту Н на n равных частей (Δh). Стенка разделится на "элементы". Так как кубометр воды весит тонну, то давление столба жидкости высоты hi м, имеющего сечение 1 м2, равно hi тоннам.
Давление же воды на элемент, находящийся на глубине hi, равно произведению hi на площадь элемента: hia Δh. Обозначим произведение hia через F(hi). Тогда величина давления на всю стенку приближенно равна
Pn≈ F1(h1)Δh1+…+Fn(hn) Δhn.
Данную сумму называют интегральной суммой функции F(h) на отрезке [0; H]. При этом предполагается, что функция F(h) непрерывна на отрезке [0; H] и может принимать любые значения. Если
и высоты "элементов" стремятся к нулю, то точное выражение суммы равно
. Его называют определенным интегралом от функции F(h) на отрезке [0; H] и обозначают
.
Далее понятие определенного интеграла обобщается на произвольную непрерывную функцию F(x) и произвольный отрезок [a; b].
Рассмотрим несколько задач с физическими моделями, где интеграл определяется как приращение первообразной.
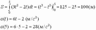
1. Задача о перемещении точки.
Пусть v=v(t) скорость прямолинейного движения точки, заданная на некотором промежутке времени [t1; t2]. При этом пусть v(t)>0. Как выразится длина пути, пройденного точкой за данный промежуток времени?[5]
Обозначим координату движущейся точки в момент t через S(t). Тогда, так как движение при v>0 происходит только в положительном направлении (или иначе, т. к. S(t) – функция возрастающая, ввиду того, что
), то искомое расстояние будет выражаться числом S(t2)-S(t1). С другой стороны S(t) есть первообразная функции v(t) (
). Таким образом вычисление длины пути, пройденного точкой за данный промежуток времени, сводится к отысканию первообразной S(t) функции v(t), т. е. к интегрированию функции v(t).
Разность S(t2)-S(t1) называют интегралом от функции v(t) на отрезке [t1; t2] и обозначают так:
.
-
Импульс силы.
Пусть на тело массой m в течение времени t действует какая-то сила F(t). Найти количество движения тела при заданной зависимости силы от времени за промежуток времени [t1; t2].
Как известно из физики второй закон Ньютона в импульсном представлении выражает уравнение
ΔР=FΔt.
Произведение P=mv(t) массы на скорость называется "количеством движения". Так как скорость тела зависит от времени, то за промежуток времени [t1; t2] искомое количество движения может быть найдено так: Р(t2)-Р(t1). С другой стороны Р(t) есть первообразная функции F(t). Таким образом вычисление количества движения тела за данный промежуток времени, сводится к отысканию первообразной Р(t) функции F(t).
Разность P(t2)-P(t1) называют интегралом от функции F(t) на отрезке [t1; t2] и обозначают так:
.
Величина
называется также "импульсом силы" за время [t1; t2]. Словесная формулировка результата: изменение количества движения равно импульсу силы.
-
Количество электричества.
Представим себе переменный ток, текущий по проводнику. Вычислим количество электричества, протекающего за интервал времени [a; b] через сечение проводника. Если бы сила не менялась со временем, то изменение количества электричества q равнялось бы произведению I(b-a). Пусть задан закон изменения I=I(t) в зависимости от времени. Тогда количество электричества, протекающего за интервал времени [a; b], равно q(b)-q(a). С другой стороны на малом промежутке времени можно считать силу тока постоянной и равной I(t), а dq=I(t)dt, следовательно, вычисление количества электричества за данный промежуток времени, сводится к отысканию первообразной функции I(t).
Разность q(b)-q(a) называют интегралом от функции I(t) на отрезке [a; b] и обозначают так:
.
Вытекание воды из сосуда
Данная задача проста и наглядна в своей постановке для учащихся.
Представим себе сосуд, из которого вытекает вода. В момент времени t поток воды вычисляется по формуле q=q(t). Найдем объем воды, вытекающей из сосуда за промежуток времени [t1; t2]. Объем воды, находящейся в сосуде, обозначим через V. Этот объем со временем меняется, т. е. V есть функция времени t.
Рассмотрим промежуток времени [t1; t2]. Очевидно, что за это время из сосуда вытечет V(t2)-V(t1) воды. С другой стороны, поток воды – это величина, характеризующая скорость изменения количества воды в сосуде, т.е. dV=q(t)dt. Следовательно, вычисление объема воды, вытекающей из сосуда за промежуток времени [t1; t2], сводится к отысканию первообразной функции q(t).
Разность V(t2)-V(t1) называют интегралом от функции q(t) на отрезке [t1; t2] и обозначают так:
.
Все вышерассмотренные модели – это наиболее часто встречающиеся в школьном курсе физики законы и формулы, поэтому они не требуют от учащихся дополнительных знаний по физике, а, следовательно, удовлетворяют как принципу научности, так и принципу доступности материала.
Зачетное занятие было проведено нами в форме обобщающего урока по теме "Первообразная. Интеграл", проведенный с помощью мультимедийной презентации.
Обобщающий урок по теме "Первообразная. Интеграл".
Цель: обобщить и систематизировать знания по теме "Первообразная. Интеграл"
Задачи:
Обучающие: обобщение и систематизация знаний учащихся, закрепление основных понятий базового уровня.
Развивающие: развитие познавательных потребностей учащихся, логического мышления и внимания, формирование потребности в приобретении знаний.
Воспитательные: воспитание сознательной дисциплины и норм поведения, воспитание ответственности, умения принимать самостоятельные решения.
Оборудование: мультимедийный проектор, презентации.
План урока
-
Организация начала урока.
-
Обобщение и систематизация знаний и способов деятельности
-
Подведение итогов урока
Ход урока
1. Организация начала урока.
Проверка домашнего задания с места (фронтально).
Сегодня на уроке мы должны обобщить все знания и умения по теме "Первообразная и интеграл" с целью подготовки к контрольной работе. Начнём повторение мы с устной работы, затем проведём групповую работу, которая откроет нам некоторые исторические факты. Вспомним вычисление площадей фигур, а также повторим, где используют интеграл в физике. В заключении урока проведём самостоятельную работу по перфокартам.
Устная работа (фронтально).
1)На экране спроецирована таблица для устного счёта. Для функций, указанных в таблице, составить хотя бы одну первообразную. (Таблица в презентации).
2) Устное повторение теоретического материала (фронтально):
- Дайте определение первообразной.
- Как читается основное свойство первообразной?
- Какие правила нахождения первообразной существуют?
- Что называется неопределённым интегралом?
- Что называется криволинейной трапецией?
- Как выглядит формула Ньютона – Лейбница?
- В чём состоит геометрический смысл определенного интеграла?
- В чём состоит физический смысл определенного интеграла?
3)Верно ли? На слайде для каждой функции f(x) записана первообразная F(x), но в записи первообразной есть ошибка. Найдите ошибку и прокомментируйте.
f(x)=(8x-5)2, F(x)=(8x-5)3/3+C
Ответ: не хватает перед первообразной множителя 1/8так, как функция f(x) сложная.
f(x)=sin(5+4x), F(x)= -1/5cos(5+4x)+C
Ответ: перед первообразной должен быть множитель1/4, а не 1/5так, как коэффициент к=4.
Ответ: не хватает перед первообразной множителя 2.
2. Обобщение и систематизация знаний и способов деятельности
1а) Групповая работа над темой. На экране через проектор с компьютера проецируются портреты математиков: 1 - Лейбница, 2 - И. Бернулли, 3 - Ферма, 4 – Я. Бернулли, 5 - Ньютона. Класс делится на пять групп. Каждая группа получает карточку со своим заданием: найти значение постоянной С. На этой же карточке дана историческая справка о вкладе конкретного учёного в развитие теории интегрального исчисления. Вычислив значение С, каждая группа связывает это число с номером портрета математика. Представитель от группы зачитывает историческую справку для других. (Портреты в презентации, задания для групп в приложениях 1 и 2).
1б) Продолжим групповую работу. Установить соответствие.
На экране три функции f,g,h и три графика первообразных для данных функций. Для каждой функции записать первообразную и найти график этой первообразной. Решают все на месте в тетрадях также группами, затем озвучивают результаты.
1. f(x)=sinx, 2. g(x)=cosx, 3. h(x)=cos2x
Решение:
F(x)= -cosx+C, G(x)=sinx+C, H(x)=0,5 sin2x+C
2) Устно. Первообразная тесно связана с интегралом. Мы с вами вспоминали формулу Ньютона – Лейбница. Вы знаете, что определённый интеграл используют для вычисления площадей плоских фигур, и в первую очередь для вычисления площади криволинейной трапеции.
Посмотрим на экран и выясним являются ли фигуры криволинейными трапециями.
Физкультминутка
3) Работа у доски. Три ученика выходят к доске и получают карточки с заданием вычислить площадь фигуры. Остальные учащиеся на местах решают две задачи на нахождение площади фигур, затем правильность решения проверяется с помощью проектора.
Задание классу.
Учебник №360(г), №364(г).
Задание 1 ученику - №365(в),
Задание 2 ученику - №365(г),
Задание 3 ученику - №361(б).
4) Работа у доски.
Определённый интеграл используют и в других дисциплинах. Например, на уроках физики с помощью определённого интеграла можно вычислить работу переменной силы, массу, центр масс, электрический заряд, перемещение и количество теплоты.
Задача 1.Сила упругости пружины, растянутой на 6 см, равна 4,2 Н. Какую работу надо произвести, чтобы растянуть пружину на 6см?
Решение:F=kx;
4,2=k*0,06;
k=420:6;
k=70, F=70x
5) Контролирующая самостоятельная работа по перфокартам.
В каждом варианте 6 заданий. К каждому заданию 4 варианта ответов, только один из них правильный. У каждого ученика на парте лежит контрольный талон. Решив задание в тетради, уч – ся выбирает номер верного ответа и зачёркивает его в контрольном талоне. После выполнения всех 6 заданий в каждом контрольном талоне будет зачёркнуто 6 чисел. Ученики сдают талоны учителю, который при помощи шаблона с прорезями быстро проверяет работы, накладывая шаблон на талон.
Контрольный талон
| Фамилия, имя Класс вариант | ||||
| 1 | 2 | 3 | 4 | 5 |
| 6 | 7 | 8 | 9 | 10 |
| 11 | 12 | 13 | 14 | 15 |
| 16 | 17 | 18 | 19 | 20 |
| 21 | 22 | 23 | 24 | 25 |
Шаблон для проверки
1 вариант
| Х | ||||
| Х | X | |||
| Х | X | |||
| X |
2 вариант
| X | ||||
| Х | X | |||
| X | ||||
| X | ||||
| X |
Знак "Х" означает места прорезей в шаблоне.
Оценка результатов:
6 крестиков верных – "5";
5 крестиков верных – "4";
4 крестика верных – "3";
3 и меньше – "2".
6) Индивидуальное проблемное задание для тех, кто быстро справился с самостоятельной раньше других:
При каком положительном значении параметра а площадь фигуры, ограниченной линиями y= 1/x2, y=0, x=1, x=a равна 7/8?
3. Подведение итогов урока
Подводится итог урока. Цель нашего урока была обобщить знания по теме "Первообразная. Интеграл." Давайте посмотрим как мы работали. На экран с помощью проектора выводится таблица. Поднимите руку, если вы
- знаете таблицу первообразных;
- умеете пользоваться таблицей для нахождения первообразной сложной функции;
- легко находите площадь криволинейной трапеции;
- умеете применять интеграл для решения физических задач.
Те, кто поднял руку на все вопросы, готовы к выполнению контрольной работы. Остальным надо подготовиться лучше. Выставляются оценки за работу на уроке. Задаётся домашнее задание.
Для развития познавательной потребности нами предлагается во внеклассной форме работы использование различных видов уроков для развития познавательной потребности учащихся. Мы, например, использовали урок-КВН (см. приложение 1).
Урок КВН по теме "Интеграл"
Цель: обобщение изученного материала по теме, формирование умений применять математические задания к решению практических задач.
Задачи:
Развивающие: развитие познавательной потребности, творческих способностей.
Воспитательные: воспитание интереса к предмету, воспитание чувства коллективизма и взаимовыручки.
КВН проводится интерактивно с помощью сайта школы.
На экране ЭВМ написано:
| I команда | II команда |
(Ниже ведётся запись полученных очков).
Правила игры.
Класс разбивается на две команды.
Выбираются капитаны команд.
Капитаны назначают консультантов.
Для участия во всех видах работы ученики вызываются к доске капитанами команд.
Ход урока.
1 этап. Разминка – ведется на бумажном носителе.
На экране ЭВМ написаны задания.
II этап. Блиц – турнир – проводится с помощью ЭВМ (желательно применение проектора).
III этап. Домашнее задание.
К доске приглашаются по 1 ученику от каждой команды.
1. С помощью интеграла вывести формулу объёма конуса.
2. С помощью интеграла вывести формулу объёма шара.
IV этап. Конкурс капитанов.
V этап. Конкурс болельщиков – задания проектируются на доску с помощью проектора, а также дублируются на сайте школы.
VI этап. Конкурс эрудитов - задания проектируются на доску с помощью проектора, а также дублируются на сайте школы
1. Вычислите:
2. Вычислите:
Решение 1.
Пусть
Решение 2.
Пусть
VII этап. Конкурс консультантов. (дополнительный) – проводится при помощи Mathcad.
VIII этап. Подведение итогов.
Выигравшая команда объявляется победительницей, а многие учащиеся получают оценки.
Итак, применение информационных технологий в преподавании темы "Интегралы":
-
Содействует воспитанию аккуратности, организованности, дисциплины;
-
Формирует умения работать коллективно, в группе, паре, самостоятельно;
-
Прививает интерес к предмету посредством применения современных информационных технологий;
-
Способствует развитию интеллектуальных качеств личности школьника: самостоятельность, гибкость, способности видеть проблему, обобщать, переключаться с одного вида работы на другой;
-
Развивает эмоции учащихся, создавая эмоциональные ситуации удивления, сопереживания;
-
Развивает познавательный интерес, создавая игровые ситуации.
2.3 Результаты экспериментальной работы
Для исследования сформированности познавательной потребности школьников нами был подобран комплекс методов: "Познавательный интерес", "Познавательная потребность", "Мое учение".
Для выявления познавательного интереса была применена методика "Познавательного интереса", целью которой является установление характера и силы познавательного интереса (см. приложение 2). Анализ результатов данной методики приведены в таблице 5.
Таблица 5 Анализ результатов констатирующего и контрольного срезов изучения уровня познавательного интереса
Из таблицы 4 видно, что произошла динамика в характере и силе познавательного интереса у учащихся к учебе. У учеников увеличился интерес к учебе, приблизительно 1,25 раз. Наиболее наглядно, полученные данные можно увидеть на диаграмме 1.
Диаграмма 1 Уровень познавательного интереса
Для изучения познавательной потребности была применена методика "Познавательная потребность", целью которой является установление интенсивности познавательной потребности у учащихся (см.приложение 2, анкета 2). Анализ полученных данных помещен в таблицу 6.
Таблица 6 Анализ результаты изучения познавательной потребности школьников
Как мы видим, из таблицы 6, произошла динамика роста познавательной потребности:
-
Увеличилась умственная работа школьников, при задании на сообразительность учащиеся предпочитают самостоятельный поиск ответа (+6%), стали больше читать дополнительной литературы (+10);
-
На 16% увеличилось эмоциональное отношение учащихся к интересным занятиям, связанным с умственной работой.
-
Учащиеся стали чаще задавать вопросы, что свидетельствует о возросшем интересе к учебному материалу.
Этот факт наглядно демонстрируют диаграммы 2-3.
Диаграмма 2 Частота умственной работы
Диаграмма 3 Отношение школьника к вопросу на сообразительность
Для выявления отношения школьников к учению, предметную направленность их познавательных интересов, изучить некоторые особенности процесса самостоятельной деятельности учащихся мы воспользовались методикой "Мое учение" (см. приложение 2, анкета 3). Результаты этого исследования представлены в таблице 7.
Таблица 7 Сравнительный анализ результатов методики "Мое учение" (в %)
| Этап | I | III | IV | V | |||||
| 1 | 2 | 3 | 1 | 2 | 3 | ||||
| Констатирующий | 92 | 0 | 8 | 20 | 68 | 12 | 76 | 24 | |
| Контрольный | 96 | 0 | 4 | 12 | 80 | 8 | 64 | 36 | |
| Этап | VI | VII | |||||||
| 1 | 2 | 3 | 1 | 2 | 3 | 4 | 5 | 6 | |
| Констатирующий | 60 | 4 | 12 | 0 | 24 | 60 | 28 | 12 | 68 |
| Контрольный | 24 | 76 | 0 | 8 | 0 | 20 | 56 | 24 | 24 |
Из таблицы 7 видно, что на 4 % увеличилось число учащихся, которым интересно учиться в школе; на 12 % возросло число учеников, чувствующих себя всегда спокойно при выполнении самостоятельных работ и 44 % учеников научились правильно распределять время при выполнении самостоятельных работ.
В процессе опытно-экспериментальной работы выявлены два наиболее значимых направления использования информационных технологий в образовании: как средства обучения и как инструментов познания. Первый подход таит в себе ряд проблем, связанных с усвоением уже готовой информации, при котором отсутствует творческая компонента усвоения. Другой подход – использование компьютерных средств как инструментов познания является наиболее продуктивным подходом к обучению, Инструментами познания являются различные компьютерные средства, предназначенные для организации и облегчения процесса познания. Именно с таким подходом связывается дальнейшее развитие использования информационных технологий в обучении. В этом случае учащийся под управлением преподавателя проходит путь познания самостоятельно, а не является потребителем уже готовых знаний, что способствует более глубокому и осознанному усвоению материала, развитию умений разрабатывать учебные компьютерные программы.
Экспериментальная проверка показала, что разработанная методика обучения учащихся 10-11 классов способствует повышению у учащихся уровня знаний в области интегрального исчисления; уровня познавательной потребности; готовности к использованию информационных технологий в будущем.
Использование компьютера в качестве средства обучения путем применения прикладных программ в качестве формализмов представления знаний способствует более быстрому и более полному усвоению материала, чем при использовании всех имеющихся в настоящее время обучающих компьютерных программ.
Сравнительный анализ контрольного констатирующего среза показали, что произошла динамика роста, хоть и не значительная. Таким образом, наша гипотеза подтвердилась.
Заключение
Итак, познавательная потребность – это, прежде всего потребность в новой информации, однако сама новая информация может выступать в самых различных формах: в новом стимуле (новый цвет предмета, неожиданный звук, необычная форма), в новом знании о предмете (его назначение, устройство и т.д.), и наконец, в новой системе представлений о мире (научные знания, наука в целом). И самые элементарные и самые сложные способы удовлетворения познавательной потребности в целом характеризуют одну и ту же познавательную потребность, однако в зависимости от этих способов различаются уровни развития познавательной потребности.
В классных коллективах, где познавательная потребность достигает такого уровня развития, встречаются отдельные учащиеся, у которых она перерастает в страсть, в жажду раздумий над предметом. Это обычно учащиеся с выдающимися способностями.
Современный этап применения информационной технологии обучения в учебном процессе заключается в использовании компьютера как средства обучения не эпизодически, а систематически с первого до последнего занятия при любом виде обучения. Основная проблема при этом заключается в методике компьютеризации курса, который предстоит освоить обучаемому. Возможна либо полная перестройка и ориентация на создание новых компьютеризованных курсов, либо реализация методики с частичной компьютерной поддержкой курса. Другими словами речь идет о форме компьютерной поддержки процесса обучения. В настоящее время практика использования информационных технологий в образовании обнаруживает две тенденции:
- применение промышленных универсальных информационных программ, предназначенных для решения широкого круга практических и научных задач из различных предметных областей, и адаптированных к учебным дисциплинам;
- применение обучающих программ, специально разработанных для целей обучения и реализующих соответствующие методики, заложенные в них разработчиками. На сегодняшний день существует широкий спектр программ от простейших, контролирующих до сложных мультимедийных продуктов.
Использование информационных технологий в обучении позволяет у большинства детей со склонностями к техническим наукам развить устойчивый интерес к данным предметам. При этом решается ещё одна задача образовательного процесса - его гуманизация. Каждый ребенок находит себе задание по своим силам, уровню подготовки и интереса.
Для исследования познавательной потребности нами была подобрана система методов. Данное исследование проводилось в три этапа: констатирующий формирующий и контрольный.
По результатам проведенных методик мы увидели, что произошла динамика роста познавательной потребности: приблизительно на 4,5% увеличилась умственная работа школьников, при задании на сообразительность, учащиеся предпочитают самостоятельный поиск ответа, стали больше читать дополнительной литературы, так же приблизительно на 4,5% увеличилось эмоциональное отношение к интересным занятиям, связанным с умственной работой. Учащиеся стали чаще задавать вопросы, что свидетельствует о возросшем интересе к учебному материалу, таким образом, наша гипотеза подтвердилась.
Список литературы
-
Азевич А.И. Несколько компьютерных программ. //Математика в школе. – 2002. - №10. – С.41-43.
-
Алимов Ш. А. Алгебра и начала анализа: Учеб. для 10-11 кл. сред. шк./ Ш. А. Алимов, Ю. М. Колягин, Ю.В. Сидоров и др. - М.: Просвещение, 1993. – 254 c.
-
Анастази А. Психологическое тестирование. Кн. 2: Пер. с англ./Под ред. Туревича К.М., Лубовского В.И. – М.: Педагогика, 1982. – 365 с.
-
Аут К.Х., Виленкин Н.Я. О роли основных принципов дидактики в преподавании школьного курса математики. //Математика в школе. – 1987. - №1. - С.41-47.
-
Ахметгалив А. Мотивация деятельности на уроках математики. //Математика в школе. – 1996. - №2. – С.57-62.
-
Барчунова Ф. Развитие познавательного интереса к геометрии учащихся VI–VII классов. //Математика в школе. – 1974. - №6. – С.21-28.
-
Башмаков М. И. Алгебра и начала анализа: Учеб. для 10-11 кл. сред. шк. - М.: Просвещение, 1992. – 351 с.
-
Белова О.Е. Об использовании компьютерных технологий в процессе изучения темы "Определенный интеграл и его приложения" //Математическая и методическая подготовка студентов педвузов и университетов в условиях модернизации системы образования: Материалы XXII Всероссийского семинара преподавателей математики педвузов и университетов – Тверь: Изд-во ТГУ, 2003.
-
Белова О.Е. Особенности методической системы обучения интегральному исчислению студентов педвузов на основе использования информационных технологий //Вестник КрасГУ (Гуманитарные науки). – Красноярск: ИЦ КрасГУ, 2006. – Вып.3. – С.81–84.
-
Берман Г. Н. Сборник задач по курсу математического анализа: Уч. пособие. - СПб.: Изд-во "Профессия", 2001. – 432 с.
-
Божович Л.И. Проблемы развития мотивационной сферы ребенка. В кн.: Изучение мотивации поведения детей и подростков /Под ред. Л.И. Божович, Л.В. Благонадежной – М., 1972.
-
Бокуть Л.В. Компьютерные технологии для эффективной познавательной деятельности. //Минск: Материалы международной научно - метод. конф. "Высшее техническое образование: проблемы и пути развития", - 2004. - С.166-167.
-
Будунов Г. М. Компьютерные технологии в образовательной среде: "за" и "против". – М.: АРКТИ, 2005. – 234с
-
Виленкин, Н. Я., Куницкая, Е. С., Мордкович, А. Г. Математический анализ. Интегральное исчисление: Уч. пособие для студентов-заочников II курса физико-математических факультетов педагогических институтов. - М.: Просвещение, 1979. – 175 с.
-
Виштынецкий Е.И. Применение информационных технологий в сфере образования и обучения [Электронный ресурс] Режим доступа: http://www.snfpo.ru/help/articles/a1.htm
-
Выготский Л.С. Собрание сочинений: В 6 томах. Том 4. Детская психология /Под ред. Эльконина Д.Б. – М.: Педагогика, 1984. – 432 с.
-
Гальперин П.Я., Котик Н.Р. К психологии творческого мышления //Вопросы психологии. – 1982. - №5. – С. 23-26.
-
Гузеев В.В. Инновационные идеи в современном образовании //Школьные технологии. – 1997. – №1. - С.47-52.
-
Давыдов В.В. Теория развивающего обучения. - М.: Педагогика, 1986.-240 с.
-
Дразкин И.Е. Опыт системы преподавания математики. //Математика в школе. – 1996. - №6. – С.35-39.
-
Дружинин В.Н. Психология общих способностей.–СПб.: Питер, 1999.–368 с.
-
Дьюи Д. Психология и педагогика мышления. /Пер. с англ. Николаевой Н.М., под ред. Виноградова Н.Д. – М.: Совершенство, 1997. – 208 с.
-
Задачи как средство обучения алгебре и началам анализа в X классе [Текст]: Уч. Пособие //Сост. Е. С. Канин. – Киров: Редакционно-издательский совет Кировского ГПИ имени В. И. Ленина, 1985. – 92 c.
-
Задачник по курсу математического анализа: Уч. пособие для студентов заочн. отделений физ.-мат. фак-тов пединститутов. Ч. I //Под ред. Н. Я. Виленкина. – М.: Просвещение, 1971. – 343 с.
-
Захарова И.Г. Информационные технологии в образовании: Учебное пособие для студ. высш. пед. учеб. заведений. - М.: Издательский центр "Академия", 2003. – 192 с.
-
Зельдович, Я. Б. Высшая математика для начинающих и её приложения к физике: Уч. пособие для физико-математических средних школ и проведения факультативных занятий. – М.: Наука, 1970. – 560 с.
-
Интернет в гуманитарном образовании: Учеб. Пособие для студ. вузов /Под ред. Е.С.Полат. — М.: Гуманит. Изд. Центр ВЛАДОС, 2001. — 272 с.
-
Капустина Т.В. Компьютерная система "Mathematica 3.0" //Математика в школе. - 2003. - №7. – С. 35-37.
-
Кастро К., Альфтан Т. Компьютеры во внешкольном образовании //Перспективы: вопросы образования. - М., 1991. - № 2. – С. 45-49.
-
Кларин М.В, Инновационные модели обучения в зарубежных педагогических поисках. Пособие к спец. курсу для вузов, институтов усовершенствования учителей, повышения квалификации работников образования. - М.: Арена, 1994. – 128 с.
-
Когаловский М.Р. Перспективные технологии информационных систем. – М.: Мастерство, 2001. –256 с.
-
Кождаспирова Г.М., Коджаспиров А.Ю. Педагогический словарь. – М.: ACADEMIA, 2000.
-
Колмогоров, А. Н. Алгебра и начала анализа: Учеб. для 10-11 кл. общеобразоват. учреждений/ А. Н. Колмогоров, А. М. Абрамов, Ю. П. Дудницын и др. – М.: Просвещение, 1998. – 365 c.
-
Косов Б.Б. Творческое мышление восприятие и личность. – М.: "Институт практической психологии", Воронеж: НПО "МОДЕК", 1997 –47 с.
-
Краткий психологический словарь /Ред.-сост. Л.А.Карпенко; /Под общ. ред. А.В.Петровского, М.Г.Ярошевского. - 2-е изд. - Ростов н/Д: Феникс, 1998. - 512 с.
-
Кривоногов В.В. Нестандартные задания по математике: 5-11 классы. – М.:Издательство "Первое сентября", 2003. – 224с
-
Крутецкий В.А. Психология математических способностей школьников. - М.: Просвещение, 1968 – 432с.
-
Кузьмина В.Г. Активизация познавательной деятельности учащихся. //Математика в школе. – 1996. - №4. – С.12-16.
-
Кухарь А.В. Некоторые пути формирования познавательного интереса у учащихся IV–V классов. //Математика в школе. – 1985. - №5. – С.20-26.
-
Леонтьев А.Н. Избранные психологические произведения: В 2 т. – Т II. – М., 1983. – 467 с.
-
Математика 10-11 классы: методическое пособие для учителя / И.И.Зубарева, А.Г. Мордкович. – 3-е изд., испр. – М.: Мнемозина, 2008. –104с.
-
Математика 10-11 классы: развернутое тематическое планирование. Линия Г. В. Дорофеева / авт.-сост. Т.Н. Видеман. – Волгоград: Учитель, 2009.– 71 с.
-
Математика. 11 класс: Поурочные планы по учебнику Н.Я. Виленкина, В.И. Жохова. II полугодие /Авт.- сост. Л.А. Тапилина, Т.Л. Афанасьева. – Волгоград.: Учитель, 2005. – 144 с.
-
Мигунова Н.П. Некоторые приемы активизации познавательной деятельности учащихся. //Математика в школе. – 2000. - №6. – С.10-15.
-
Мордкович А. Г. Алгебра и начала анализа [Текст]: Учеб. для 10-11 кл. общеобразоват. учреждений. Ч. I. – М.: Мнемозина, 2003. – 375 с.
-
Никольский С. М. Алгебра и начала анализа [Текст]: Учеб. для 11 класса общеобразоват. учреждений/ С. М. Никольский, М. К. Потапов. - М.: Просвещение, 2003.
-
Нифагин В.А., Бокуть Л.В. Обучение математическому моделированию на основе электронных пособий. //Минск: Материалы II-й международной научно-метод. конф. "Дистанционное обучение - образовательная среда XXI века", 2002. - С.122-123.
-
Новые педагогические и информационные технологии в системе образования: Учебное пособие для студентов пед. вузов и системы повышения квалификации пед. кадров / Е.С. Полат, М.Ю. Бухаркина, М.В. Моисеева, А.Е. Петров; Под ред. Е.С. Полат. – М.: Издательский центр "Академия", 2003. – 272 с.
-
Овечкина О.И. Приемы активизации познавательной деятельности. //Математика в школе. – 1993. - №5. – С.4-8.
-
Программы для общеобразовательных учреждений. Математика. – МОРФ. – 63 с.
-
Ретинская И.В., Шугрина М.В. Отечественные системы для создания компьютерных учебных курсов //Мир ПК. — 1993. — № 7.- С 12-14
-
Роберт И.В. Современные информационные технологии в образовании: дидактические проблемы; перспективы использования. М.: Школа-Пресс. 1994.— 205 с
-
Рубинштейн С.Л. Основы общей психологии. В 2 т. – Т 1 –М.,1989. – 720 с.
-
Скатецкий В.Г. Организационно-методические связи преподавания математики на факультетах нематематического профиля // Высшая школа. 1999, № 2, С. 45-49.
-
Старцева Н.А. Применение электронных пособий на уроках математики //Информационные технологии в образовании. Сб. научно - методических материалов. - Новосибирск: НГУ, 2004. – С.23 -26
-
Тихомирова О.К. Познавательная потребность. //Сб. "Проблемы формирования социогенных потребностей". Тбилиси, 1974, с. 102—105.
-
Хохлова Н.М. Информационные технологии. - М.: Приор-издат, 2007.–192 с.
-
Хрестоматия по общей психологии. Психология мышления /Под ред. Ю.Б.Гиппенрейтер, В.В.Петухова. – М., МГУ, 1987. –276 с.
-
Хуторской А.В. Интернет в школе: Практикум по дистанционному обучению. - М.:ИОСО РАО, 2000. - 304 с.
-
Черников Б.В. Информационные технологии управления: учебник. – М.:ИД "ФОРУМ" : ИНФРА – М, 2009. – 352 с.
-
Черняк А.А., Черняк Ж.А., Доманова Ю.А. Высшая математика на базе MATHCAD. Общий курс. - С-Пб: БХВ-Петербург, 2004. -54 с.
-
Яковлева Е.А. Развитие творческого потенциала у школьников. //Вопросы психологии. – 1997. - №2. - С.37-42.
Приложение 1
Урок 1
Тема: Интеграл. Площадь криволинейной трапеции.
Цель: сформировать представления о криволинейной трапеции и интеграле, сформировать умения самостоятельно в комплексе применять знания, умения и навыки, осуществлять их перенос в новые условия.
Задачи урока:
Обучающая: создать условия для формирования представления о площади криволинейной трапеции и интеграле.
Развивающая: развивать познавательную потребность учащихся.
Воспитательная: воспитывать умение организовать свою деятельность, формирование ценностной ориентации, мировоззрения.
Оборудование: компьютер, мультимедиа проектор, экран.
Содержание урока: данный урок носит ознакомительный характер, ученики знакомятся с понятиями "площадь криволинейной трапеции", "первообразная", "интеграл". Тема рассчитана на 2 часа.
План урока:
1.Организация начала урока.
2.Постановка проблемы урока.
3.Актуализация ЗУН, необходимых для творческого применения знаний.
4.Формирование новых понятий и способов действий
5.Обобщение и систематизация знаний и способов деятельности
6.Усвоение образца комплексного применения ЗУН
7.Применение знаний умений и навыков в новых условиях
8.Подведение итогов урока
Ход урока:
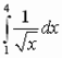
Сообщение учащимся темы и целей урока: Тема нашего сегодняшнего урока: Интеграл. Площадь криволинейной трапеции (Слайд 1).
Исторические сведения об интеграле (Слайд 2):
Определение криволинейной трапеции. Площадь криволинейной трапеции. Если на [а;b] ([а;b] ?Ох) функция у=f(х) – непрерывная, не меняет знак (график не пересекает ось абсцисс), тогда фигура, ограниченная графиком функции f, отрезком [а;b] и прямыми х = а, х = b, называется криволинейной трапецией (слайд 8).
Если f - непрерывная и неотрицательная на отрезке [а;b] функция, а F – её первообразная на этом отрезке, то площадь S соответствующей криволинейной трапеции равна приращению первообразной на отрезке [а;b], т.е.
Введение понятия "интеграл".
Рассмотрим другой подход к задаче вычисления площади криволинейной трапеции. Для простоты будем считать функцию f неотрицательной и непрерывной на отрезке [а; b] тогда площадь S соответствующей криволинейной трапеции можно приближенно подсчитать следующим образом.
Разобьем отрезок [а; b] на n отрезков одинаковой длины точками x0 = а
, где k = 1, 2, ..., n — 1, n. На каждом из отрезков [xk-1; xk] как на основании построим прямоугольник высотой F(xk-1). Площадь этого прямоугольника равна:
а сумма площадей всех таких прямоугольников равна:
В силу непрерывности функции f объединение построенных прямоугольников при большом n, т. е. при малом Δx, "почти совпадает" с интересующей нас криволинейной трапецией. Поэтому возникает предположение, что Sn≈S при больших n. (Коротко говорят: "Sn стремится к S при n, стремящемся к бесконечности"— и пишут: Sn→S при n→∞.) Предположение это правильно. Более того, для любой непрерывной на отрезке [а; b] функции а (не обязательно неотрицательной) Sn при n→∞ стремится к некоторому числу. Это число называют (по определению) интегралом функции f от а до b и обозначают
, т. е.
при n→∞
(читается: "Интеграл от а до b эф от икс дэ икс"). Числа а и b называются пределами интегрирования: а — нижним пределом, b — верхним. Знак
называют знаком интеграла. Функция f называется подынтегральной функцией, а переменная х — переменной интегрирования. Итак, если f(х)≥0 на отрезке [а; b] то площадь S соответствующей криволинейной трапеции выражается формулой
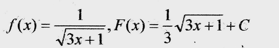
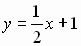
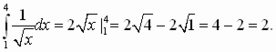
Пример: Вычислить площадь криволинейной трапеции, ограниченной линиями у = 4 - х2 и у = 0
Решение:
1. Построим криволинейную трапецию:
у = 4 - х2
- квадратичная функция, график – парабола, ветви направлены вниз.
у = 0 - ось абсцисс.
2. Найдём [а;b]:
4-х2 = 0;
х2 = 4
х = -2 или х = 2, т. е. а = -2 b = 2
3. Найдём площадь криволинейной трапеции по формуле:
S = F(b) – F(а)
Домашнее задание (Слайд 10).
Урок 2
Тема урока: Вычисление интегралов и площадей криволинейных трапеций с помощью интегралов. Вычисление определенного интеграла с помощью программ MS Excel.
Цель: Обеспечить закрепление понятия интеграл, способы его вычисления, применение интеграла для вычисления площадей.
Задачи:
Обучающая: сформировать навыки планирования ответа, умение считать и писать в быстром темпе, навыки самоконтроля
Развивающая: развивать познавательную потребность учащихся.
Воспитательная: воспитывать умение организовать свою деятельность, формирование ценностной ориентации, мировоззрения.
Содержание урока: Данная тема рассчитана на два часа и состоит из двух частей: часть 1 – "Вычисление интегралов и площадей криволинейных трапеций с помощью интегралов. Вычисление определенного интеграла с помощью программ MS Excel". Вторым часом нами был проведен интегрированный урок (физика + математика) по теме "Применение интеграла при решении физических задач"
Оборудование: интерактивная доска, рабочий листок для каждого ученика, тесты, подготовленные страницы флипчарта, лото компьютер с установленной программой MS Office 2003.
План урока:
-
Организация начала урока.
-
Постановка проблемы урока.
-
Актуализация ЗУН, необходимых для творческого применения знаний.
-
Контроль и самоконтроль знаний, умений и навыков по теме интеграл
-
Формирование новых понятий и способов действий
-
Обобщение и систематизация знаний и способов деятельности
-
Усвоение образца комплексного применения ЗУН
-
Применение знаний умений и навыков в новых условиях
-
Подведение итогов урока
Ход урока:
Каждый из учащихся до урока получает рабочий листок ученика (см. в конце плана урока), на котором записаны этапы урока. Это может позволить учащимся работать в удобном им ритме. Именно в нём учащийся выполняет задания, и после урока лист сдаётся. Часть заданий можно проверить с помощью компьютера или интерактивной доски на уроке. Учащиеся могут выполнять задания в любой удобной для них последовательности. Выбор заданий самостоятельной работы (лото) также произволен, по договорённости с членами группы, которая может формироваться произвольно. Варианты самостоятельной работы можно составить различными по степени трудности для учёта индивидуальных особенностей учащихся. На уроке предусмотрена работа в парах и группах. Объём выполненной работы на уроке и степень самостоятельности оценивается учителем по рабочему листу ученика.
Необходимые для выполнения на уроке задания разнообразны по форме подачи условия (текст, лото, тест, игровые моменты), позволяют развивать творческую и мыслительную деятельность учащихся сформировать:
-
Умение применить знания на практике
-
Умения чётко и ясно излагать свои мысли
I. Организационный момент.
Сегодня мы заканчиваем изучение темы "Интеграл". Мы познакомились с понятием интеграл, узнали о его применении для вычисления площадей фигур. На сегодняшнем уроке мы ещё раз пролистаем страницы применения этого математического понятия. А также научимся вычислять определенный интеграл с помощью компьютерных программ.
II. Актуализация знаний
Карточка №1 Найти пары чисел а и в, при которых функция f(x) удовлетворяет условиям
f(x)= ах2 –в,
= 6, f ' (3) = 48
Решение:
f ' (x)=2ах; 6а = 48; а = 8,
=
=
=
=6, в=18
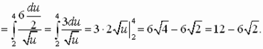
Карточка №2 Вычислить интеграл, используя его геометрический смысл.
Решение: у=
,
у
0
у2 =2х – х2 , (х-1)2 + у2 =1
Это уравнение окружности с центром (1;0) и радиусом R=1. Площадь круга данного радиуса Sкр =
R2=
. Учитывая, что у
0
=
=
Карточка №3
При каком значении а (1/2< а <18) S1
S2 ?
Решение:
S1=
S2=
По условию S1
S2 , значит lna+ln2
ln18-lna ,
2 lna
9; а2
9; -3
а
3
Учитывая условие 1/2< а <18, получаем 1/2< а <3.
-
Как вы считаете, что нужно знать, чтобы вычислить площади фигур?
-
Дайте определение первообразной функции, неопределенного интеграла.
Дайте определение определенного интеграла. Запишите формулу, по которой он вычисляется? Чье имя носит эта формула? (Можно сообщить заранее подготовленную историческую справку о И. Ньютоне и Г. Лейбнице. (см. Слайд 1 – слайд демонстрируется на компьютере, дфомируется с помощью MS Power Point)
Предложите способ вычисления указанных интегралов (устно) (Слайд 2).
Задание 2 Вычисление определенного интеграла с помощью таблицы Excel. Данное задание дается с целью уяснения учащимися сущность метода численного решения задачи и овладеть первичными навыками составления, ввода, трансляции, отладки, исполнения и оформления задачи в табличном редакторе.
Для численного вычисления определенного интеграла методом трапеций используется формула:
Методику вычисления определенного интеграла в Excel с использованием приведенной формулы рассмотрим на примере.
Пусть требуется вычислить определенный интеграл
Величина интеграла, вычисленная аналитически равна 9. Для численного вычисления величины интеграла с использованием приведенной формулы выполните следующие действия:
-
табулируйте подинтегральную функцию в диапазоне изменения значений аргумента 0 – 3 (см. рис.).
-
в ячейку С3 введите формулу =(A3-A2)*B2+(A3-A2)*(B3-B2)/2+C2, которая реализует подинтегральную функцию.
-
Скопируйте буксировкой формулу, записанную в ячейке С3 до значения аргумента х = 3. Вычисленное значение в ячейке С17 и будет величиной заданного интеграла - 9.
Вычислите интегралы, работая парами. Выбирая соответствующую ответу букву, вы прочтете фамилию французского математика, который дал определение интеграла как предела интегральных сумм. (ответ: Огюстен Луи Коши. 1789-1857).
Дайте определение криволинейной трапеции (Слайд 3). Среди фигур, изображенных на рисунке, выбрать криволинейную трапецию. /Ответ:1,3,5/
Вспомните, как вычисляется площадь криволинейной трапеции. Запишите формулу для площади. Как можно вычислить площади фигур в случаях 2,4,6?
Работа в группах (по 4 человека) Задание: вычислить площади криволинейных трапеций – игра "Лото". (см. Слайд 4).
Справившиеся с заданиями учащиеся могут приступить к выполнению заданий IV и V в рабочем листе урока.
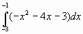
Задание IV. Вычислить площадь фигуры, ограниченной графиком функции
у=|-х2-4х -3|, осью ОХ.
Решение: -х2-4х -3
0, координаты вершины х0 = -2;у0 =1
Площадь заштрихованной фигуры
S=
= -(
=1
Задание V.
При каком значении а числа S1, S2, S3 образуют три последовательных числа арифметической прогрессии. Найти разность этой прогрессии.
Решение:
S1 =2 -
S2 =
-
S3 =
-
Согласно свойству арифметической прогрессии
2S2 = S1+ S3, т.е.
2(
-
)= 2 -
+
-
;
=
; а=
S1=
; S2 =
Разность прогрессии
d= S2 - S1 =-
Подведение итогов урока. Выяснить наличие вопросов, которые появились при решении рассмотренных на уроке задач, а также учитель просит ребят оценить свою работу на уроке, на сколько она была плодотворной, что было на уроке удачным, а что нет.
Слайд 1 - Познай секреты математики:
"Интеграл. Вычисление площадей с помощью определённого интеграла"
-
"Закодируй ответ"
-
Определите фамилию французского математика, который дал определение определенного интеграла как предела интегральных сумм.
"Да, много решено загадок
от прадеда и до отца,
и нам с тобой продолжить надо
тропу, которой нет конца"
(В. Ноздрёв, профессор)
-
"Лото" Вычисли площадь криволинейных трапеций.
IV.Вычислите площадь фигуры, ограниченной графиком функции
у=|-х2 - 4х-3| и осью ОХ.(рисунок)
-
При каком значении а числа S1, S2, S3 образуют три последовательных члена арифметической прогрессии. Найти разность этой прогрессии.
Слайд 2
1.
(ответ: 1/4)
2.
(ответ
)
3.
(ответ: 1-ln2)
4.
(ответ: 2+ln3)
можно расположить за "шторкой" на интерактивной доске. После обсуждения методов решения, "шторку" открыть.
Слайд 3
Слайд 4
Ответы к Слайду 4
-
1
-
1
-
2
-
-
4,5
-
4ln2
-
6
-2 -
0,5
| 1 | 1 | 2 |
|
| 4,5 | 4ln2 | 6 | 0,5 |
Правила игры "Лото". Учитель готовит 5-6 больших карт, разделенных на прямоугольники с записанными на них ответами, и соответственное количество карточек с примерами. Большие карты раздаются группам играющих. Дается время, в течение которого ребята, разделив по своему усмотрению карточки, выполняют задания (можно всей группе решать одно и то же задание, затем сверять). Найдя на большой карте ответ, который считает правильным группа, накрывают им задание. Выигрывает та группа, которая раньше всех накрыла все клетки своих карт. Чтобы проверить правильность решения, учитель переворачивает карточки и тогда, если все ответы верны, должна получиться картинка, которую предварительно рисуют на всех маленьких карточках (сначала рисуют картинку, потом пишут задания, а затем их разрезают).
Урок 3
Интегрированный урок (физика + математика) по теме "Применение интеграла при решении физических задач"
Цель: продолжить формирование умений самостоятельно в комплексе применять знания, умения и навыки, осуществлять их перенос в новые условия.
Задачи:
Обучающие: способствовать формированию знаний, умений по данной теме;
Развивающие: умственная деятельность (выполнять операции анализа, синтеза, делать выводы, выделять существенные признаки объектов);
Воспитательные: воспитывать умение организовать свою деятельность, формирование ценностной ориентации, мировоззрения.
Оборудование: компьютер, мультимедиа проектор, экран.
Содержание урока: данного урока нет в тематическом планировании, но нами предлагается использовать данную разработку изучении темы 7.
План урока:
-
Организация начала урока.
-
Постановка проблемы урока.
-
Актуализация ЗУН, необходимых для творческого применения знаний
-
Формирование новых понятий и способов действий
-
Подведение итогов урока
Ход урока:
-
Организация начала урока.
-
Постановка проблемы урока. На прошлом уроке мы ознакомились с геометрическими задачами, которые решаются при помощи интеграла. Но интеграл применим не только в математике, другие области науки также используют его и сегодня мы с вами проверим это на примере такой науки как физика.
-
Актуализация ЗУН, необходимых для творческого применения знаний
Физические величины, вычисляемые с помощью интеграла, можно разделить на два типа, в зависимости от того, как они естественно определяются. К первому типу относятся "первичные" величины (длина пути, масса, количество электричества, количество теплоты и т. п.), т. е. такие величины, для которых другие, связанные с ними ("вторичные") величины (соответственно скорость, линейная плотность, величина тока, удельная теплоемкость и т. п.) определяются как производные этих величин. Ко второму типу относятся такие, которые определяются естественным образом как интегралы от "первичных" по отношению к ним величин (например, площадь, работа). Для первого типа величин интегральная формула для их вычисления может и должна быть доказана, опираясь на известное из предыдущего материала определение "вторичной" величины как производной от данной "первичной". Для второго типа интегральная формула появляется по определению.
4. Формирование новых понятий и способов действий
При введении понятия интеграла как предела интегральных сумм довольно наглядным и понятным для учащихся является пример задачи о давлении жидкости на стенку.
Задача. Бассейн высоты H наполнен водой. Вычислить давление воды на прямоугольную стенку бассейна с основанием прямоугольника, равным а.
Разделим высоту Н на n равных частей (Δh). Стенка разделится на "элементы". Так как кубометр воды весит тонну, то давление столба жидкости высоты hi м, имеющего сечение 1 м2, равно hi тоннам.
Давление же воды на элемент, находящийся на глубине hi, равно произведению hi на площадь элемента: hia Δh. Обозначим произведение hia через F(hi). Тогда величина давления на всю стенку приближенно равна
Pn≈ F1(h1)Δh1+…+Fn(hn) Δhn.
Данную сумму называют интегральной суммой функции F(h) на отрезке [0; H]. При этом предполагается, что функция F(h) непрерывна на отрезке [0; H] и может принимать любые значения. Если
и высоты "элементов" стремятся к нулю, то точное выражение суммы равно
. Его называют определенным интегралом от функции F(h) на отрезке [0; H] и обозначают
Далее понятие определенного интеграла обобщается на произвольную непрерывную функцию F(x) и произвольный отрезок [a; b].
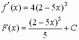
Рассмотрим несколько задач с физическими моделями, где интеграл определяется как приращение первообразной.
1. Задача о перемещении точки.
Пусть v=v(t) скорость прямолинейного движения точки, заданная на некотором промежутке времени [t1; t2]. При этом пусть v(t)>0. Как выразится длина пути, пройденного точкой за данный промежуток времени?[5]
Обозначим координату движущейся точки в момент t через S(t). Тогда, так как движение при v>0 происходит только в положительном направлении (или иначе, т. к. S(t) – функция возрастающая, ввиду того, что
), то искомое расстояние будет выражаться числом S(t2)-S(t1). С другой стороны S(t) есть первообразная функции v(t) (
). Таким образом вычисление длины пути, пройденного точкой за данный промежуток времени, сводится к отысканию первообразной S(t) функции v(t), т. е. к интегрированию функции v(t).
Разность S(t2)-S(t1) называют интегралом от функции v(t) на отрезке [t1; t2] и обозначают так:
.
-
Импульс силы.
Пусть на тело массой m в течение времени t действует какая-то сила F(t). Найти количество движения тела при заданной зависимости силы от времени за промежуток времени [t1; t2].
Как известно из физики второй закон Ньютона в импульсном представлении выражает уравнение
ΔР=FΔt
Произведение P=mv(t) массы на скорость называется "количеством движения". Так как скорость тела зависит от времени, то за промежуток времени [t1; t2] искомое количество движения может быть найдено так: Р(t2)-Р(t1). С другой стороны Р(t) есть первообразная функции F(t). Таким образом вычисление количества движения тела за данный промежуток времени, сводится к отысканию первообразной Р(t) функции F(t).
Разность P(t2)-P(t1) называют интегралом от функции F(t) на отрезке [t1; t2] и обозначают так:
Величина
называется также "импульсом силы" за время [t1; t2]. Словесная формулировка результата: изменение количества движения равно импульсу силы.
-
Количество электричества.
Представим себе переменный ток, текущий по проводнику. Вычислим количество электричества, протекающего за интервал времени [a; b] через сечение проводника. Если бы сила не менялась со временем, то изменение количества электричества q равнялось бы произведению I(b-a). Пусть задан закон изменения I=I(t) в зависимости от времени. Тогда количество электричества, протекающего за интервал времени [a; b], равно q(b)-q(a). С другой стороны на малом промежутке времени можно считать силу тока постоянной и равной I(t), а dq=I(t)dt, следовательно, вычисление количества электричества за данный промежуток времени, сводится к отысканию первообразной функции I(t).
Разность q(b)-q(a) называют интегралом от функции I(t) на отрезке [a; b] и обозначают так:
-
Вытекание воды из сосуда.
Данная задача проста и наглядна в своей постановке для учащихся.
Представим себе сосуд, из которого вытекает вода. В момент времени t поток воды вычисляется по формуле q=q(t). Найдем объем воды, вытекающей из сосуда за промежуток времени [t1; t2]. Объем воды, находящейся в сосуде, обозначим через V. Этот объем со временем меняется, т. е. V есть функция времени t.
Рассмотрим промежуток времени [t1; t2]. Очевидно, что за это время из сосуда вытечет V(t2)-V(t1) воды. С другой стороны, поток воды – это величина, характеризующая скорость изменения количества воды в сосуде, т.е. dV=q(t)dt. Следовательно, вычисление объема воды, вытекающей из сосуда за промежуток времени [t1; t2], сводится к отысканию первообразной функции q(t).
Разность V(t2)-V(t1) называют интегралом от функции q(t) на отрезке [t1; t2] и обозначают так:
Все вышерассмотренные модели – это наиболее часто встречающиеся в школьном курсе физики законы и формулы, поэтому они не требуют от учащихся дополнительных знаний по физике, а, следовательно, удовлетворяют как принципу научности, так и принципу доступности материала.
5. Самостоятельная работа.
Учащиеся самостоятельно прорешивают задачи с использованием свойств интеграла.
№1. Вычислите силу давления воды на вертикальный прямоугольный шлюз с основанием 18 м и высотой 6 м.
Решение. Сила давления воды зависит от глубины х погружения площадки: P(x)=ax, где а – площадь площадки. Получаем
(т)
№2. Тело массой 1 движется с ускорением, меняющимся линейно по закону a(t)=2t-1. Какой путь пройдёт тело за 4 единицы времени от начала движения t=0, если в начальный момент его скорость равнялась 2?
Решение. Скорость тела в любой момент времени t вычисляется по формуле
v=v0+at
Используя данные задачи, получаем:
№3. Тело брошено с поверхности Земли вертикально вверх с начальной скоростью v0. Какова наибольшая высота, достигаемая телом?
Решение. Скорость тела в любой момент времени t движения равна разности начальной скорости и скорости gt, вызванной ускорением, определяемым силой тяжести: v=v0-gt. Движение вверх будет происходить при v=v0-gt>0, т. е. при
. Таким образом, максимальная высота полета равна
№4. На прямой расположены материальная точка массы m и однородный стержень массы M и длины l. Точка удалена от концов стержня на расстояния c и c+l. Определить силу гравитационного притяжения между стержнем и точкой.
Решение. Разобьем отрезок [c; c+l] на большое число отрезков. Если отрезки эти малы, то массу каждого из них можно считать точечной и силу гравитационного притяжения между таким отрезком и массой m вычислять по закону всемирного тяготения. Если длина отрезка равна Δх, а расстояние его от начала координат равно х, то сила гравитационного притяжения равна
Δх
Суммируя полученные для каждого отрезка значения силы гравитационного притяжения, мы получим представление искомой силы в виде суммы тем более точное, чем мельче отрезки, на которые мы разбивали отрезок [c; c+l]. В пределе получим
6. Подведение итогов урока. Вывод о проблеме урока. Задание домашнего задания.
Урок-КВН по теме "Интеграл"
Цель: обобщение изученного материала по теме, формирование умений применять математические задания к решению практических задач.
Задачи:
Развивающие: развитие познавательной потребности, творческих способностей.
Воспитательные: воспитание интереса к предмету, воспитание чувства коллективизма и взаимовыручки.
КВН проводится интерактивно с помощью сайта школы.
На экране ЭВМ написано:
| I команда | II команда |
(Ниже ведётся запись полученных очков).
Правила игры.
Класс разбивается на две команды.
Выбираются капитаны команд.
Капитаны назначают консультантов.
Для участия во всех видах работы ученики вызываются к доске капитанами команд.
Ход урока.
1 этап. Разминка – ведется на бумажном носителе.
На экране ЭВМ написаны задания.
Докажите, что функция F(х) является первообразной для функции f(х) на промежутке
F(х) =
+ 3х – 5,
f(х) = 3(
+ 1)
Найдите общий вид первообразной для функции:
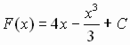
f(х) = 2х3 – 6
+ х – 1
Вычислите интеграл:
Найдите первообразную функцию f(х) = 4 –
, график которой проходит через точку (–3; 10).
Решение:
F'(х) = (х3 +3х – 5)' = 3
+ 3 = 3(
+1)
F'(х) = f(х).
F(х) является первообразной f(х)
Консультанты каждой команды собирают тетради и передают консультантам другой команды для проверки. Побеждает та команда, у которой больше сумма очков.
II этап. Блиц – турнир – проводится с помощью ЭВМ (желательно применение проектора). Найдите ошибку: (с классом)
4.
8. Тело движется по прямой так, что расстояние S до него от некоторой точки А этой прямой изменяется по закону
S = 0,5
+ 3t + 2(м),
где t – время движения в секундах.
Найти U тела через 7 сек.
U (7) = 10 м/сек.
III этап. Домашнее задание.
К доске приглашаются по 1 ученику от каждой команды.
1. С помощью интеграла вывести формулу объёма конуса.
2. С помощью интеграла вывести формулу объёма шара.
Решение:
Рисунок 1
Дано: АВ = R
ОВ = H.
Вывести формулу V конуса.
Вывод: При вращении прямоугольного треугольника ОАВ вокруг оси ОХ, содержащей катет
ОВ получается конус. Треугольник ОАВ является частным случаем криволинейной трапеции, ограниченной графиком функции y=f(х) (прямой ОА), прямыми х = 0 и х = Н, осью абсцисс. V тела вращения вычисляется по формуле
Найдём уравнения прямой ОВ:
Вывод: V конуса равен
произведения площади основания на высоту.
Решение 2:
Рисунок 2
Дано: полукруг (О;R)
Вывести формулу V шара.
Вывод: При вращении полукруга вокруг оси ОХ, получаем тело вращения шар.
Полукруг является частным видом криволинейной трапеции, ограниченной графиком функции у=f(х) и прямыми х = – R, х = R, у = 0.
Уравнение окружности имеет вид
+
=
=
–
Подставим в формулу:
Вывод: V шара радиуса R равен 4/3
.
IV этап. Конкурс капитанов.
1. Вычислите площадь фигуры, ограниченной графиками функций
2. Вычислите площадь фигуры, ограниченной линиями
В процессе решения задач капитанами, учащиеся решают задачи капитанов из противоположных команд и готовят для него вопросы по теме заданий. По результатам решения задачи и ответов на вопросы, капитаны получают соответствующие баллы.
Решение задания 1.
1. Найдём абсциссы точек пересечения графиков данных функций:
2. Постройте графики данных функций с применением ИКТ.
| х | 3 | 4 | 7 | 12 | 19 | 28 |
| у | 0 | 3 | 6 | 9 | 12 | 15 |
| х | 0 | 2 |
| у | 1 | 2 |
V этап. Конкурс болельщиков – задания проектируются на доску с помощью проектора, а также дублируются на сайте школы.
1). Чему равен путь, пройденный точкой, движущейся прямолинейно, за отрезок времени от t1=1с до t2 = 4с, если скорость точки U(t) = (2t? – 3t) м/с?
Чему равно ускорение этой точки в момент времени t = 2с?
2). Тело движется прямолинейно со скоростью U(t) = (3
– 2t)
Найти путь, пройденный телом за первые 5 сек.
Чему равно ускорение тела в момент t = 5 c?
Решение 1.
Решение 2.
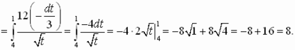
VI этап. Конкурс эрудитов - задания проектируются на доску с помощью проектора, а также дублируются на сайте школы
1. Вычислите:
2. Вычислите:
Решение 1.
Пусть
Решение 2.
Пусть
VII этап. Конкурс консультантов. (дополнительный) – проводится при помощи Mathcad.
1. Исследуйте функцию f(х) = – х? + 3х? – 4 и постройте её график.
2. Исследуйте функцию f(х) = х? - 3х? + 4 и постройте её график.
VIII этап. Подведение итогов.
Выигравшая команда объявляется победительницей, а многие учащиеся получают оценки.
Приложение 2
Методы исследования
Анкета 1. Познавательный интерес.
Цель: выявить уровень развития познавательных интересов учащихся.
Порядок проведения: учащимся предлагается заполнить следующую анкету, выбрав один из предложенных вариантов ответа на вопрос.
1. Связаны ли интересы ученика с выбором будущей профессии?
а) связаны очень тесно;
б) связаны, но мало сопровождаются соответствующей организацией деятельности;
в) никак не связаны.
2. Обращается ли ученик к серьезным источникам: пользуется ли научной литературой, работает ли со словарем и так далее?
а) постоянно;
б) иногда;
в) очень редко.
3. Ставит ли перед собой задачи, выполнение которых невозможно в один присест и требует кропотливой работы в течение многих дней и даже месяцев?
а) большинство занятий подчинено этому принципу;
б) ставит такие задачи, но редко выполняет;
в) не ставит долговременных задач.
4. В какой мере, занимаясь любимым делом, может делать "черную", неинтересную работу (например, выполнять длительные вычисления при решении задач)?
а) делает всегда столько, сколько нужно;
б) делает периодически;
в) не любит выполнять неинтересную для него работу.
5. Способен ли при необходимости заниматься продолжительное время интеллектуальной деятельностью, жертвуя развлечениями, а иногда и отдыхом?
а) всегда, когда это нужно;
б) только изредка;
в) не способен.
Анализ: за каждый ответ а) начисляется 2 балла, за ответ б) - 1 балл, за в)- 0 баллов. Затем суммируют набранные учеником баллы. Результат:
от 8 до 10 баллов - показатель высокого уровня развития познавательного интереса;
от 4 до 7 баллов - показатель среднего уровня;
3 и ниже баллов - низкий уровень развития познавательного интереса.
Анкета 2. Познавательная потребность
Цель – изучение познавательной потребности учащегося
Ход проведения.
Учащимся предлагается анкета с пятью вопросами. Их просят внимательно прочитать возможные варианты ответа и отметьте у себя в бланке ответов вариант ответа, которое наиболее всего подходит им.
| № п/п | Вопрос | Возможные ответы | Балл |
| 1 | Как часто ученик подолгу занимается какой-нибудь умственной работой (час-полтора — для младшего школьника, несколько часов - подряд— для подростков)? | а) часто б) иногда в) очень редко | 5 3 1 |
| 2 | Что предпочитает школьник, когда задан вопрос на сообразительность? | а) помучиться, но самому найти ответ б) когда как в) получить готовый ответ от других | 5 3 1 |
| 3 | Много ли читает школьник дополнительной литературы? | а) постоянно, много б) иногда много, иногда ничего не читает в) мало или совсем ничего не читает | 5 3 1 |
| 4 | Насколько эмоционально ученик относится к интересному для него занятию, связанному с умственной работой? | а) очень эмоционально б) когда как в) эмоции ярко выражены (по сравнению с другими ситуациями) | 5 3 1 |
| 5 | Часто ли задает вопросы? | а) часто б) иногда в) очень редко | 5 3 1 |
Интенсивность познавательной потребности определяется суммой баллов: 17-25 баллов – потребность выражена сильно, 12-16 баллов – умеренно, меньше 12 баллов – слабо.
Анкета 3. Мое учение.
Цель: выявить отношение школьников к учению, предметную направленность их познавательных интересов, изучить некоторые особенности процесса самостоятельной деятельности учащихся.
Методика представляет собой проективный тест, заданный в форме неоконченных предложений.
Порядок проведения: учитель раздает листы, объявляет цель работы и дает инструкцию учащимся, внимательно читая текст, указать (дописать) то, что отражает особенности их учебной деятельности.
I. Учиться в школе мне:
а) интересно;
б) неинтересно;
в) не знаю.
II. Мои любимые предметы: _______________________________.
III. При выполнении самостоятельной работы я:
а) сразу же приступаю к делу, работаю всегда быстро, даже если допускаю при этом ошибки;
б) сначала стараюсь понять задание, тщательно анализирую его, но потом действую уверенно;
в) очень долго думаю над заданием, не решаюсь приступить к его выполнению, чувствую себя неуверенно.
IV. При выполнении самостоятельных работ всегда волнуюсь, так как ___.
V. Чувствую себя всегда спокойно, так как ____________________________.
VI. Трудности у меня:
а) бывают всегда;
б) иногда;
в) не встречаются.
VII. Чаще всего я:
а) не понимаю цель работы;
б) не понимаю задание;
в) не понимаю, как его выполнить;
г) не умею контролировать ход своей работы;
д) не знаю, как проверить результаты работы;
е) не умею правильно распределить время.
VIII. Я очень дорожу всегда помощью ___________________________________.
IX. Если бы я был учителем, то таким как я ученикам, при выполнении заданий ____________________________________________________________.
Коротко о себе: 1) учусь на 4-5;
а) имею 3;
б) не успеваю по некоторым предметам;
в) увлекаюсь _______________________;
г) хочу стать _______________________.
Анализ: обработка первых двух вопросов дает возможность выявить самооценку отношения учащихся к учению. Остальные ответы характеризуют индивидуальные особенности процесса самостоятельной деятельности. На основе их анализа можно выделить:
а) учащихся, которые приступая к решению задачи, действуют импульсивно, торопятся, не всегда замечают ошибки, а, следовательно, требуют внимания учителя на начальном этапе работы;
б) учащихся, которые действуют взвешено, спокойно, уверенно;
в) "тугодумы" - у которых затянут ориентировочный этап, заметны нерешительность и робость.
В связи с этим анализируются и сопоставляются данные, характеризующие эмоциональное состояние учащихся при выполнении заданий, типичные затруднения.
18>18>
-2














