103832 (590794), страница 4
Текст из файла (страница 4)
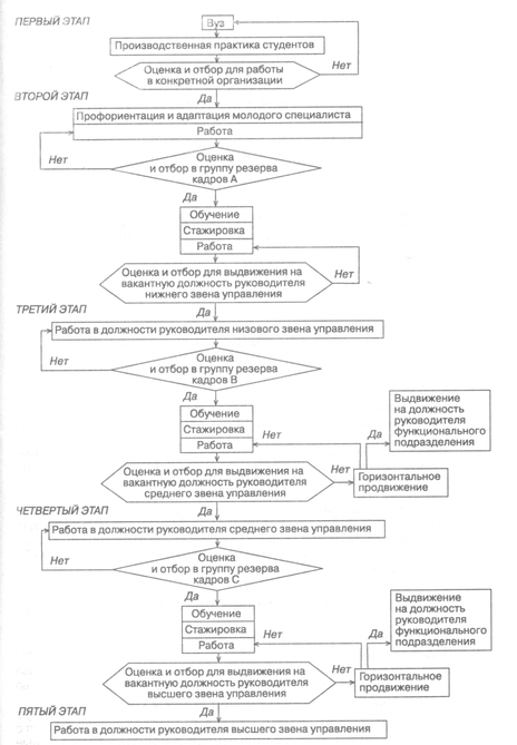
Рисунок 1.9 – Этапы системы служебно-профессионального продвижения линейных руководителей в организации
Первый этап — работа со студентами старших курсов базовых институтов или направленных на практику из других вузов. Специалисты подразделений управления персоналом совместно с руководителями соответствующих подразделений, где проходят практику студенты, проводят подбор студентов, наиболее способных, склонных к руководящей работе, и начинают с ними подготовку к конкретной деятельности в подразделениях организации. Студентам, успешно прошедшим подготовку и практику, выдается характеристика-рекомендация для направления на работу в соответствующие подразделения данной организации. Молодые специалисты, не проходившие практику в данной организации, при приеме на работу тестируются, им оказывается консультационная помощь.
Второй этап — работа с молодыми специалистами, принятыми в организацию. Молодым специалистам назначается испытательный срок (от одного до двух лет), в течение которого они обязаны пройти курс начального обучения (подробное знакомство с организацией). Кроме обучения для молодых специалистов предусматривается стажировка в подразделениях организации в течение года. На основе анализа работы молодых специалистов за год, участия их в проводимых мероприятиях, характеристик, данных руководителем стажировки, подводятся итоги, и делается первый отбор специалистов для зачисления в резерв выдвижения на руководящие должности. Вся информация об участии специалиста в системе служебно-профессионального продвижения фиксируется в его личном деле и заносится в информационную базу данных о кадрах организации.
Третий этап — работа с линейными руководителями низового звена управления. На этом этапе к отобранным линейным руководителям этого звена (мастера, начальники участков) присоединяется также часть работников, окончивших вечерние и заочные вузы, успешно работающих в своих коллективах и прошедших тестирование. В течение всего периода (2-3 года) с данной группой проводится конкретная целенаправленная работа. Они замещают отсутствующих руководителей, являются их дублерами, обучаются на курсах повышения квалификации. После завершения этапа подготовки на основании анализа производственной деятельности каждого конкретного руководителя проводится вторичный отбор и тестирование. Успешно прошедшие второй отбор руководители предлагаются для выдвижения на вакантные должности начальников цехов, их заместителей, предварительно пройдя стажировку на этих должностях, или зачисляются в резерв и при появлении вакансий назначаются на должности. Остальные работники, прошедшие подготовку, продолжают работать на своих должностях; возможны их горизонтальные перемещения.
Четвертый этап — работа с линейными руководителями среднего звена управления. На данном этапе к уже сформировавшейся группе молодых руководителей присоединяются действующие перспективные начальники цехов и их заместители. Работа строится по индивидуальным планам. За каждым назначенным на должность руководителя среднего звена закрепляется наставник — руководитель высшего звена для индивидуальной работы с ним. Руководитель-наставник совместно со специалистами подразделений управления персоналом на основании проведенного анализа личностных качеств и профессиональных знаний, навыков претендента составляют для него индивидуальный план подготовки. Как правило, это программы обучения по основам коммерческой деятельности, деловым взаимоотношениям, передовым методам управленческого труда, экономики и права. На этом этапе подготовки предусматривается стажировка линейных руководителей среднего звена управления в передовых организациях с подготовкой программ мероприятий по улучшению деятельности организации (подразделения). Ежегодно проводится тестирование руководителя среднего звена, которое выявляет его профессиональные навыки, умение управлять коллективом, профессионально решать сложные производственные задачи. На основании анализа результатов тестирования конкретного руководителя выносятся предложения о его дальнейшем продвижении по службе.
Пятый этап — работа с линейными руководителями высшего звена управления. Назначение руководителей на высшие посты — это сложный процесс. Одной из главных трудностей является выбор кандидата, удовлетворяющего многим требованиям. Руководитель высшего звена управления обязан хорошо знать отрасль, а также организацию. Он должен иметь опыт работы в основных функциональных подсистемах, чтобы ориентироваться в производственных, финансовых, кадровых вопросах и квалифицированно действовать в экстремальных социально-экономических и политических ситуациях. Ротация, т.е. перемещение сотрудника из одного подразделения организации в другое, должна начинаться заблаговременно, когда руководители находятся на должностях низового и среднего звена управления. Отбор на выдвижение и замещение вакантных должностей высшего звена необходимо производить на конкурсной основе. Его должна осуществлять специальная комиссия, состоящая из руководителей высшего звена (директоров производств, филиалов, главных специалистов и т.п.) с участием специалистов соответствующих подразделений управления персоналом и привлечением при необходимости независимых экспертов.
В качестве примера на рис. 1.10 приведена логическая схема процесса управления служебно-профессиональным продвижением линейных руководителей в одном из машиностроительных акционерных обществ. При оценке и отборе кандидатов для выдвижения на вакантную должность руководителя используются специальные методики, о которых говорилось выше.
В ряде развитых зарубежных стран имеется интересный опыт управления служебно-профессиональным продвижением управленческих работников, который успешно используется и в отечественных организациях.
Например, на рис. 1.11 изображена типовая схема служебно-профессионального продвижения в одной японской компании. В нее входят испытательный срок (1 -3 года), в течение которого сотрудник, пришедший после окончания вуза, сдает дополнительный экзамен, чтобы можно было определить реальную ценность вузовского диплома. Далее работник проходит курс ориентации в делах компании (от 2 недель до , 6 месяцев). Проводится и ряд проверок, в том числе на лояльность. После испытательного срока сотрудника зачисляют на постоянную работу, и в течение 8-10 лет осуществляется планомерная ротация с должности на должность, из отдела в отдел, стажировка и заграничные командировки. Действует также система ответственных поручений, все более усложняющихся со временем.
Рисунок 1.10 – Логическая схема процесса управления служебно-профессиональным продвижением линейных руководителей
Рисунок 1.11 – Схема служебно-профессионального продвижения работника управления (японская модель)
К 36 годам работник уже хорошо известен компании, и она может решать его дальнейшую судьбу: направить его либо по системе движения руководящих кадров, либо по карьере специалиста. Поскольку при системе планомерной ротации работник знает, что он через определенное время будет, продвинут и поэтому нужно подобрать себе замену, более динамично осуществляется обновление руководителей, движение резерва кадров на выдвижение. Ведь многие руководители, опасаясь подсиживания, подбирают себе заместителей по принципу «чем хуже, тем лучше».
1.3 Управление кадровым резервом
Структура, принципы и порядок формирования резерва
Складывающаяся политическая и экономическая структура в России приводит к созданию новой системы государственного управления, что, в свою очередь, оказывает непосредственное влияние и на политику в области подготовки и использования руководящих кадров федерального, регионального и местного уровней, в том числе и для организации основного звена управления.
В связи с этим основные усилия в кадровой политике сосредоточиваются на создании хорошо подготовленного резерва кандидатов на должности руководителей новой формации, способных в сжатые сроки освоить новый участок работы и обеспечить эффективное решение стоящих перед ними задач. При этом упор делается на создание резерва не вообще подготовленных кандидатов, а на руководителей вполне определенного типа и уровня управления с учетом новых подходов к организации работы государственных структур и аппарата управления экономикой.
Кадровый резерв — это потенциально активная и подготовленная часть персонала организации, способная замещать вышестоящие должности, а также часть персонала, проходящая планомерную подготовку для занятия рабочих мест более высокой квалификации. Наличие резерва кадров позволяет обеспечить замещение вакантных должностей в случае смерти, болезни, отпуска, командировки и увольнения работников. Формирование резерва кадров осуществляется на основе профессионального отбора кадров, результатов аттестации персонала, философии организации, изучения личных дел сотрудников, штатного расписания, планов карьеры работников.
Следует различать резерв на выдвижение и резерв руководителей.
Резерв на выдвижение — группа работников данного трудового коллектива, каждый из которых по результатам деятельности зарекомендовал себя как способный и заслуживающий дальнейшего продвижения по служебной лестнице.
Резерв руководителей — группа сотрудников организации, обладающих потенциалом для занятия в перспективе руководящих должностей и выделенная в результате формального процесса отбора. Организация проводит целенаправленную работу по развитию и подготовке сотрудников, вошедших в эту группу, к занятию новых должностей.
Наличие резерва позволяет заранее на плановой, по научно и практически обоснованной программе готовить кандидатов на вновь создаваемые и подлежащие замещению вакантные должности, эффективно организовать обучение и стажировку специалистов, включенных в резерв, рационально их использовать на различных направлениях и уровнях в системе управления.
По своему качественному и количественному составу резерв руководящих кадров должен отвечать действующим организационно-штатным структурам с учетом перспектив их развития. Резерв создается на все без исключения должности руководителей, осуществляющих функции управления на конкретном уровне.
Формирование резерва проводится на основе выводов аттестационных комиссий, базирующихся на объективной всесторонней оценке информации о деловых и личностных качествах кандидатов на руководящие должности. При этом в основу выводов таких комиссий должен быть положен, в свою очередь, анализ конкретных результатов профессиональной деятельности специалистов, достигнутых на различных этапах их работы в системе управления. Особое внимание при этом уделяется уровню профессиональной и общеобразовательной подготовки, организаторским и аналитическим способностям, чувству ответственности за результаты работы, целеустремленности, умению обосновывать и принимать самостоятельные, ответственные решения. При выдвижении в резерв учитываются результаты оценки знаний кандидатов, полученных в ходе обучения в системе повышения квалификации, заключения по итогам стажировок, тестирований и т.п., а также физическое состояние, способность переносить дополнительные нагрузки.
Работа по формированию резерва складывается из следующих этапов:
-
Составление прогноза предполагаемых изменений в составе руководящих кадров.
-
Оценка деловых и личностных качеств кандидатов в резерв на выдвижение.
-
Определение кандидатов в резерв.
-
Принятие решения о включении в резерв.
-
Согласование списка кандидатов, включенных в резерв, с вышестоящим руководством.
При формировании резерва необходимо точно знать квалификационные требования, предъявляемые к той должности, на которую зачисляется в резерв сотрудник, учитывать, какие специальные знания и опыт необходимы в каждом конкретном случае для обеспечения высокопрофессионального руководства.
Ежегодно в декабре руководитель кадровой службы организации проводит подготовительную работу по выявлению кандидатов, достойных для зачисления в резерв. Затем составляется предварительный список резерва кадров для выдвижения. Данный список обсуждается на заседании постоянно действующей комиссии, а затем утверждается руководителем организации.
Для проведения планомерной систематической работы с резервом кадров во всех организациях создаются постоянно действующие комиссии по работе с резервом. Данная комиссия должна способствовать качественной подготовке и действенной расстановке кадров, максимальному устранению субъективизма в оценке деловых и личностных качеств специалистов, зачисляемых в резерв. Состав комиссии определяется и утверждается руководителем организации.
В состав комиссии включаются:
-
руководитель организации (заместитель, отвечающий за работу с кадрами) — председатель комиссии. Отвечает за организацию работы с резервом;
-
руководитель кадровой службы — секретарь комиссии. Ведет делопроизводство, осуществляет контроль за порядком и организацией работы с резервом;
-
председатель профсоюзной организации;
-
представители психологических служб и юристы, а также специалисты по направлению профессиональной деятельности. Комиссия по работе с резервом регулярно проводит свои заседания, но не реже чем два раза в год. На ее заседаниях рассматриваются следующие вопросы: обеспечение качественного подбора, расстановки и подготовки кадров; формирование резерва кадров для выдвижения; анализ расстановки руководящих кадров и специалистов; подведение итогов работы с резервом кадров для выдвижения на руководящие должности; работа с руководителями структурных подразделений.
Планирование и организация работы с резервом кадров
Работа по подготовке резерва кадров носит целенаправленный, системный и плановый характер. Организация этой работы направлена на обеспечение качественной и интенсивной подготовки каждого специалиста к самостоятельной деятельности на новом, более высоком уровне.
Различия структуры и состава резерва, а также исходной подготовленности работников обусловливают принцип индивидуального подхода при выборе форм и методов работы, их очередности и продолжительности.
Работа с сотрудниками, включенными в состав резерва, проводится по плану, в котором предусматриваются конкретные мероприятия по приобретению необходимых теоретических, экономических и управленческих знаний, глубокому усвоению характера работ, по выработке у работника умения и навыков руководства на уровне современных требований. В систему этой работы входят:
-
учеба в системе повышения квалификации руководящих работников с отрывом и без отрыва от производства;
-
стажировка в должности, на которую зачислен в резерв;
-
временное замещение отсутствующих руководителей на период их командировок, отпусков;
-
выезды в другие организации в целях изучения положительного опыта;
-
участие в преподавательской работе в системе повышения квалификации;
-
участие в проверках производственной деятельности организаций и их подразделений;
-
участие в подготовке и проведении конференций, семинаров и совещаний.
Планирование кадрового резерва имеет целью спрогнозировать персональные продвижения, их последовательность и сопутствующие им мероприятия. Оно требует проработки всей цепочки продвижений, перемещений, увольнений конкретных сотрудников. Основой планирования кадрового резерва для выдвижения на управленческие должности организации является подробный учет руководящих должностей, включая и те, которые станут вакантными в ближайшее время, и составление списка кандидатов на замещение по каждой должности. Планы кадрового резерва могут составляться в виде схем замещения должностей, которые имеют разнообразные формы в зависимости от особенностей и традиций различных организаций.
















