102407 (590611), страница 7
Текст из файла (страница 7)
1. Коэффициент применения типовых технологических процессов изготовления изделия определяется по формуле:
где Ттип - трудоемкость операций, выполняемых по типовым технологическим процессам.
2. Коэффициент автоматизации и механизации технологических процессов изготовления изделия определяется по формуле:
где Тмаи - трудоемкость операций, выполняемых с помощью автоматизации и механизации.
3. Коэффициент автоматизации и механизации сборки и монтажа изделия определяются по формуле:
где Нмуэрэ - количество навесных элементов в узле, устанавливаемых в печатную плату механизированным и автоматизированным методами; Нэрэ - общее количество навесных ЭРЭ в узле;
где Нaм - количество монтажных соединений, которые могут быть осуществлены механизированным и автоматизированным способом, т.е. имеются механизмы, оборудование или оснащение для выполнения монтажных соединений; Нм - общее количество монтажных соединений.
4. Коэффициент автоматизации и механизации контроля и настройки определяется по формуле:
где Нкни - количество операций контроля и настройки, которые можно осуществлять механизированным и автоматизированным способом; Нкн -общее количество операций контроля и настройки.
5. Коэффициент применения печатного монтажа в изделии определяется по формуле:
где Нкпи - количество монтажных площадок в изделии, пайка которых осуществляется групповым методом; НПСи - общее количество паяных соединений в изделии.
-
Относительная трудоемкость сборочно-монтажных работ при изготовлении изделия определяется по формуле:
где Тсми - трудоемкость операций сборочно-монтажных работ.
7. Относительная трудоемкость настроечно-регулировочных работ определяется по формуле:
где Тнри - трудоемкость настроечно-регулировочных работ.
8. Коэффициент унификации определяется по формуле:
где Еун - число унифицированных сборочных единиц в изделии; DyH - число унифицированных деталей, являющихся составными частями изделия и не вошедших в Еун, Е„ - число сборочных единиц в изделии; Dn - число деталей,являющихся составными частями изделия (стандартные крепежные детали не учитываются).
9. Коэффициент стандартизации конструкции определяется по формуле:
где Ести - число стандартных сборочных единиц в изделии; Dcmu - число стандартных деталей, являющихся составными частями изделия.
10. Коэффициент сложности сборки конструкции изделий определяется по формуле:
где Нсизи - число соединений, осуществляемых в изделии с помощью лапок, защелок, байонетных соединений и т.д.; Нсри - число соединений в изделии, осуществляемых с помощью резьбовых соединений; Нсни - число неразъемных соединений в изделии.
11. Коэффициент конролепригодности изделия определятся по формуле:
где Нкпи - количество контролируемых параметров в изделии; Нтки - количество точек контроля в изделии.
12. Коэффициент повторяемости марок монтажного провода в изделии определяется по формуле:
13. Коэффициент повторяемости ЭРЭ в изделии определяется по формуле:
где Нтэрэи - количество типоразмеров ЭРЭ в изделии; Нэрэи - количество ЭРЭ в изделии.
-
Коэффициент применяемости микросхем и микросборок определяется по формуле:
где Нмс - общее количество микросхем и микросборок в изделии.
-
Коэффициент применения полупроводниковых приборов определяется по формуле:
где Нти - количество полупроводниковых приборов в изделии; Нрш - количество радиоламп в изделии.
-
Коэффициент регулируемости схемы на элементной базе определяется по формуле:
где Ннрэли - количество нерегулируемых радиоэлементов в изделии; Нрэли количество регулируемых радиоэлементов в изделии.
17. Коэффициент точности обработки определяется по формуле:
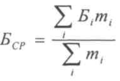
18. Коэффициент шероховатости поверхностей деталей определяется по формуле:
- среднее значение параметра шероховатости поверхностей деталей изделия;
Бi – значение i-го параметра шероховатости поверхности; m - число поверхностей, соответствующих данному параметру шероховатости.
19. Показатель применяемости отверстий в печатной плате определяется по формуле:
где N3 - суммарное количество эквивалентных элементов в изделиях миниатюризации; Ngb - количество дискретных ЭРЭ и изделий электронной техники в миниатюрном и микроминиатюрном исполнении; Ngu - количество дискретных ЭРЭ и изделий электронной техники, не удовлетворяющих требованиям миниатюризации.
20. Коэффициент повторяемости отверстий в печатной плате определяется по формуле:
Нтро - количество типоразмеров отверстий в печатной плате; Н0 - общее количество отверстий в печатной плате.
21. Коэффициент обеспеченности групповой пайки печатных узлов определяется по формуле:
где Eoj - общее количество мест пайки в j-м проводящем слое печатной платы; S - количество проводящих слоев в 1111; EmJ - количество мест пайки в j-м проводящем слое печатной платы, которые можно реализовать в групповой пайке волной припоя или протягиванием.
22. Коэффициент однородности формообразования деталей изготовленных штампованием определяется по формуле:
где Z - количество типоразмеров деталей, изготовленных штампованием; f -общее количество операционных переходов для типоразмеров деталей, изготовленных штампованием.
23. Коэффициент блочности определяется по формуле:
где Nуфу - количество унифицированных функциональных узлов; Nфу общее количество функциональных узлов.
24. Коэффициент эффективности взаимозаменяемости определяется по формуле:
где Тп - трудоемкость пригоночных работ; Tcq - трудоемкость сборочных работ.
25. Относительная трудоемкость заготовительных работ определяется по формуле:
где ТЗР =ТЛ +ТК + Тш +... - трудоемкость заготовительных работ;
Тл, Тк, Тш , ... - трудоемкость, соответственно, литейных, кузнечных, штамповочных и прочих работ.
26. Коэффициент повторяемости определяется по формуле:
где Q - число наименований составных частей.
27. Коэффициент унификации конструктивных элементов определяется по формуле:
где Qy3 - число унифицированных типоразмеров конструктивных элементов; Q3 - число типоразмеров конструктивных элементов в изделии.
28. Коэффициент унификации сборочных единиц определяется по формуле:
где Еун - число унифицированных сборочных единиц изделия.
29. Коэффициент унификации деталей определяется по формуле:
где DyH - число унифицированных деталей в изделии, кроме крепежных.
30. Коэффициент стандартизации сборочных единиц определяется по формуле:
33. Коэффициент применяемости материала определяется по формуле:
где MiM - масса данного материала в изделии; Мк - общая масса конструкции изделий.
34. Коэффициент использования металла определяется по формуле:
где Мд - масса металлических деталей изделия без учета покупных изделий и крепежных деталей; Ммет - масса металла, израсходованного на изготовление этих деталей.
35. Коэффициент применяемости пластмасс определяется по формуле:
где Мп - суммарная масса пластмассовых деталей в конструкции изделия; Мпс - суммарная масса конструкции изделия без учета массы покупных изделий и печатных плат.
36. Коэффициент сборности конструкции определяется по формуле:
37. Коэффициент параллельности сборки определяется по формуле:
где Епсб - общее количество сборочных единиц, допускающих параллельную сборку.
39. Коэффициент применения ЭРЭ определяется по формуле:
40. Коэффициент применяемости сборочных единиц определяется по формуле: изделии; Ет - общее количество типоразмеров сборочных единиц в изделии.
41. Коэффициент повторяемости микросхем и микросборок определяется по формуле:
где Ищмс - количество типоразмеров корпусов МС; NMC - общее количество микросхем и микросборок в изделии.
42. Коэффициент сложности печатных плат определяется по формуле:
где NMnn - общее количество многослойных печатных плат в изделии; Nnn -общее количество печатных плат.
43. Коэффициент освоенности деталей определяется по формуле:
где Doce - количество типоразмеров деталей из ранее освоенных изделий на предприятии.
44. Коэффициент автоматизации и механизации подготовки ЭРЭ к монтажу определяется по формуле:
где Имтрэ - количество ЭРЭ, подготовка которых к монтажу может осуществляться механизированным или автоматизированным способом; Иэрэ- общее количество ЭРЭ.
45. Коэффициент сложности контроля определяется по формуле:
где S - количество метрологических разновидностей измерений, проводимых в процессе контроля данного изделия; Р - общее количество контролируемых параметров в данном изделии.
46. Коэффициент автоматизации и механизации объемного монтажа определяется по формуле:
где Ннкр - количество неразъемных межузловых и межблочных соединений в изделии, выполняемых методом накрутки, обжимки, запрессовки; Нно - общее количество неразъемных межузловых и межблочных соединений в изделии.















