93328 (590109), страница 2
Текст из файла (страница 2)
Таблица 1. Основные достижения в области создания ультразвуковой доплеровской аппаратуры
| Достижение | Год | Ранние ссылки (автор) |
| Описание эффекта Доплера | 1842 | Doppler |
| Первые сообщения о применениях в медицине | 1956 | Satumora, Franklin |
| Доплеровские системы с выделением направлений | 1966 | Pourcelot, McLeod, Gross, Light |
| Импульсные доплеровские системы | 1967 | Wells, Baker |
| Мультистробируемые системы | 1970-1975 | Baker, Keller, Brandestini, Nowicki&Reid |
| Доплеровская визуализация | 1971 | Mozersky, Reid&Spencer, Fish |
| Дуплексные эхо-импульсные системы | 1974 | Barber, Phillips |
| Цветовое доплеровское картирование в режиме реального времени | 1979-1982 | Pourcelot, Eyeretal, Namekawa |
| Транскраниальная доплерография | 1982 | Aaslid |
| Энергетический доплер, доплеровская тканевая визуализация | 1994 | Arenson |
Появление в начале 80-х годов приборов с цветовым картированием потоков позволило потребителю успешно решать задачи локализации исследуемого сосуда по направлению и глубине, детектировать направление потоков с помощью специальных световых шкал, производить объективную оценку как интегральных скоростей потоков, так и распределений в частотно-временной области на основе спектрального анализа, выполнять вычисление объемных показателей скоростей потоков в выбранном сечении сосуда.
На сегодняшний день доплеровские методы стали неотъемлемым элементом практически во всех областях клинического применения ультразвуковой диагностики.
Применительно России, первые серийные образцы простейших приборов с непрерывным излучением "ИСКН" были созданы в конце 70-х годов. В дальнейшем появились приборы "Диск" с выделением направления потоков и простейшей компьютерной обработкой.
На новый качественный уровень вывела отечественные разработки научно-производственная корпорация ВНИИ медицинского приборостроения и французской фирмы DMS. С 1989 г. в рамках лицензионного соглашения было освоено производство приборов "Ангиодоп", создано оригинальное программное обеспечение, освоена технология производства ультразвуковых доплеровских датчиков.
Значительно расширить функциональные возможности приборов и повысить их эксплуатационные характеристики позволило активное применение современных компьютерных технологий, передовой электронной элементной базы, единых унифицированных решений. В 1992-1994 годах было разработано семейство приборов "Сономед", которое на основе модульного принципа построения позволило реализовать полный спектр доплеровских приборов - от простейших (с непрерывным потоком) до приборов с визуализацией потоков. Отечественные спектральные анализаторы доплеровских сигналов по своим функциональным возможностям стали сравнимы с зарубежными аналогами.
Передовые технические решения были реализованы в серии приборов "Биомед", которые позволили осуществить режим мониторинга при интракраниальных обследованиях, реализовали режим двухканальной визуализации спектров, расширили диапазон ультразвуковых датчиков до 16 МГц, обеспечили возможность детектирования эмболов.
Для эффективного применения аппаратуры необходимо знание основных принципов работы доплеровского прибора, его режимов и функциональных возможностей.
1.3.2 Основные принципы построения доплеровской аппаратуры
Разработчиками последовательно были созданы несколько поколений ультразвуковых доплеровских приборов: с непрерывным излучением без выделения направления кровотока (простейшие индикаторные приборы); с выделением направления - разделением прямого и обратного кровотока и получением графического отображения кривой (огибающей) усредненной по объему скорости кровотока; с импульсным излучением для локализации по глубине исследования; со спектральным анализом информации - для получения частотного и временного распределения скоростей в исследуемом объекте.
Для построения приборов непрерывного и импульсного излучения используется ряд известных радиотехнических электронных узлов и блоков, разработанных с учетом специфики взаимодействия с электроакустическим элементом доплеровского прибора - ультразвуковым датчиком.
Блок-схема непрерывноволнового доплеровского прибора приведена на рис.1. Задающий генератор 1 вырабатывает синусоидальную волну, поступающую на усилитель мощности 2 и далее на передающий пьезоэлемент 3, который создает непрерывную ультразвуковую волну 4.
Рис.1. Блок-схема непрерывноволнового доплеровского прибора.1 - задающий генератор; 2 – усилитель мощности; 3 - передающий пьезоэлемент; 4 - ультразвуковая волна; 5 - кровеносный сосуд; 6 - эритроциты; 7 - приемный пьезоэлемент; 8 - предусилитель; 9 - демодулятор.
Отражаясь от движущихся в кровеносном сосуде 5 форменных элементов крови 6, ультразвуковая волна поступает на приемный пьезоэлемент 7 и далее на выход предусилителя 8 с малым уровнем шума, который усиливает слабые отраженные сигналы до уровня их детектирования демодулятором 9. На выходе демодулятора сигнал имеет форму доплеровской разностной волны с частотой
.
Главным недостатком измерителя потока крови с непрерывным излучением ультразвука является отсутствие разрешения по дальности. Любая движущаяся цель, попадающая в зону диаграммы направленности ультразвукового датчика, будет вносить вклад в окончательный выходной доплеровский сигнал. В результате во время клинического использования таких приборов не всегда представляется возможным выделить потоки крови в соседних сосудах. А селективность по дальности иногда может быть главным требованием в доплеровских исследованиях.
Наиболее простым методом кодирования ультразвуковой волны является амплитудная модуляция непрерывных колебаний. В приборе, известном как импульсный доплеровский анализатор скорости кровотока, короткие импульсы ультразвука передаются с регулярными интервалами на движущуюся цель, а отраженные сигналы исследуются для определения доплеровских сдвигов частоты.
Импульсный доплеровский прибор объединяет возможности разрешения по дальности и детектирования доплеровских эхо-сигналов. Как и у любой эхо-импульсной системы, в основу работы прибора положен принцип передачи коротких импульсов волн на цель и последующего ожидания возвращения отраженных сигналов. Так как звуковые волны проходят через человеческую ткань с примерно постоянной скоростью, задержка времени между передачей импульса и приемом отраженных сигналов зависит от дальности цели. Когда отраженные сигналы обрабатываются для получения доплеровских сдвигов, результирующий доплеровский сигнал может возникать только от целей, движущихся внутри "объема выборки", соответствующей выбранной задержки времени. В любой момент после передачи импульса объем выборки может быть определен как область, расположенная перед преобразователем, в которой должны возникать все возвращающиеся отраженные сигналы. Размеры объема выборки определяются в осевом направлении длительностью импульса, принимаемого приемником, а в поперечном - шириной пучка объединенной системы передатчик-приемник. Используя выборку тех доплеровских компонентов, которые после передачи возвращаются с существующей постоянной задержкой, возможно определить положение фиксированного объема выборки и, таким образом, опросить только цели, движущиеся на определенной дальности от преобразователя.
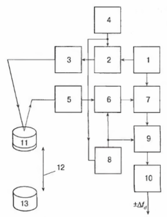
На рис.2 представлены основные узлы эхо-импульсной доплеровской системы.
Рис. 2. Блок-схема импульсного доплеровского прибора.1 - задающий генератор; 2 - селектор передачи; 3 - усилитель мощности; 4 - генератор импульсов; 5 - предусилитель; 6 - селектор по дальности; 7 - когерентный демодулятор; 8 - селектор задержки; 9 - схема выборки хранения; 10 - полосовой фильтр; 11 - датчик; 12 - выбранная дальность; 13 - объем выборки.
Задающий генератор вырабатывает синусоидальную волну на резонансной частоте преобразователя. Один раз за каждый период повторения импульса несколько периодов задающего колебания проходят через селектор передачи и усилитель для преобразования. Селектор задержки вырабатывает временную задержку, которая позволяет пачке переданных ультразвуковых колебаний проходить на заданную дальность и возвращаться обратно. Затем возвращающиеся отраженные сигналы дискретизируются посредством открытия селектора по дальности и подачи на когерентный демодулятор, который управляется задающим генератором. Каждый отселектированный по времени отраженный сигнал вызывает короткий выходной импульс демодулятора, который формирует часть отсчитанного выходного сигнала доплеровского прибора. В случае необходимости эти отсчеты могут собираться (например, в схеме выборки-хранения) до прихода следующего переданного импульса. Это так называемый метод "с запоминанием отсчета" позволяет получать выходной сигнал более сглаженной формы, который затем может быть отфильтрован для устранения каких-либо компонентов, отстающих от частоты повторения импульсов, а также для устранения мешающих низкочастотных эхо-сигналов. К недостаткам эхо-импульсных доплеровских приборов следует отнести:
дально-скоростные ограничения;
большое отклонение максимальной от средней излучаемой мощности (интенсивности).
Поскольку средняя интенсивность строго определяет чувствительность системы и есть подтверждения того, что ультразвук высокой интенсивности может оказывать определенное воздействие на человеческую ткань, то характеристика сигнал/шум, а следовательно, чувствительность импульсной доплеровской системы строго ограничивается условиями безопасности пациента.
В соответствии с эффектом Доплера каждой скорости движения элементов кровотока соответствует доплеровский сигнал определенной частоты, поэтому формирование распределения доплеровских скоростей элементов кровотока сводится к выявлению набора частотных составляющих в сигнале, т.е. к спектральному анализу сигнала. При выполнении спектрального анализа формируется распределение доплеровских скоростей элементов кровотока. Спектральный анализ осуществляется путем использования набора фильтров, равномерно делящих частотный диапазон сигнала. При этом каждый фильтр выделяет узкий участок спектра сигнала, и чем уже частотная характеристика фильтра, тем уже разрешение по частоте. Для получения приемлемого спектрального разрешения доплеровских сигналов число фильтров должно быть достаточно велико. Поэтому использование спектрального анализа в доплеровских приборах стало возможно только с появлением малогабаритных устройств цифровой обработки сигналов - цифровых спектроанализаторов.
В цифровом спектроанализаторе формирование спектральных составляющих сигнала выполняется цифровым способом на основе реализации эффективного в вычислительном отношении алгоритма быстрого преобразования Фурье (БПФ). Перед выполнением спектрального анализа сигнала в цифровой форме осуществляется преобразование выходного сигнала приемного тракта в последовательность цифровых кодов с помощью аналого-цифрового преобразователя. Далее отсчеты сигнала накапливаются в буферной памяти.
После накопления последовательности отсчетов сигнала выполняется вычисление спектра сигнала с помощью алгоритма БПФ.
Современная доплеровская система со спектральным анализом выполняет следующие основные функции:
формирование зондирующих сигналов;
прием эхо-сигнала и выделение доплеровских смещений;
формирование звуковых сигналов прямого и обратного кровотока;
формирование доплерограммы и отображение ее в реально масштабе времени на экране монитора;















