93286 (590108), страница 3
Текст из файла (страница 3)
где R-остаток аминокислоты, НХ-нуклеофильный агент, соединение Ι-замещенный изоиндол. В качестве нуклеофильных агентов могут выступать алкилмеркаптаны, меркаптопроизводные спиртов и органических кислот, а также сульфит- и цианид-ионы. Аналитические характеристики метода не уступают методу с использованием 2-меркаптоэтанола, а устойчивость аналитической формы – замещенных изоиндолов – существенно выше.
Разработан экспресс-метод идентификации и определения 11 аминокислот в их смеси с использованием прибора капиллярного электрофореза без их предварительной дериватизации и модифицирующих добавок к буферному раствору [9]. Содержание компонентов определяют с помощью фотометрического детектора. Этот метод в отличие от метода ВЭЖХ обладает рядом преимуществ: высокой эффективностью разделения, малым расходом реактивов, экспрессностью анализа и простотой аппаратурного оформления. Разделения смеси аминокислот в капилляре добиваются использованием различного рода добавок к фоновому электролиту. В частности, применяют метанол, ацетон, смесь раствора тетрабората натрия и изопропанола. Время анализа составляет ~15 мин. Диапазон определяемых концентраций 1-1000 мг/л. По методике можно определить глутаминовую кислоту, глутамин, аргинин, метионин, изолейцин, лейцин, фенилаланин, триптофан и др.
В последнее время широкое распространение в вольтамперометрии органических соединений получили химически модифицированные электроды (ХМЭ). Отличительной особенностью этих электродов является высокая селективность, которая достигается в результате взаимодействия модификатор-анализируемый компонент. Так, для вольтамперометрического определения цистеина используют угольно-пастовый электрод (УПЭ), модифицированный циклогексилбутиратом кобальта (II), меди (II), эфиром дибензо-18-краун-6 и его производными. Накопление аминокислоты на поверхности этих электродов происходит в виде соответствующего комплекса. Электрод, модифицированный оксидом рутения (IV), можно использовать для определения цистеина и цистина [14]. Способ инверсионно-вольтамперометрического определения позволяет анализировать такие серосодержащие аминокислоты, как цистеин, гомоцистеин и глутатион на УПЭ, модифицированных краун-эфирами дибензо-18-краун-6 или дибромдибензо-18-краун-6 [13]. Диапазон определяемых концентраций (2-5)·10-8 моль/л. В условиях проточно-инжекционного анализа разработана методика электрокаталитического определения серосодержащих аминокислот на графитовом электроде, модифицированном неорганической пленкой из гексацианоферрата (II) рутения (III) [15]. В качестве графитового материала используют стеклоуглерод или угольную пасту.
1.2.4 Фотометрические методы
Фотометрические методы основаны на измерении поглощения веществом светового излучения. В фотометрии применимы химические реакции, в результате которых получаются окрашенные продукты постоянного состава с высокой интенсивностью окраски. Фотометрические реакции органических соединений основаны на введении или создании в молекуле органического соединения системы сопряженных связей и образовании комплексных соединений. В фотометрических определениях аминокислот в качестве реагентов используют ароматические альдегиды (с образованием оснований Шиффа); ароматические амины (продукт – азосоединение); 1,2-нафтохинон-4-сульфокислоту (продукт – индонафтол); нингидрин (продукт – фиолетовый Руэмана) [18].
Определение тауфона в воздухе с 1,2-нафтохинон-4-сульфокислотой
Измерение концентрации таурина (в работе [21] – тауфона) в воздухе рабочей зоны используется как метод контроля на промышленных предприятиях. Метод основан на реакции взаимодействия тауфона с 1,2-нафтохинон-4-сульфокислотой в щелочной среде и последующем фотометрическом измерении окрашенного в желтый цвет продукта реакции при длине волны 440 нм. Отбор проб проводят концентрированием на фильтр. Нижний предел измерения содержания тауфона в анализируемом объеме раствора - 25 мкг. Нижний предел измерения концентрации тауфона в воздухе (при отборе 10 л воздуха) - 2,5 мг/м 3. Диапазон измеряемых концентраций в воздухе от 2,5 до 25 мг/м 3. Метод избирателен на стадии сушки и фасовки продукта. Определению тауфона мешают амины. Суммарная погрешность измерения не превышает ±15%. Время выполнения измерения, включая отбор проб - 40 мин.
Степень десорбции тауфона составляет 98,5%. Количественное определение содержания тауфона (мкг) в анализируемой пробе проводят по предварительно построенному градуировочному графику.
Определения, основанные на реакции с нингидрином
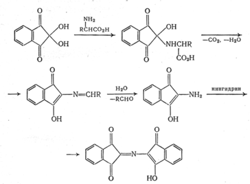
Растворы аминокислот, полипептидов, пептонов и первичных аминов при нагревании с нингидрином (1,2,3-индантрион) (НГ) приобретают синюю или фиолетовую окраску. Реакции между НГ и указанными соединениями протекают сложно (вещества претерпевают глубокое превращение). Предполагают, что сначала НГ восстанавливается, а аминокислоты окисляются, что сопровождается их декарбоксилированием и дезаминированием.
При дальнейшем взаимодействии избытка НГ с восстановленным НГ и аммиаком образуется окрашенный продукт конденсации.
Образующееся соединение имеет фиолетово-синюю окраску (λ max=570 нм). Нингидриновая реакция неспецифична, так как окрашенный продукт с нингидрином дают также NH3 и другие соединения, содержащие аминогруппу (в том числе белки и пептиды). Однако реакции с этими соединениями осуществляются без выделения СО2 (нингидриновая реакция с выделением СО2 специфична только для α-аминокислот). Реакцию используют для колориметрического количественного определения α-аминокислот, в том числе в автоматических аминокислотных анализаторах [18].
Конечным продуктом является фиолетовый (пурпурный) Руэмана. Казалось бы, что во всех случаях окраска раствора должна быть одинаковой. Однако возможны и другие процессы, как, например, взаимодействие образовавшихся альдегидов (побочные продукты) с аминокислотами, приводящие к появлению по-разному окрашенных продуктов [18].
В работе [19] предлагается другой механизм нингидриновой реакции:
Выход продукта реакции зависит от свойств определяемой аминокислоты. Наиболее интенсивные окраски при прочих равных условиях наблюдаются при определении глицина, изолейцина, лейцина, норлейцина; несколько менее интенсивная окраска - при реакции с серином, фенилаланином, цистеином. Величины 510 [18] продуктов реакции лежат в пределах 1,8·104-3,3·104. Окрашенные продукты реакции нестабильны, и интенсивность окраски раствора довольно быстро уменьшается. Для стабилизации в состав реактива вводят хлорид кадмия, который с фиолетовым Руэмана образует устойчивые комплексные соединения. Присутствие кадмия влияет также на скорость реакции и на спектральную характеристику продукта. Хлорид кадмия можно заменить разбавленным раствором сульфата меди, который с фиолетовым Руэмана образует оранжево-красное соединение с max=530 нм.
Таким образом, значения молярного коэффициента поглощения продуктов реакции с нингидрином зависят от условий и в расчете на определяемое вещество, в зависимости от выхода реакции, составляют п·103 - 20·103.
В целом, для нингидриновой реакции характерна высокая чувствительность, поскольку отдельные ее стадии отличаются хорошими выходами и воспроизводимостью.
В работе [18] приведен также ряд методических рекомендаций для определения α-аминокислот, в том числе и таурина:
I. Смешивают 1 мл раствора, содержащего 0,02—0,4 мг α -аминокислоты, с 0,5 мл буферного раствора (рН 5,3—5,4) и 0,5 мл 3%-ного раствора нингидрина в метилцеллозольве. Нагревают 15 мин при 100°С, после чего добавляют 5мл 50%-ного изопропилового спирта и взбалтывают. После охлаждения до комнатной температуры красный раствор фотометрируют при 570 нм. Таким способом определяют аланин, аспарагиновую кислоту, аспарагин, валин, глицин, глутамин, глутаминовую кислоту, гистидин, изолейцин, лизин, орнитин, метионин, серии, таурин, треонин, тирозин, фенилаланин, этаноламин, а также аммиак. При определении пролина и оксипролина получают желтый раствор, который фотометрируют при 440 нм. Для приготовления буферного раствора растворяют 270 г ацетата натрия в 200 мл воды, добавляют 50 мл ледяной уксусной кислоты и воду до 750 мл. К 500 мл этого раствора добавляют 10 мл 0,01 М раствора NaCN.
II. Раствор в 80%-ном этиловом спирте, содержащий около 5 мкг аминокислоты, смешивают с 2 мл 0,2%-ного раствора нингидрина в изобутиловом спирте и этим же спиртом разбавляют до объема 10 мл. Нагревают 3 мин при 80ºС, затем охлаждают до 22ºС и фотометрируют при длинах волн от 530 до 560 нм. Так определяют аланин, аспарагин, валин, глицин, изолейцин, лизин, фенилаланин и ряд других аминокислот.
III. К 1 мл анализируемого раствора прибавляют 1 мл ледяной уксусной кислоты и 1 мл реактива, нагревают 1 ч при 100°С. После охлаждения разбавляют ледяной уксусной кислотой до объема 5 мл и через 1 ч красные растворы фотометрируют: в случае определения лизина при 500 нм; оксилизина - 450 нм; орнитина и пролина - 515 нм; цистеина - 570 нм. Для приготовления реактива при 70°С растворяют 0,25 г нингидрина в смеси 4 мл Н3РО4 (1 : 1) и 6 мл ледяной уксусной кислоты.
IV. Для анализа аминокислот в природных водах сначала проводят концентрирование. Пропускают 1 л исследуемой воды со скоростью 10—12 капель/мин через колонку (1 x 20 см) с катионитом КУ-2 в Н+-форме. Затем аминокислоты десорбируют с колонки 80 мл 2 н раствора NaOH. Полученный раствор выпаривают досуха при 100°С и остаток растворяют в 2 мл воды. Этот концентрат смешивают с 1 мл реактива, добавляют 2 капли насыщенного водного раствора CdCl2 и 5 мл н-бутилового спирта. Нагревают 15 мин при 100°С и после охлаждения добавляют 1 мл 25%-ного раствора сегнетовой соли. Слой бутилового спирта отделяют, разбавляют этим же спиртом до объема 6 мл и фотометрируют при 505 нм. Калибровочный график строят, используя стандартные растворы: аминоуксусной кислоты в (2—30 мкг в пробе в пересчете на азот). Отмечается, что интенсивность и устойчивость окраски в среде бутилового спирта выше, чем в воде. Реактив готовят растворением 75 мг СdCl2, 6 мл воды, 0,3 мл ледяной уксусной кислоты и 2 г нингидрина в 100 мл ацетона.
Для некоторых аминопроизводных (пролина, эфедрина) приводятся условия экстракционно-фотометрических определений [18].
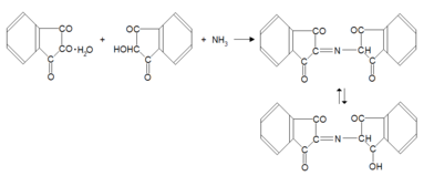
Нингидриновая реакция использована в работе [20] для определения капролактама (КЛ) при концентрациях от 0,1 до 20,0 мг/л в сточных водах предприятий по его производству и переработке. В работе указано, что спектрофотометрический метод определения КЛ с нингидрином, несмотря на высокое значение эффективного молярного коэффициента светопоглощения = 10600, имеет низкую чувствительность — 50 мг/л, что обусловлено пятидесятикратным разбавлением пробы в ходе анализа. При реакции с аминокислотой нингидрин восстанавливается до гидриндантина, а затем конденсируется с аммиаком и второй молекулой нингидрина, образуя краситель типа мурексида — дикетогидриндилидендикетогидриндамин (ДИДА). Аммиак образуется в результате окислительного расщепления аминокислот нингидрином. Реакция протекает только в присутствии вещества, способного восстановить нингидрин до гидриндантина. Поэтому предлагается в реагентную смесь кроме нингидрина вводить гидриндантин. Авторы отмечают, что вместо метилцеллозольва лучше использовать менее токсичный этилцеллозольв. Этилцеллозольв позволяет удержать продукты реакции в растворе без разбавления и повышает интенсивность окраски так, что значение (М-1·см-1) увеличивается с 10600 до 19600, приближаясь к ДИДА (21600). Область максимального светопоглощения окрашенными растворами находится в интервале длин волн от 560 до 585 нм. Так, оптическая плотность при 570 нм выше оптических плотностей при указанных длинах волн всего на 0,6%.
Предлагается [20] следующий раствор реагентов, свежеприготовленный: растворяют 2 г нингидрина и 0,3 г гидриндантина в 75 мл этилцеллозольва и добавляют 25 мл буферного раствора с pH = 6,5.
Для проведения нингидриновой реакции пипеткой отбирают 15 мл подготовленной для анализа сточной воды в пробирку, 8 мл раствора реагентов. Пробирку закрывают пробкой, перемешивают и на 22 мин помещают в баню с кипящей водой. Охлаждают до комнатной температуры водопроводной водой, и после выравнивания температур растворов в пробирках измеряют оптическую плотность по отношению к дистиллированной воде, в том числе и холостой опыт. Для приготовления буферного раствора с рН=6,5 в дистиллированной воде растворяют 544 г уксуснокислого натрия (гидрат) и 4 мл ледяной уксусной кислоты (плотность 1049 кг/м3) и доводят объем до 1 л. Для получения градуировочной зависимости готовят стандартные водные растворы КЛ с концентрацией 0,1; 0,5;...; 20,0 мг/л.
Из приведенных методик можно выделить факторы, которые необходимо учитывать и проверять при постановке (апробации) методики определения таурина:
-
в качестве органического растворителя лучше использовать этилцеллозольв, который повышает интенсивность окраски раствора и менее токсичен, чем метилцеллозольв;
-
уточнение рН буферного раствора, поскольку в литературных источниках приводятся границы 5,3 - 6,5;
-
уточнение температуры реакции и режима нагрева;
-
проверка необходимости введения гидриндантина в смесь реагентов;
-
проверка встречающихся указаний на стабилизирующее действие спирта в составе реактива.
1.3 Мягкие контактные линзы
Контактные (т.е. надевание непосредственно на глазное яблоко под веки) линзы получили в последнее время большое распространение для улучшения зрения при близорукости, дальнозоркости, астигматизме, старческой дальнозоркости, а также для усиления или изменения цвета глаз. В разных странах ими пользуется от 2 до 10% населения. Первые контактные линзы созданы в начале 20-го века и были изготовлены из стекла, далее появились жесткие контактные линзы из полиметилметакрилата, в 60-е годы разработаны первые мягкие линзы из НЕМА, в 90-е – кислородопроницаемые жесткие линзы.
1.3.1 Основные характеристики мягких контактных линз
Мягкие контактные линзы (МКЛ) (рис. 1.2) [22] изготавливают из гидро-фильных полимеров, которые легко поглощают воду до определенной максимальной концентрации, уровень которой определяется такими физическими параметрами как температура, давление, рН и др.
Рис. 1.2. Мягкие контактные линзы и материалы для их изготовления.
















