83474 (589771), страница 5
Текст из файла (страница 5)
Комунікаційна політика підприємства базується на визначених закономірностях, при цьому, як було відзначено вище, вони не лежать тільки в сфері економіки. З економічних законів, застосованих до маркетингових комунікацій, можна виділити широко відомий закон попиту.
Використовуючи інструменти цінового стимулювання, підприємство збуджує купувати більше свого товару, тому що при зниженні ціни зважена за ціною гранична корисність товару збільшується. Звідси випливає закон попиту, що лежить в основі всіх інструментів цінового стимулювання збуту, відповідно до якого зі зменшенням ціни росте кількість товару, що покупається, а також супутньому законові попиту ефекту доходу і заміщення. Крім того, підприємству при розробці комунікаційних повідомлень варто враховувати описані в економічній теорії ефект приєднання до більшості, ефект сноба й ефект Веблена [ ].
Основним ефектом, цілеспрямоване використання і прогнозування якого є найважливішим при реалізації стратегії інтегрованих маркетингових комунікацій, є синергетичний ефект маркетингових комунікацій. Цей ефект - прояв однієї зі сторін синергичного ефекту в системі маркетингу. Він виражається в тім, що ефект комплексного застосування засобів комунікації (інтегрованих комунікацій) відрізняється від простого додавання ефектів застосування кожного засобу окремо.
Ек # Е1+Е2+Е3+Е4 (1.1)
Ек -ефективність інтегрованих маркетингових комунікацій
Е1 - ефективність ФОМ (формування суспільної думки, PR)
Е2 – ефективність реклами
Е3 - ефективність персональних продажів
Е4- ефективність стимулювання збуту
Синергичний ефект комунікацій може бути як позитивним (2х2>4), так і негативним (2х2<4) у залежності від ефективності взаємодії складових комплексу комунікацій, можливості прогнозування і запобігання негативним зворотним зв'язкам, що знищують процес взаємодії факторів.
При плануванні інтегрованих маркетингових комунікацій має місце так називаний spill-over ефект [8], що полягає в неможливості визначити ефективність окремих інструментів комунікації при їхньому комплексному використанні. Це є причиною проблематики оцінки ефективності окремих засобів комунікації при їх спільному використанні. Крім того необхідно пам'ятати і про ефект знецінення – забувані споживачем при визначеному ослабленні комунікаційних зусиль [11]. Ефект знецінення зв'язаний із законом Вебера, він виникає коли комунікаційний вплив послабляється настільки, що виходить за “поріг сприйняття”.
Принципи, яким доцільно керуватися при розробці комунікаційної політики, наступні [3]:
1. Принцип послідовності, що вимагає узгодження кожної змінної величини з іншими перемінними. Так, наприклад, висока якість реклами повинне супроводжуватися ретельно спланованими заходами по стимулюванню, що підсилюють ефект реклами.
2. Принцип зваженого підходу, що припускає дослідження й облік чутли-вості ринку до постійно мінливих перемінних кон’юнктури ринку.
3. Принцип обліку зміни бюджетних і інших витрат фірми.
На рівні інструментальних проробок комплексу просування акту-алізуються наступні принципи стратегічного маркетингу [18]:
-
принцип створення відмітної переваги;
-
принцип створення споживчої цінності;
-
принцип виборчої концентрації;
-
принцип обліку фактора часу.
Правила, що поширюються на комплекс просування, багато в чому обу-мовлені принципами розробки комплексу комунікацій і взаємопов'язані з ними. Так, принцип виборчої концентрації заснований на правилі сильної половини, відповідно до якого переважна більшість випадків конкретного результату походить з малої кількості причин (наприклад, 80% доходу приносять 20% покупців).
Правила, зв'язані з позиціонуванням представляють особливу важливість для розробки комплексу просування. Головне правило позиціонування [18] – торговельна марка позиціонується по головному (найдужчі мотивові), якщо інші марки в даній товарній категорії не позиціонуються по цьому мотиві, у противному випадку марка позиціонується по другому (наступному по силі) мотивові. Складність правильного використання цього правила полягає в тім, що вкрай складно правильно класифікувати мотиви покупця. У цьому випадку кількісні мотиваційні дослідження можуть представляти особливу важливість для створення комунікаційних повідомлень. Це правило частіше використовуються в рекламі, але воно також застосовується для позиціонування марки за допомогою використання інших засобів комунікації.
Синергізм – термін, що став останнім часом популярним, використвується сьогодні як у менеджменті, так і в маркетингу і стосовно до комплексу маркетингових комунікацій означає, як уже було відзначено, ефект взаємодії різних інструментів комунікації, що виникає при їхньому спільному використанні. Зберігаючи єдине позиціонування в рамках кожного цільового сегменту, інструменти комунікації підсилюють один одного, створюючи синергический ефект. Синергичний ефект, таким чином, є наслідком реалізації централізованої, чітко сформульованої і послідовно здійснюваної стратегії інтеграції маркетингових комуникацій.
2. АНАЛІЗ ДІЯЛЬНОСТІ СЛУЖБИ МАРКЕТИНГУ В РЕКЛАМНОМУ АГЕНТСТВІ ТОВ „УКРАЇНА-АРТ”
2.1 Загальна характеристика рекламного агентства
Рекламне агентство ТОВ «Україна-АРТ» - медійне агентство, що працює на рекламному ринку України з 1997 року.
Директор ТОВ "Украина-АРТ" - Андрейченко Едуард Вікторович
Керівник відділу маркетингу - Кононко Сергій
kononko@ukr-art.com.ua
Керівник відділу контролю і розміщення - Коломийченко Наталя
natali@ukr-art.com.ua
Керівник виробничого відділу - Крамаренко Олександр
production@ukr-art.com.ua
Сенько Ольга – координатор відділу транзитної реклами
senko@ukr-art.com.ua
Красновский Олександр – медиа координатор
krasnovsky@ukr-art.com.ua
Ерниязов Олександр – керівник BTL-підрозділу
alex@ukr-art.com.ua
Пріоритетною діяльністю компанії є розробка і впровадження ефектив-них технологій у транзитній рекламі і рекламі на транспорті. А саме:
- у системі «Укрзалізниці»;
- на зовнішніх конструкціях, на вокзалах найбільших міст України;
- у метрополітені рр. Києва, Харкова, Дніпропетровська;
- в автобусах міжміського і міжнародного сполучення;
- в аеропортах;
- на кораблях.
Адреса: Україна, 01024, м. Київ, вул. Шовковична, 36/7, офіс 1
Офіційний статус партнера провідних поліграфічних компаній - виробників широкоформатної друкованої продукції, дозволяє у найкоротший термін робити повний спектр якісних поліграфічних послуг будь-якого рівня складності на сучасних матеріалах. Виробнича база підприємства дає можливість виготовлення різних рекламних конструкцій для зовнішньої і зовнішньої реклами.
У рамках агентства активно працює підрозділ, який надає послуги по проведенню BTL-заходів.
Агентство активно розробляє і реалізує проекти нестандартних рекламних рішень.
Основні переваги розміщення реклами в автобусах:
- Диференціація цільової аудиторії за рівнем доходу, географічній і соціальній ознаці;
- Схильність Споживача до ознайомлення з інформацією в шляху;
- Тривалий контакт реклами зі споживачем;
- Обмежений вплив інших видів інформаційних носіїв.
Рекламна Інформація розміщається усередині автобусів рейсами з України в Німеччину, Великобританію, Італію, Австрію, Чехію, Польщу й інші країни Східної і Західної Європи, а також країнам СНД
Рекламна Інформація розміщається усередині автобусів рейсами по території України між містами миллиониками і великими обласними центрами.
Презентація Розміщення реклами на річковому і морському транспорті
-Основні переваги розміщення:
- Тривалість впливу реклами на споживача
- Обмеженість впливу інших видів інформаційних носіїв
- Прямий контакт зі Споживачем
- Велика кількість вторинних контактів з рекламою
- Схильність до сприйняття інформації
- Збільшення кількості контактів за рахунок візуальної приступності носія
- КиївРеклама на залізниці і в метро
- Виділена за рівнем статку і вікові цільова аудиторія
- Широке охоплення населення і територій
- Наявність часу для сприйняття і схильність до ознайомлення в шляху
- Прямий контакт зі Споживачем, велика кількість вторинних контактів з рекламою
- Тривалість впливу реклами на споживача
- Можливість обговорення інформації в шляху проходження
- Обмеженість впливу інших видів інформаційних носіїв
Однією з нових спеціалізацій є надання BTL-услуг:
а) Консалтінг - розробка стратегії і тактики, комплексних BTL-кампаній в подтримку рекламних кампаний
б) Customer promotion
- Дегустації, роздачі образцов, демонстрації
- Конкурси, розіграші серед покупців
- Консультації в торгівельних точках
- Розповсюдження інформаційних матеріалів
в) Trade promotion
- Конкурси, розіграці
- Програми стимулювання
-
Мерчандайзинг
-
аудит торговых точек
г) Event marketing
- Конференції. Семінари, презентації
- Участь з окремою програмою у міських празниках
- Корпоративні празники
Налагоджений канал збуту FMCG в пасажирських потягах. Проводники потягів виконують розповсюдження рекламних матеріалів, а також продаж рекламируємої продукції. В вагонах-ресторанах можливе розташування P.O.S.M. алкогольних та табачних продуктів.
Украина, 01033, г. Киев, ул. Никольско-Ботаническая, 17/19, офис 41
Товариство з обмеженою відповідальністю „Україна – АРТ” створене і діє згідно з Законами України "Про підприємництво", "Про підприємства в Ук-раїні", "Про власність", "Про господарські товариства”, "Про зовнішньоекономічну діяльність", "Про режим іноземного інвестування" та іншими законодавчими актами України.
Товариство набуло статусу юридичної особи за законодавством України з моменту його державної реєстрації Печорською районною державною адміністрацією м. Києва 28 жовтня 1997. року, реєстраційний №20376, ідентифікаційний код 25266880.
Найменування Товариства українською мовою повне - Товариство з обмеженою відповідальністю «Україна - АРТ» скорочене - ТОВ «Україна - АРТ». Місцезнаходження (юридична адреса) Товариства: Україна, м. Київ, проспект Науки, 47.
Товариство є юридичною особою за законодавством України – підприємством з іноземними інвестиціями у формі товариства з обмеженою відповідальністю, створеним юридичними особами за законодавством України, Сполученого Королівства Великобританії, Північної Ірландії та Острову Мен.
У своїй діяльності Товариство керується законодавством України, міждержавними та міжурядовими угодами України та Великобританії, Договором про діяльність та цим Статутом. Товариство може від свого імені вступати в зобов'язання, укладати угоди (контракти), зокрема, угоди про спільну діяльність, купівлі-продажу, підряду, перевезень, зберігання, доручення, комісії, тощо, виступати в суді, арбітражному суді та третейському суді, набувати майнових та особистих немайнових прав, виконує обов'язки, пов'язані з його діяльністю.
Товариство створене з метою одержання прибутку від діяльності по наданню різних послуг громадянам і юридичним особам, виробництву і реалізації товарів народного споживання, продукції промислового та іншого призначення, а також всіх інших видів підприємницької діяльності, прямо і виключно не заборонених законодавством України.
Учасники товариства:
1. Кооператив "Радуга", юридична особа за законодавством України, місцезнаходження якого: м. Київ, пул. Сагайдачного, 8, кв.42, зареєстрований Подільською районною державною адміністрацією м. Києва 11 листопада 1997 року, про що зроблено запис в журналі обліку реєстрації за №01175, ідентифікаційний код 21617348, в особі Голови кооперативу Бенціонова Володимира Григоровича, який діє на підставі Статуту
2. VBC LIMITED, ІSLE ОF МАN, GR.В. юридична особа за законнодавством Сполученого Королівства Великобританії та Північної Ірландії та Острову Мен, місцезнаходження якої: 19 РЕЕL ROAD, DOUGLAS, ISLE OF MAN, G.В., Свідоцтво про реєстрацію №056634С, видане Генеральною реєстратурою Острову Мен 9 грудня 1991 року, в особі Директора Джилліан Нори Кейн, яка діє на підставі Меморандуму.
Статутний фонд Товариства розміром 9 375 гривень збільшений за рахунок додаткового вкладу Фірми VBC LIMITED, ISLE OF MAN, GREAT BRITAINE на 15 000 доларів США, тобто для забезпечення діяльності товариства створений статутний фонд розміром 64 020 гривень, що еквівалентно 17 573 доларів США по курсу співвідношення долару США до гривні, встановленому НБУ на день підписання цього Договору, 1 долар США - 3, 643 гривні.
Товариство с власником майна, переданого йому засновниками у власність, продукції, виробленої Товариством, і доходів, одержаних в результаті господарської діяльності Товариства і його відособлених підрозділів, а також іншого майна, набутого на підставах, не заборонених законодавством.
Управління Товариством здійснюється Зборами учасників і Директором Товариства.
Вищим органом управління Товариства є Збори учасників. складаються із учасників або їхніх представників. Учасник вправі передати свої повноваження на Зборах іншому учаснику або його представникові. Представники учасників на Зборах можуть бути постійними або призначеними на певний строк.
Кожен учасник на Зборах має кількість голосів, пропорційну розміру його частки у статутному фонді.
До компетенції Зборів учасників належить:
а/ визначення основних напрямів діяльності Товариства і затвердження планів та звітів про їх виконання;
б/ внесення змін до Статуту Товариства;
в/ обрання та відкликання Директора Товариства з числа учасників Товариства, прийняття на роботу за контрактом Директора Товариства з числа осіб, які не є учасниками Товариства, обрання та відкликання членів ревізійної комісії,
г/ затвердження результатів діяльності Товариства і його відособлених підрозділів, включаючи дочірні підприємства, затвердження звітів та висновків ревізійної комісії, визначення порядку розподілу прибутку та порядку покриття збитків;
д/ створення, реорганізація та ліквідація дочірніх підприємств, філій та представництв, затвердження їх статутів та положень;
е/ прийняття рішення про припинення діяльності Товариства, призначення ліквідаційної комісії, затвердження ліквідаційного балансу;
ж/ встановлення розміру, форми і порядку внесення учасниками додаткових внесків;
з/ вирішення питання при придбання Товариством частки /її частини/ учасника та про відступлення частки /її частини/ учасника третім особам;
й/ виключення учасника з Товариства;
і/ надання дозволу Директору Товариства на укладення договорів /угод/ на суму понад 500.000 (п'ятсот тисяч) доларі» ГША або еквівалентну суму в національній валюті України чи валюті інших країн за курсом, встановленим Національним банком України на день укладення договору /угоди/, а також затвердження договорів /угод/ на вказану суму, укладених Директором без попередньої згоди зборів учасників.
Виконавчим органом Товариства с Директор Товариства, Директор здійснює керівництво поточною діяльністю Товариства.
Директор обирається Зборами учасників Товариства з їх; числа або приймається на роботу за контрактом.
Директор самостійно вирішує всі питання діяльності Товариства, за винятком віднесених до компетенції Зборів учасників.
Збори учасників можуть винести рішення про передачу частини повноважень, що належать їй, до компетенції Директора.
Директор Товариства нас право без довіреності виконувати всі дії під імені Товариства. Директор готує балансовий звіт про підсумки діяльності Товариства за поточний рік та подає його на затвердження Зборами учасників.
Директор не менше одного разу на рік звітує перед Зборами учасників про свою роботу та стан справ Товариства.
Директор представляє інтереси Товариства, виступає від його імені в державних органах, а також судових органах, вирішує всі питання фінансово-господарської діяльності Товариства, за винятком тих, що належать до виключної компетенції Зборів учасників, має право першого підпису фінансових документів, укладає договори, угоди, контракти, в тому числі зовнішньоекономічні, видає довіреності, формує апарат управління і очолює його, має право прийняття і звільнення з роботи працівників Товариства, видає накази, розпорядження і дає вказівки, обов'язкові для виконання всіма працівниками Товариства.
Директор підзвітний Зборам учасників і організовує виконання її рішень. Директор не вправі приймати рішення, обов'язкові для учасників Товариства.
Директор не може бути одночасно головою Зборів учасників Товариства і членом ревізійної Комісії Товариства.
Перевірку діяльності Директора Товариства здійснює ревізійна комі-сія, яка обирається Зборами учасників у складі 3 чоловік з числа учасників або призначених ними представників. Очолює ревізійну комісію один із учасників Товариства. До складу ревізійної комісії не можуть входити Директор, його заступники та головний бухгалтер Товариства.
На рис.2.1 представлена копія штатного розпису та посадових окладів ТОВ “Україна –АРТ” з 1 лютого 2005 року.
Рис.2.1 Штатний розклад ТОВ “Україна- АРТ”
Структура рекламного агентства може будуватися по двох основних принципах:
1) складатися з окремих функціональних відділів, або
2) складатися з творчих груп, укомплектованих спеціалістами в різноманітних областях.
Перша форма внутрішньої організації іноді називається концентричною. Всі основні відділи - упорядкування рекламних текстів, художній, по роботі з засобами поширення реклами, виробничий і дослідницький - знаходяться в розпорядженні відповідального виконавця і готові зробити йому сприяння у виконанні замовлення клієнта.
При груповій структурі окремі службовці об'єднуються у творчу групу, що самостійно здійснює планування, виконує творчі роботи, підтримує контакти - словом, робить усе для виконання переданих їй замовлення рекламодавця. Інші подібні групи в складі агентства виконують замовлення інших рекламодавців.
Таким чином, велике рекламне агентство є, по істоті, об'єднанням декелькох маленьких агентств.
У багатьох агентствах існують ради по плануванню або наглядацькі ради, у задачі яких входить забезпечення належного функціонування агентства.
Рада по плануванню звичайно складається з начальників відділів і головних спеціалістів основних відділів рекламного агентства. Рада проводить наради з відповідальними виконавцями, де дається оцінка ходу роботи, висловлюються критичні зауваження, вносяться пропозиції, як із питань загальної стратегії, так і по конкретних тактичних питаннях рекламних виступів клієнта.
Служба притягнення замовлень рекламного агентства. Хоча наш розгляд організації роботи рекламного агентства, складу його службовців і функцій було, як і повинно бути, зосереджене навколо виконання замовлення рекламодавця, не варто забувати ще про одну функцію вищого керівництва - воно повинно забезпечити одержання замовлень нових клієнтів. Рекламні агентства можуть розвиватися двома шляхами: розширяючи об’єм послуг, що робляться вже наявним клієнтам, тобто розраховуючи, що збільшення об‘єму рекламної діяльності цих клієнтів дасть агентству додаткові замовлення;
шляхом притягнення нових клієнтів.
Перший шлях означає сумлінне виконання замовлень рекламодавців і участі в їхньому успіху. Другий засіб означає вихід на ринок послуг рекламних агентств, при цьому вище керівництво рекламного агентства звичайно виконує роль відділу збуту послуг.
Рекламні агентства можуть, відкрито займатися пошуками замовлень рекламодавців, хоча деякі з агентств проводять політику вступу в ділові контакти тільки за запрошенням. У обох випадках процес одержання замовлення часто пов'язаний із так називаною презентацією, що подає собою розгорнуту характеристику персоналу агентства, його ресурсів, списку клієнтури і переліку досягнутих успіхів. Презентації подібного роду можуть влаштовуватися агентствами одноосібно або у виді конкурсу з агентствами, що суперничають.
Функція одержання замовлень має вирішальне значення для успіху діяльності рекламного агентства. У зв'язку з цим вище керівництво агентств практично постійно націлені на виконання цієї функції. Найчастіше агентства в цій області висуває керівника на вищу посаду в агентстві. Головне місце в цьому питанні приділяється особистому продажу але, проте, більшість рекламних агентств проводять рекламування своїх послуг у галузевих і фахових виданнях, а так само використовує пряму поштову рекламу. Організаційна структура. Багато цільові ділові підприємства часто приймають формальну організаційну структуру для забезпечення більш чіткої передачі відповідальності і більш діючого контролю. Хоча менш значні агентства не відрізняються настільки складною організацією, вони виконують ті ж самі основні функції, що можуть бути поділені між меншим числом відділів або навіть передані спеціалізованим (незалежним, творчим) організаціям.
На рис.2.2 наведена функціональна структура рекламного агентства ТОВ “Україна-АРТ”.
Рис. 2.2 Функціональна структура РА ТОВ “Україна-АРТ”
2.2 Технологія надання рекламних послуг та характеристика проектів РА „Україна-АРТ”
РА «Україна-АРТ» здійснює комплексний супровід клієнтів – Full Service (розробка стратегії рекламної кампанії, комплексне проведення рекламних кам-паній, стратегічний розподіл бюджету по основних засобах реклами).
Агентство активно розробляє і реалізує проекти нестандартних рекламних рішень.
а) Розміщення реклами у внутрипоїзному просторі поїздів, що формуються на території України
Основними перевагами розміщення реклами в потягах далекого прямування є:
- Широке охоплення населення і територій;
- Можливість диференціації цільової аудиторії за рівнем статку і географічній ознаці;
- Схильність Споживача до ознайомлення з інформацією в шляху;
- Тривалий контакт реклами зі споживачем, велика кількість вторинних контактів;
- Тривалість впливу реклами на споживача;
- Обмежений вплив інших видів інформаційних носіїв.
В якості рекламних носіїв в поїздах використовуються постери формату А4, А3, А2, які розміщуються (рис.2.3) :
- у міжоконному просторі купе і СВ вагонів чи на рухливій частині двері;
- в арковому просторі плацкартних вагонів;
- усередині купе, над сидінням.
Рис.2.3 Способи розміщення рекламних постерів агентства “Україна-АРТ” в поїзному просторі
Інформаційні листівки дозволяють звернутися з розширеною інформацією до пасажира (рис.2.4).
| | | |
Рис.2.4 Способи розміщення реклами агентством “Україна-АРТ” в поїзному просторі на інформаційних листівках
| | |
| | |
Рис.2.5 Способи розміщення реклами агентством “Україна-АРТ” в електропоїздах та електропоїздах підвищенної комфортності
Також за бажанням Клієнта можливо брендування вагонів, що включає в себе внутрішнє оформлення вагонів у корпоративному стилі: розміщення реклами на віконних фіранках, на серветках, у постільній білизні, на одноразовому посуді (склянки), іміджева реклама в меню вагона-ресторану, а також його зовнішнє фарбування з нанесенням реклами.
б) Розміщення рекламних роликів на екранах
Київського і Харківського залізничних вокзалів
Екрани розташовані в найбільш проглядуємих місцях Північного і Південного терміналів Київського залізничного вокзалу.
При розміщенні рекламного ролика враховується графік приходу і відходу потягів протягом доби, що забезпечує максимальну ефективність реклами. Відеоролік може відтворюватися на екрані як періодично (через заданий інтервал часу), так і в конкретно заданий час, тобто можливе узгодження часу виходів рекламних роликів в час прибуття/відправлення поїздів.
| | |
Рис.2.6 Способи розміщення реклами агентством “Україна-АРТ” в приміщеннях Київського вокзалу (висота 7,5 м над рівнем підлоги в Північному терміналі, над ескалатором, висота 4,2 м над рівнем п ідлоги в Південному терміналі, розмір екранів 3,18х2,40 м)
| | |
Рис.2.7 Способи розміщення реклами агентством “Україна-АРТ” в приміщеннях Харківського залізничного вокзалу (круговий світлодіодний дисплей DynaScan, що передає три ідентичних повноцвітних зображення з кутом огляду 360°).
в) Розміщення реклами на зовнішніх конструкціях на вокзалах найбільших міст України
Рекламні конструкції розташовуються в місцях найбільшого скупчення пасажирів: привокзальна площа, зали чекання, касові зали, платформи.
| Львів | Одеський вокзал | Запорізький вокзал |
| | | |
Рис.2.8 Способи розміщення реклами агентством “Україна-АРТ” на зовнішніх конструкціях вокзалів (пано 0,7х1,0 м)
| Київський вокзал | Київський вокзал | |||
| | | |||
| Харківський вокзал | Київський вокзал | Сімферопольський вокзал | ||
| | | | ||
| Київський вокзал (3,0х3,25м) | Київський вокзал (1,5х4,5м) | Донецький вокзал (1,5х4,5м) |
| | | |
Рис.2.9 Способи розміщення реклами агентством “Україна-АРТ” на зовнішніх конструкціях вокзалів (пано 0,9х2,4 м, динамічні та статичні сіті-лайт 1.2х1,8 м з освітлюванням, Призмавижн 1,5х4,5м; ,0х3,25м)
в) Розміщення реклами в метрополітені м.м. Києва, Харкова, Дніпропетровська
| | | |
Рис.2.10 Способи розміщення реклами агентством “Україна-АРТ” на постерах у вагонах потягів метрополітену
| | | |
Рис.2.11 Способи розміщення реклами агентством “Україна-АРТ” на ескалаторних зводах і балюстрадах станцій метрополітену
Кожна рекламна кампанія проводиться агентством "Украина-АРТ" з урахуванням індивідуальних особливостей Клієнта, специфіки проведення акції, необхідних характеристик реклами. При плануванні кампаній використовуються не тільки адекватні статистичні дані, але й індивідуальні параметри ефективності, застосовувані при оцінці засобів масових комунікацій.
Для кожної окремої акції можуть бути розраховані і надані графічні матеріали, що відображають основні тенденції і закономірності, зв'язані з географією, обсягом перевезень пасажирів, соціально-демографічними характеристиками аудиторії, а також можуть надаватися загальні показники ефективності (OTS, CPT, GRP, частота контактів і т.д.).
Виходячи з задач поставлених Клієнтом, спеціалісти-маркетологи агентства порекомендують найбільш ефективне використання того чи іншого засобу комунікації, а також нададуть докладні звіти по проведеній рекламній кампанії.
г) Розміщення реклами в аеропортах України
Рекламні постери на зовнішніх конструкціях біля аеропортів.
Рекламні постери на конструкціях усередині будинків аеропортів
| | | |
Рекламні листівки на інформаційних стійках.
| | |
Рис.2.12 Способи розміщення реклами агентством “Україна-АРТ” в аеропортах
Для здійснення моніторингу і якісного розміщення рекламних матеріалів Замовника, на підприємстві функціонує відділ контролю і розміщення. Він складається з одинадцяти чоловік, що займаються розміщенням і контролем експонування рекламних матеріалів у Києві і регіонах.
Відділ розглядає і вивчає різні можливості по нових варіантах розміщення реклами на транспорті. Постійно ведеться статистика зв'язана з пасажирським транспортом усіх видів (сезонні пасажиропотікоки, ротація пасажирського транспорту і т.д.)
Крім того, в обов'язки відділу контролю і розміщення входить:
-
безпосередньо саме розміщення рекламних матеріалів;
-
проведення внутрішніх перевірок експонування рекламних матеріалів;
-
організація і проведення перевірок експонування рекламних матеріалів разом із Замовником;
-
надання фотозвітів по розміщенню реклами.
В Додатку А наведені переліки рекламних послуг та цін розміщення реклами в ТОВ “Україна –АРТ”.
Аналіз ринкового становища ТОВ «Україна-Арт» має велике значення, враховуючи вищенаведені дані, які свідчать, що підприємство працює на специфічному ринку, з високим рівнем конкуренції і високою місткістю. Сьогоднішнім загальноприйнятим підходом встановлено, що конкурентні переваги фірми забезпечуються в процесі конкурентної боротьби з так називаними п'ятьма силами (напрямками) конкуренції, тобто з іншими продавцями аналогічної продукції, фірмами – потенційними конкурентами, виробниками замінників, постачальниками ресурсів, покупцями її продукції. Їх можна розглядати як основні ринкові сили.
В табл.2.1 представлені основні рекламні агентства – конкуренти в сегментах рекламного бізнесу ТОВ „Україна- АРТ”.
Таблиця 2.1 Основні рекламні агентства-конкуренти в сегментах ринку ТОВ „Україна-АРТ”
| ЗОВНІШНЯ РЕКЛАМА | |
| "Ателье рекламы" Оформлення виставок | http://www.expostend.dp.ua/ |
| "Artline" Реклама над шляхами | |
| "Domus" Рекламно-виробниче підприємство | |
| "Весна-принт" Рекламне агентство | http://www.choco.com.ua/ |
| "Контур-Л" Рекламне Агентство | http://www.contur-l.dp.ua/ |
| "Лайт" Рекламне Агентство | http://www.lightin.dp.ua/ |
| "Реклама-центр" Рекламна Компанія | |
| "Александр Решетняк" Рекламное фото | |
| "Футурис" Рекламная компанія | http://www.futuris.dp.ua/ |
| ПРОДАКШН СТУДІЇ, ТЕЛЕБАЧЕННЯ | |
| "34 телеканал" | http://www.34-tv.com/ |
| "4d studio" Продакшн студия | http://www.4dstudio.com/ |
| "Remi" Творческая студия | http://www.4dstudio.com/ |
| "ИнтерДА" Реклама на телеканалах | http://www.inter-da.dp.ua/ |
| ПОЛІГРАФІЯ, МАТЕРІАЛИ ДЛЯ РЕКЛАМИ | |
| "Арт Украина" Матеріали для реклами | http://www.admarket.dp.ua/ |
| "Бизнес Сувениры" Рекламно-сувенірна продукція | http://www.suovenir.dp.ua/ |
| "Печатный Двор" Типографія | |
| "Владимир Дудник" Видавницький Дім | |
| "Світ реклами" Матеріали для реклами таgполіграфії | http://www.svitreklamy.kiev.ua |
| "Futuris" Рекламная компанія | http://www.futuris.ua/ |
| "Яблоко" Рекламне агентство | |
Найближчим конкурентом на рекламному ринку для ТОВ «Україна-АРТ» є компанія «FUTURIS» - одна з найбільших динамічних розвиваючихся рекламно-виробничих компаній України з власними виробничими потужностями, що займає ведуче місце на ринку виробництва повноколірного широкоформатного друку.
Використовуючи останні досягнення в пьєзо-електричній струминній технології друку, на базі широкоформатних плоттеров SCITEX VISION "XLjet 3" (ширина печатки 3200 мм), "TOUCAN" (1600 мм) і "RockHopper" (1640 мм) виробництва компанії MUTOH, розробляється рекламна продукція різних форматів - від мінімального, розміром з етикетку, до гігантських полотнин, що цілком покривають фасад будинку, з дозволом печатки 180 dpi, 360 dpi, 720 dpi, 1400 dpi.
Друк виконується на широкому спектрі матеріалів: баннерной тканини (PVC Frontlit, Backlit, Black Out), сітці Mesh, плівці (ORACAL, One Way Visin), папірі Blueback і Backlit, флаговій тканині, полотні, ковролині. Здійснюється друк безшовних зображень розміром 3,2 х 50 м. Використовуються краски, стійкі до атмосферних опадів і ультрафіолетового випромінювання. Також пропонуються послядрукові роботи: широкоформатна ламінация, плоттерна порізка, поклейка зображень, установка люверсів, проварка кишень. Виробничі потужності компанії «FUTURIS» складають 2500 кв.м. у добу.
Компанія «FUTURIS» пропонує оформлення місць продажів, рекламу на міському транспорті і фасадах будинків.
Рис.2.13. Реклама на транспорті компанії „FUTURIS”(найближчий конкурент)
Представляючи свою концепцію аналізу галузі (рис.2.14) М.Porter [12] проник у сутність структури в різноманітних конкурентних середовищах. Його концепція називає п'ять конкурентних сил, які визначають привабливість певної галузі. Цими рисами є:
-
вхідні бар'єри при проникненні в галузь нових конкурентів;
-
загроза продуктів-замінників;
-
вплив покупців, що дозволяє їм відстоювати свої інтереси;
-
вплив постачальників, що дозволяє їм відстоювати їх інтереси;
-
суперництво між існуючими конкурентами в галузі.
Р
ис.2.14 Модель 5 сил конкуренції по М.Портеру
Модель п'яти сил (напрямків) конкуренції – це ефективний метод аналізу основних конкурентних сил, що впливають на положення фірми на ринку. Ця модель дає можливість більш цілеспрямовано оцінити конкурентну обстановку на ринку і на цій основі розробити такий варіант довгострокової стратегії фірми, що у найбільшій мері забезпечить її захист від впливу конкурентних сил і одночасно буде сприяти створенню додаткових конкурентних переваг. Для виявлення інтенсивності конкуренції на сегменті ринку реклами в транспортній інфраструктурі скористаємось моделлю п’яти сил конкуренції М. Портера.
Для оцінки 5 сил конкуренції був проведений аналіз:
1. Група „Постачальники” - це підприємства – власники рекламних територій та рекламних місць, які надають їх за договорами оренди в експлуатацію ТОВ „Україна – АРТ”.
До них відносяться :
А) структурні підрозділи Укрзалізниці (Південно-Західні дорога, Південна, Донецька, Одеська, Придніпровська), ЗАТ „Інтертранс”.
Б) власники місць розташування зовнішня реклама - ТОВ „РТМ-Україна”, ТРК „Глобус”, ВАТ АК „Дніпроавіа”, РП „Міжнародний аеропорт Сімферополь”, ЗАТ „Інтертранс”, ЗАТ „Протасів Яр”, ТзОВ „Парктур”
В) власники місць розташування у метрополітені - ТОВ „Галакт и Ка”, ТОВ „Профіт”, ТОВ РА „Багіра”, ЧФ „Нокс”
2. Група „Покупці” – це підприємства, які заказують ТОВ „Україна – АРТ” рекламні послуги, які виконуються при розташуванні заказаного виду реклами на територіях „Постачальників”, взятих в аренду. До основних покупців ТОВ „Україна-АРТ” відносяться - ДП „Медіа Вест” бренди : Снікерс, Марс, Вискас, Педигри, Вестерн Юнион, Черниговское, Брама.; ТОВ „Рекламне агентство „Максіма” бренд „ЮМС”; ТОВ "МПГ-Україна" бренд „Київстар”; ЗАО "Индустриальные и Дистрибуционные Системы" бренд „Миргородська”, Торгівельна мережа „Мега Макс”
Характеристика окремих сил складена на основі експертних оцінок і наведена в таблиці 2.2. Як бачимо, використання методу М. Портера показує, що в цілому становище підприємства на ринку нестабільне. Найбільший ризик цьому становищу можуть надати (експертна оцінка ризику за шкалою : 1 – максимальний ризик, 5 – мінімальний ризик) :
- „постачальники”, які можуть розірвати договори оренди місць
розташування реклами;
- заміна товарів – тобто поява альтернативної реклами, яка буде більш економічною для покупців, ніж зовнішня реклама ТОВ „Україна –АРТ”;
- поява фірм –конкурентів;
Таблиця 2.2 Характеристика окремих сил для ТОВ «Україна-Арт»
| № | Сила | Характеристика дії | Експертна оцінка за 5-ти бальною шкалою |
| 1 | Ризик входу потенційних конкурентів | Досить високий | 2 |
| 2 | Можливості “торгуватися” (знижувати ціни) покупців | Покупці мають обмежені можливості впливати на ціни. | 4 |
| 3 | Загрози товарів, що заміщують основний асортимент | Дуже високі | 1 |
| 4 | Можливості “торгуватися” (підвищувати ціни) поста-чальників | Досить високі | 2 |
| 5 | Конкуренція серед існуючих фірм-продавців | Досить висока | 2 |
| Сукупна дія сил | Нестабільне становище на конкурентному ринку | 2,22 |
Основний конкурентний тиск на рекламному ринку становлять рекламні агентства з власною новітньою виробничою базою, аналогічно представленому конкуренту – рекламному агентству „FUTURIS”.
Таким чином, РА ТОВ „Україна-Арт” повинно постійно шукати способи підвищення своєї конкурентоспроможності на ринку. Основою пошуку може бути стратегічний напрямок створення своїх «рекламних територій» в електронному інформаційному простіру. Для оцінки перспектив розвитку РА ТОВ «Україна-АРТ” необхідно проведення економічної діагностики його внутрішніх можливостей для інвестування в нові технології та сегменти рекламного бізнесу
2.3 Діагностика ефективності проектної діяльності рекламного агентства ТОВ „Україна-АРТ”
Економічна діагностика підприємства ТОВ „Україна-АРТ” проводилась на основі його фінансової звітності, приведеної в Додатку Б у формі балансів (форма 1) [10] та звітів про фінансові результати (Форма 2) [11] за 2004 –2006 роки. В Додатку В наведені результати порівняльного аналізу динаміки змін основних агрегатів балансу та звіту про фінансові результати підприємства ТОВ “Україна – АРТ”при їх «горизонтальному» (індексний аналіз росту параметрів відносно бази попереднього року) та «вертикальному» (структурний аналіз розподілу агрегатів балансу відносно сумарної валюти балансу) розрізі за методологією робіт [18], [19].
Рис.2.15 Динаміка основних агрегатів балансу ТОВ „Україна-АРТ”
Як показує аналіз графіків рис.2.15 при стагнаційному положенні підприємства в 2005 році, у 2006 році валюта балансу зросла практично в 10 разів за рахунок позитивного прибутку та росту поточних зобов’язань.
В Додатку Г наведені алгоритми [20] коефіцієнтного аналізу показників діяльності підприємства ( рентабельність, ліквідність, ділова активність, фінансова стійкість). В Додатку Д наведені результати розрахунку динаміки основних показників діяльності ТОВ “Україна-АРТ” за 2004 –2006 роки.
В табл.2.3 – 2.5 наведені основні результати діяльності ТОВ “Україна-АРТ” у 2004 –2006 роках згідно обробки інформації декларацій про податок на прибуток та декларацій про податок на рекламу. В табл.2.3 –2.5 виділені для аналітичного дослідження окремо валові доходи з надання рекламної послуг та сплачений податок з реклами [8].
Відповідно до ст. 15 Закону України від 25.06.91 р. N 1251-XII "Про систему оподаткування" в редакції Закону України від 18.02.97 р. N 77/97-ВР податок з реклами належить до місцевих податків і зборів (обов'язкових плате-жів), а механізм його справляння та порядок сплати встановлюється сільськи-ми, cелищними, міськими радами в межах граничних розмірів ставок, установ-лених законами України.
Декретом КМУ від 20.05.93 р. N 56-93 "Про місцеві податки і збори" [7] визначено види місцевих податків і зборів, їх граничні розміри та порядок обчислення. Статтею 11 Декрету визначено об'єкт оподаткування, платники податку, зазначено граничні розміри ставок податку з реклами.
Згідно зі ст. 1 Закону України від 03.07.96 р. N 270/96-ВР "Про рекламу" реклама - це спеціальна інформація про осіб чи продукцію, яка розповсюджується в будь-якій формі та в будь-який спосіб з метою прямого або опосередкованого одержання прибутку [6]. Об'єктом податку з реклами є вартість послуг за встановлення та розміщення реклами. Граничний розмір податку з реклами не повинен перевищувати 0,1 % вартості послуг за розміщення одноразової реклами та 0,5 % за розміщення реклами на тривалий час.
В табл.2.6 наведені порівняльні показники діяльності ТОВ “Україна-АРТ” у 2004 – 2006 роках. Як показує аналіз даних табл.2.6 при рості валових обсягів доходів від рекламної діяльності 546% (2005/2004) та 121%(2006/2005), чистий прибуток від діяльності ТОВ “Україна-АРТ” знижується – 87%(2005/2004) та 61,1%(2006/2005), тобто при розширенні діяльності рентабельність знижується, що потребує розширеного економічного аналізу для виявлення причин.
Т
аблиця 2.3 Основні результати діяльності ТОВ “Україна - АРТ” за 2004 рік (наростаючим ітогом на основі щомісячних податкових декларацій по податку на рекламу та щоквартальних податкових декларацій по прибутку підприємства)
Таблиця 2.4 Основні результати діяльності ТОВ “Україна - АРТ” за 2005 рік (наростаючим ітогом на основі щомісячних податкових декларацій по податку на рекламу та щоквартальних податкових декларацій по прибутку п
ідприємства)
Таблиця 2.5 Основні результати діяльності ТОВ “Україна - АРТ” за 2006 рік (наростаючим ітогом на основі щомісячних податкових декларацій по податку на рекламу та щоквартальних податкових декларацій по прибутку підприємства)
Т
аблиця 2.6 Порівняльні показники діяльності ТОВ “Україна-АРТ” у 2004 – 2006 роках
В табл.2.7 – 2.8 представлені результати аналізу структури активів та джерел (пасивів) балансу ТОВ “Україна- АРТ”. На рис.2.16, 2.17 наведені графіки динаміки основних показників діяльності ТОВ “Україна-АРТ” за 2004 –2006 роки. Загальний аналіз результів оцінки фінансово-господарської діяльності ТОВ “Україна-АРТ” дає наступне :
- підприємство у 2006 році динамічно розвивається (статутний фонд - 39,8 тис.грн., прибуток діяльності = 123,7 тис.грн., сумарний власний капітал = 187,7 тис.грн., валюта балансу 454,4 тис.грн.) та поступово виходить з кризи 2004 -2005 років, коли збитки діяльності попередніх років перевищили статут-ний капітал і підприємство перейшло в стан банкрутства:
1) 2004 рік: статутний фонд – 39,8 тис.грн., збитки діяльності = (-80,0 тис.грн.), залишковий власний капітал = - 40,2 тис.грн., валюта балансу 38,2 тис.грн., тобто підприємство функціонує тільки за рахунок залучених коштів та комерційних кредитів (стан банкрутства);
2) 2005 рік: статутний фонд – 39,8 тис.грн., збитки діяльності = (-37,9 тис.грн.), залишковий власний капітал = 1,9 тис.грн., валюта балансу 38,2 тис.грн.);
- валові доходи підприємства поступово зростали з рівней 1214,3 тис.грн.(2004) та 2783,6 тис.грн.(2005 рік) до рівня 3115,6 тис.грн.(2006 рік)
- але собівартість діяльності становить до 97% від чистих валових доходів(1126,2 тис.грн.(2004), 2727,6 тис.грн.(2005), 3083,2 тис.грн.(2006)), тому рентабельність продукції по чистому прибутку після оподаткування становить всього 1 – 4 %;
- рентабельність активів та власного капіталу в рекламному бізнесі ТОВ „Україна-АРТ” по валовим доходам у 2004 -2005 роках становить тисячі про-центів (рис.2.17), що є неприроднім для будь –якої виробничої галузі та харак-теризує показники етапу банкрутства підприємства, рентабельність власного капіталу по чистому прибутку у 2006 році становить 12,08% при рентабельності активів по чистому прибутку 4,99%, що характеризує перехід підприємства до показників нормальної ефективності роботи фінансів;
- підприємство, досягнувши тільки у 2006 році рівень загальної ліквідності не нижче нормативів, практично у 2004 – 2006 роках не має строкової та моментальної ліквідності, тобто живе “від заказу до заказу” і не має власних фінансових можливостей для фінансування інвестиційних вкладень у розвиток підприємства у ТОВ „Україна-АРТ”.
Аналіз даних ресурсів підприємства ТОВ “Україна-АРТ”, наведених в табл.2.8, показує значення рівней фінансових показників, які не мають права на існування у діючого підприємства, тобто:
- рівень власного капіталу у 2004 році є негативною величиною (-40,2 тис.грн.), а у 2005 році становить практично “нульову” величину (1,9 тис.грн.), що згідно з нормативами законодавства повинно було привести до процедури обов’язкового банкрутства підприємств, оскільки згідно Цивільному Кодексу України, як підстава для обов'язкової ліквідації вказується випадок, коли вар-тість чистих активів ТОВ, АТ стає менше мінімального розміру статутного капіталу (ч. 4 ст. 144, ч. 3 ст. 155);
- відповідно, показник процентної частки залучених коштів у 2004 році становить 204,4%, оскільки сума залучених коштів перекриває негативний власний капітал та створює залишкову валюту балансу;
- показник процентної частки залучених коштів у 2005 році становить 94,0%, тобто підприємство продовжує жити тільки за рахунок залучених коштів;
Але при цьому, як показують графіки рис. 2.16, 2.17, підприємство ТОВ “Україна-АРТ” у 2004 –2005 роках успішно працює виключно за кошти заказчиків реклами і має обсяги реалізації рекламних послуг, які в 10-20 разів перевищують обсяги валюти балансу підприємства. Така абсурдність діяльності, згідно графікам рис.2.16, 2.17, у 2005 році приводить до абсурдних рів-ней рентабельності власного капіталу (1,9 тис.грн.), при якому можна реалізу-вати послуги на 2,1 млн.грн. і платити заробітну плату працівникам підприємства.
Таблиця 2.7 Структура майна (активів) ТОВ “Україна – АРТ”
Таблиця 2.8 Структура джерел (пасивів) ТОВ “Україна – АРТ”
Рис.2.16 Динаміка основних агрегатів доходів та витрат ТОВ “Україна-АРТ” за 2004 – 2006 роки
Рис.2.17 Динаміка рентабельності ТОВ “Україна-АРТ” за 2004 – 2006 роки
2.4 Обґрунтування пропозицій по шляхам розвитку підприємства ТОВ „Україна-АРТ”
Діагностика проблем розвитку РА „Україна –Арт” проводилась в двох напрямках :
-
внутрішня економічна діагностика фінансово- господарчого стану агентства;
-
аналіз конкурентного зовнішнього середовища для рекламних продуктів РА „Україна-Арт”
Загальний аналіз результатів оцінки фінансово-господарської діяльності ТОВ “Україна-АРТ” за 2004 – 2006 роки дав наступні діагностичні висновки відносно внутрішнього економічного стану підприємства:
- підприємство у 2006 році динамічно розвивається та поступово виходить з кризи 2004 року, коли збитки діяльності практично перевищили власний капітал і підприємство перейшло в стан банкрутства;
- рентабельність активів та власного капіталу ТОВ „Україна-Арт” по вало-вому доходу в рекламному бізнесі друкованої та наружної реклами становить сотні процентів, що є недосяжним для будь –якої виробничої галузі;
- але собівартість рекламних послуг в друкованій та наружній рекламі становить до 97% від чистих валових доходів, тому рентабельність рекламних послуг по чистому прибутку після оподаткування становить всього 1 – 4 %;
- підприємство на протязі 2004 -2005 років мало проблеми з ліквідністю та платоспроможністю, тільки у 2006 році рівень загальної ліквідності досяг значень не нижче нормативів, але практично немає строкової та моментальної ліквідності (поточні зобов”язання в декілька разів перевищують поточні активи, при цьому готівкових коштів практично немає), тобто РА ТОВ „Україна-Арт” живе “від заказу до заказу”;
- підприємство не має довгострокового портфелю „заказів” та ритмічного надходження коштів від реалізації рекламних послуг;
Аналіз зовнішнього конкурентного середовища для продукції РА „Україна- Арт” проведений методами спостереження та порівняння показав :
1. Рекламне агентство ТОВ «Україна-АРТ» - медійне агентство, що працює на рекламному ринку України з 1997 року. Пріоритетною діяльністю компанії є розробка і впровадження ефективних технологій у транзитній рекламі і рекламі на транспорті.
2. Сегмент рекламного ринку, на якому працює РА ТОВ „Україна-Арт”, має інтенсивну конкуренцію, тому для розвитку агентства необхідний пошук „вільних” ніш в інших сегментах рекламного ринку.
3. Основні проблеми розвитку рекламної діяльності РА ТОВ „Україна-Арт” знаходяться в площині :
- нових підходів замовників до ефективності використання реклами з точки зору комплексу маркетингу;
- вимог замовників по економічному обґрунтуванню поточного стану та досяжності аудиторії в кожній рекламній компанії (зворотній зв’язок маркетингових комунікацій);
Концепція маркетингу – це нова «філософія» підприємництва, девізом якої стало: робити те, що продається , а не продавати те, що зроблено. Маркетинг основний упор у всій ринковій діяльності переносить на ефективне задоволення потреб. Правильне визначення обсягу і структури платоспроможних потреб і розробка ефективних засобів їхнього задоволення стає гарантією успіху на ринку [3].
З врахуванням цього міняється роль і логіка всієї рекламний діяльності. Так, при орієнтації на концепцію удосконалювання виробництва продавець використовує рекламу частіше як засіб інформування чи нагадування. У концепції інтенсифікації комерційних зусиль рекламі, навпаки, приділяється одне з центральних місць [6]. Реклама сама по собі, без тісних взаємозв’язків з іншими елементами комплексу маркетингу, є малоефективною і , більш того, може привести до негативних результатів.
Світова практика показує , що реклама здобуває максимальну ефективність як складова частина системи маркетингових комунікацій. Система маркетингових комунікацій у найбільш загальному виді можна визначити як єдиний комплекс, що поєднує учасників, канали і прийоми комунікацій організації, спрямований на встановлення і підтримку визначених цією організацією взаємин з адресатами комунікацій у рамках її маркетингової політики. Під терміном «комунікаційна маркетингова політика» розуміється система загальних установок, критеріїв, орієнтирів, прийнятих організацією для дій і прийняття рішень у сфері комунікацій, що забезпечують досягнення її маркетингових цілей.
Таким чином, основною проблемою для розвитку РА „Україна –Арт” є переорієнтація рекламної діяльності на ідеологію персоналізованих „маркетингових комунікацій”
Маркетингові комунікації утворюють складну ієрархічну систему , у якій підлеглими по відношенню до генеральної мети маркетинг-забезпечення стійкого і прибуткового положення підприємства на ринку, виступають наступні цілі (ієрархічне «дерево цілей») [5]:
-
мотивація споживача;
-
генерування, формування й актуалізація потреб покупця;
-
підтримка доброзичливих відносин і взаєморозуміння між організацією і громадськістю, партнерами по маркетинговій діяльності;
-
формування сприятливого образа(іміджу) організації;
-
інформування громадськості про діяльність організації;
-
надання інформації про товари, вироблені фірмою;
-
умовляння;
-
формування в покупця переваги до марки і переконаності в необхідності зробити покупку;
-
стимулювання акта покупки;
-
нагадування про фірму, її товарах і т.д.
Діагностика зовнішнього середовища показала, що основними недоліками проаналізованих видів рекламних послуг в ТОВ „Україна-Арт”, з точки зору ефективності сучасних маркетингових комунікацій представляються наступні :
1. Неособистий характер. Комунікаційний сигнал надходить до потенційного покупця не особисто від продавця, а через різного роду матеріальні посередники – засоби масової інформації, різноманітні рекламоносії.
2. Одностроння спрямованість рекламного звертання від продавця до покупця.
3. Невизначеність з погляду виміру ефекту реклами. Ця якість є логічним продовженням попереднього. Зворотний зв'язок у комунікації носить ймовірний і невизначений характер. Факт покупки залежить від маси факторів, що не мають прямого відношення до реклами, що носять суб'єктивний характер і не піддаються формалізації.
Розв”язання генеральних проблем розвитку рекламних послуг в РА ТОВ „Україна-Арт” можливо за рахунок наступних заходів :
- організація персоналізованої реклами та систем оцінки її ефективності;
- пошук та зайняття „вільних ніш” на сегменті ринку персоналізованої реклами в Україні
Основна мета вирішення сформульованих при діагностиці генеральних проблем у внутрішньому та зовнішньому середовищах:
- досягнення фінансової стійкості РА ТОВ „Україна-Арт” за рахунок організації ритмічного надходження коштів за надані рекламні послуги;
- формування стійкої клієнтури, включаючи інші рекламні агентства, та довгострокового „портфелю заказів”;
- формування нових видів персоналізованих рекламних послуг зі зворотнім зв”язком;
Для вирішення проблем РА ТОВ „Україна-Арт” в дипломному проекті були проаналізовані 2 альтернативних стратегічних напрямки перспективних технологій рекламної діяльності на сучасному етапі:
-
Тотальний натиск на споживача за допомогою брендінга – високоефективної технології завоювання й утримання споживача на обмеженій території (область, країна);
2. Нова технологія Інтернет-„директ-маркетингу” з використанням технологічного механізму персональної “електронної” Інтернет – реклами з всесвітним охватом аудиторії (навіть з подоланням мовного бар”єру);
Професійний брендинг - це багатоструктурний, обґрунтований, вивірений і контрольований комплекс по створенню товарної марки, розробці дизайну упакування, рекламної аргументації, проведенню акцій по стимулюванню збуту, тобто використання всього арсеналу маркетингових засобів комунікативного впливу на споживача. Фактично сьогодні йде глобальна боротьба за споживача в двох площинах: товарній і комунікативній.
Для маркетологів брендинг - це основний спосіб диференціації продуктів і інструмент просування товарів на ринок. Деякі заявляють, що брендинг - це "нова культурна мова сучасного суспільства, що базує на ринкових відносинах". Сучасний споживчий ринок - це боротьба брендів. Бренди за допомогою комплексу маркетингових комунікацій впроваджують у свідомість споживачів, домагаючись відчуття особливої цінності. Можна назвати це агресивною комунікативною оболонкою, аурою бренда, елементом інтелектуальної власності. Для рекламодавця створення і посилення індивідуальності торгової марки на ринку підвищує її конкурентноздатність.
Сутність рекламної технології „Брендінгу” — це діяльність по створенню довгострокової переваги до товару, заснована на спільній посиленій дії на споживача товарного знаку, упакування, рекламних звертань, матеріалів сейлз промоушн і інших елементів реклами, об'єднаних визначеною ідеєю й однотипним оформленням, що виділяють товар серед конкурентів і створюють його образ (brand image). „Брендінг” має не персоналізовану направленість на масову аудиторію та використовує технології ймовірністного підходу до контакту реклами з споживачем створенням масової „території брендінгу”, на якій може перебувати споживач (метро, поїзди, вокзали, кораблі, автобуси).
Фактично цим шляхом розвивається сучасна реклама РА „Україна – АРТ”.
Звідси основний недолік „брендінг – маркетингу” – величезні витрати на створення „території брендінгу” та відсутність фіксації контакту споживача з рекламою і ефективності її дії.
Відносно другого стратегічного шляху розвитку реклами – персоналі-зованого Інтернет – „директ-маркетингу” більшість західних фахівців з реклами сходиться в думці, що в найближчі роки директ-маркетинг потіснить всі інші види рекламної діяльності і стане домінуючим у сфері маркетингових комунікацій. На світовому ринку директ-маркетинг розвивається втроє ефективніше, ніж реклама в засобах масової інформації, і в порівнянні з нею для рекламних агентств удвічі прибутковіше.
Одна з причин цього феномена полягає в тім, що завдяки повсюдній комп'ютеризації стало можливим вирішити колись нерозв'язну задачу — з'єднати в рекламній кампанії масове охоплення з індивідуальним підходом до кожного окремого споживача. Крім того, відбулася “демасифікація”, що принесла нову ідеологію у виробництво, збут, комунікації і скасувала універсальний підхід в області маркетингу. Ринок розбився на безліч фрагментів.
Реклама в інтернет орієнтована на цільову аудиторію, тобто, тих відвідувачів, що придбають надалі товари чи послуги. У цільову аудиторію для реклами в інтернет можна включити і просто користувачів, що цікавляться тематикою рекламованого сайта.
Основні функції Інтернет-реклами є наступними:
- Залучення на сайт відвідувачів;
- Іміджева функція - підвищення впізнаваємості сайта, торгової марки чи фірмової символіки фірми-власника сайта;
- Реклама конкретних товарів чи послуг;
Основні методи Інтернет-реклами:
- Контекстна реклама
- Баннерная реклама
- Рекламна стаття (текстова реклама) з відгуками в цільових форумах
- Обмін посиланнями на сайти
- Інтернет-маркетинг
- Залучення цільової аудиторії з конспектуванням доступу
Всесвітня мережа Інтернет досить давно перестала сприйматися як щось екзотичне й усе більше людей намагається при її допомозі одержати практичну вигоду. В Інтернету з'являються міцніючі паростки торгівлі товарами і послугами. А двигуном торгівлі, як відомо, є реклама. Від її ефективності багато в чому залежить успіх будь-якого комерційного починання, у тому числі й в Інтернеті.
а) Цільові відвідувачі сайта в Інтернет-рекламі
Що таке ЦІЛЬОВИЙ ВІДВІДУВАЧ, який прийшов з пошукового сайту і який конкретно щось купує чи конкретно “кликає” по баннеру, а потім робить депозити, це очевидно довідається тільки той, хто з цим зштовхнеться в роботі. Краще один цільовий, ніж 1000 просто цікавих, тому як з 1-го цільового, напрацьовується на порядок вище, ніж потім з 10000 баннеропоказів, та й трафік у нормі залишається.
Цільова аудиторія - це та частина активних користувачів Інтернет, на яку планується рекламний вплив з метою переконати їх купити рекламований товар чи послугу.
б) Баннерна реклама в Інтернет-рекламі
Як правило, баннер - це графічне зображення чи текстовий блок реклам-ного характеру, що є гіперпосиланням на веб-строрінку з розширеним описом продукту чи послуги. Баннери розміщають на веб-строрінках для залучення відвідувачів (потенційних клієнтів) чи для формування іміджу.
Основними мінусами баннерної реклами є наступні :
- Великий обсяг картинок і анімації створюють очевидні проблеми – баннер може просто не встигнути завантажитися в браузер клієнта. Крім того, багато користувачів відключають показ графіки у своїх браузерах чи ставлять програмні фільтри, що забирають баннерну рекламу з веб-сторінок.
- У зв'язку з причинами зазначеними в попередньому пункті, рекламні площадки як правило обмежують обсяг звичайного баннера до 12-15 Кбайт.
- Баннерная реклама страждає визначеною нав'язливістю, у результаті чого багато користувачів, що не перший день в інтернеті, просто перестають реагувати на баннерну рекламу.
- Баннерні системи, як правило, не надають послуги контекстної реклами як такої, чи надають їх у дуже урізаному виді. Тому неможливо організувати показ баннера вузькій цільовій аудиторії. Баннерна реклама використовується, коли цільова аудиторія дуже широка, інакше цей вид реклами неефективний.
- Баннери згодом «вигорають», тобто при довгій ротації того самого баннера цільова аудиторія бачить його кілька разів і перестає на нього реагувати.
в) Контекстна реклама в Інтернет-рекламі
Контекстна реклама - це розміщення рекламного блоку (текстової інформації) на сторінках сайтов відповідно до їхньої тематики.
Вартість розміщення баннерів вище вартості розміщення текстових блоків, що цілком зрозуміло: графіка може набагато більш ефектно представляти об'єкт реклами, формувати і просувати імідж. Анімація баннера привертає увагу і дозволяє за допомогою кадрів обігравати рекламні сюжети (питання-відповідь, проблема-рішення і т.д.)
Але в текстової реклами є свої переваги: вона швидше вантажиться, її бачать користувачі з відключеною графікою. Часто текстовий блок асоціюється у відвідувачів не з рекламою, а з рекомендаціями ведучих сервера, що створює їй більший кредит довіри.
Контекстова реклама – це практично повний аналог баннерної реклами, але замість графічного баннера використовується текстовий блок. У текстовому блоці можуть використовуватися різні шрифти, посилання, виділення. Текстовий блок не має стандартного розміру, в зв'язку з чим рекламні площадки розміщають такі блоки внизу сторінки, що, природно, дещо істотно знижує ефективність цього виду реклами.
Ефективність контекстної реклами визначається :
- Меншою вартістю відвідувача.
- Більш високою ефективністю за рахунок того, що рекламний блок демонструється тільки зацікавленому відвідувачу.
- Можливістю залучення на сайт дуже вузької цільової аудиторії.
г) Обмін зсилками в Інтернет-рекламі
Обмін посиланнями цінніше зокрема тому, що при обміні посиланнями передається більше цитируємості, ніж у випадку реєстрації в каталогах. Це відбувається через те, що на одній сторінці сайта розміщають менше посилань, ніж звичайно знаходиться в каталозі. І вашому сайту дістається велика частка цитируємості.
д) Интернет маркетинг в Інтернет-рекламі
Інтернет маркетинг - це комплекс заходів для просування і продажу на ринку товарів, послуг, торгової марки за допомогою технологій мережі Інтер-нет. Більш конкретно: Інтернет маркетинг - це комплекс усіх маркетингових заходів для просування сайта в Інтернет. Він містить у собі розкручування сайта й оптимізацію сайта під пошукові системи, рекламу в інтернеті, залучення цільової аудиторії через баннерну рекламу і контекстн рекламу в пошукових системах, а також подальшу підтримку сайта і моніторинг ефективності його функціонування.
е) Рекламна стаття в Інтернет-рекламі
На перший погляд здається, що сформована на сучасний момент обстановка з практичним сполученням таких понять, як «маркетинг» і «інтернет» не дає приводів для оптимізму. Проте, це далеко не так.
Узагальнюючи, можна сказати, Всесвітня Мережа пропонує комерційним підприємствам багатомільйонну споживчу аудиторію за мінімальною ціною, іншими словами, вартість повноцінної рекламної кампанії з використанням інтернет набагато порядків нижче, ніж із застосуванням інших рекламних носіїв. Що з урахуванням потенційної можливості «достукатися» до кожного конкретного користувача не побічно, а особисто, робить такий підхід воістину унікальним.
Інтернет дозволяє цілком автоматизувати процес обслуговування потенційних клієнтів, без зайвих витрат надаючи їм необхідний сервіс двадцять чотири години в добу, сім днів у тиждень і триста шістдесят п'ять днів у році.
Інтернет не тільки відкриває перед підприємством можливість ефективно організувати зворотний зв'язок зі споживачем і оперативно вивчити поточний попит, але також гнучко змінювати власні маркетингові плани і рекламні проекти відповідно до безупинно змінюючоїся економічної ситуації.
Інтернет є незамінним інструментом для видобутку свіжої маркетингової інформації, багаторазово перевершуючи в цьому відношенні інші традиційні засоби, такі як преса, телебачення і радіо, а також являє собою оптимальний спосіб пошуку потенційних партнерів і інвесторів, зокрема — за рубежем, дозволяючи заощадити на міжнародних переговорах і переписуванні. І, нарешті, використання інтернет помітно скорочує накладні витрати по просуванню товарів і послуг зі збереженням необхідної ефективності, а також забезпечує різке зменшення ризику капіталовкладень, роблячи цей ризик керованим.
Потрібно лише знати, як утілити всі ці неозорі перспективи в життя і витягти з них максимально можливий прибуток.
Суть Інтернет – „директ-маркетинга” складається у встановленні за посередництвом рекламних агентств довгострокового і взаємовигідного партнерства, що розвивається між виробником і персонально відомими споживачами.
Традиційно, при методах „Брендінг –реклами” для оцінки цільових груп, що піддаються рекламному впливу, використовується метод сегментації — виділення споживачів з подібними соціально-демографічними характеристиками, що припускають однакові потреби. При Інтернет - „директ-маркетингу” — навпаки, спочатку визначаються потреби, а потім формуються групи з відповідних споживачів, що індивідуалізуються і включаються в рекламному процесі в ідентифікований зворотний зв'язок.
Директ-маркетинг — це загальний метод маркетингу, що використовує всі засоби реклами і всі канали їхнього поширення. Сучасний напрямок розвитку Інтернет- „директ-маркетингу” в рекламі поступово з розвитком масовості всесвітної мережі Інтернет виділяється в самостійну галузь з своїми принциповими підходами.
Основними напрямками роботи рекламного агентства в сфері Інтернет –„директ-маркетингу” є:
- персональне виділення перспективних покупців для встановлення з ними безпосереднього двостороннього спілкування;
- регулярна підтримка з цими покупцями індивідуалізованих комунікацій;
- збільшення прибутку шляхом випробування нових пропозицій поліпше-них товарів і послуг, а також більш ефективних рекламних звертань.
Інтернет – „Директ-маркетинг” є областю, куди сьогодні направляють інвестиції багато промислових, сервісних і рекламних фірм. Адже він дозволяє знайти потенційних покупців, переконати їх звертатися до фірми-рекламодавця, зробити друзями і вести з ними справи спільно на персональній, дружній основі, одержуючи істотні доходи.
На сьогоднішньому етапі розвитку зовнішньоекономічної реклами для вітчизняних експортерів найбільше значення має осмислення вигід Інтернет- “директ-маркетингу”, не потребуючих великих валютних асигнувань, але, разом з тим, дуже ефективних у вигляді прямого дії на споживача та партнера.
У зв'язку з налагодженими ідентифікованими і контрольованими комунікаціями зі споживачами рекламні компанії Інтернет-„директ-маркетинга” дозволяють точно визначити ефективність вкладених у них коштівв. У цьому - основна перевага і відмінність Інтернет – „директ-маркетингу” в порівнянні з іншими видами реклами.
В табл.2.8 наведені підсумкові результати проведеного аналізу, в результаті якого рекомендується для РА ТОВ „Україна-Арт” шлях розвитку персональної Інтернет-директ-реклами, оскільки:
- фінансове становище РА ТОВ „Україна-Арт” не дозволяє витратити кошти на створення „території брендінгу”, для чого потрібно різко нарощувати власний капітал і вкладати його в спеціалізовані основні фонди;
- створення підрозділу Інтернет – агентства можливо поступово, витрачаючи кредитні кошти на зворотній основі, оскільки функціональні можливості Інтернет –агентства є надзвичайно широкі, що дає можливості ефективного комерційного використання створених комунікаційних каналів та персоналізованих технологій в різних напрямках окрім реклами;
Таблиця 2.9 Результати аналізу ефективності альтернативних рішень
| Зміст рішення | Результат впровадження рішення | Переваги для ТОВ „Україна – Арт” | Недоліки для ТОВ „Україна –Арт” |
| 1. Розвиток шляхом рекламної технології „Брендінгу” | Можливість виконання заказів великих фірм, які прийняли напрямок створення бренду своєї марки | Досвід роботи в області наружної реклами, друкованої реклами різних стилів | Відсутність власних коштів для побудови „території брендінгу” |
| 2. Розвиток шляхом персоналізованої Інтернет – директ-реклами | 1. Завоювання нового сегменту ринку рекламної продукції в Україні (тимчасово „вільна ніша”) 2. Створення системи ефективної економічної оцінки персоналізованої рекламної компанії | 1.Самоокупність про-екту, який виконується за кредитні кошти, та перспектива ритміч-ного надходження коштів від створенної стійкої клієнтури 2. Створення перспек-тивної технології роз-повсюдження реклами за кордоном з використанням можливостей мережі Інтернет | Відсутність досвіду в області „електронної реклами” в Інтернет |
Висновки по напрямкам розвитку РА ТОВ „Україна-АРТ”
На основі результатів аналізу (табл.2.9), в дипломному проекті запропонована розробка технології та обґрунтування прибутковості та доцільності створення на базі РА ТОВ “Україна-АРТ” першого аналогічного Інтернет-агентства реклами по Україні. При впровадженні проекту РА ТОВ „Україна-АРТ” отримує не тільки новий інструмент рекламних компаній, а становиться медіа-центром продажу рекламних послуг не тільки прямим споживачам, але і для інших рекламних компаній, які підуть на співробітництво на клієнтських умовах.
Цілями пропонуємого інноваційного проекту “Інтернет – технологія надан-ня рекламних послуг ТОВ “Україна-АРТ”” - є створення прикладного програмного продукту, телекомунікаційного та прикладного Інтернет-серверів, шлюзів та внутрішніх Інтранет-серверів в рекламному агентстві “Україна-АРТ” для надання можливості:
-
використання розвитку Інтернет – мережі телекомунікаційного спілкування для створення нової технології надання рекламних послуг віддаленим клієнтам, яка на базі взаємодії комп'ютерних програм дозволять готувати, перевіряти, подавати рекламні замовлення в реальному режимі взаємодії з серверами рекламного агентства із офісу клієнта –замовника реклами;
-
отримувати клієнтам довідкову інформацію про хід та ефективність рекламної компанії та інформацію про стан і своєчасність розрахунків його фірми з рекламним агентством з офісу;
-
в автоматичному режимі мати самі останні версії програм та форм діалогових програм створення та дизайну рекламних оголошень, які клієнт бажає створити самостійно при наявності в офісі тільки стандартної програми – редактора Інтернет , все програмне забезпечення та його актуалізація проводиться на сервері рекламного агентства розробниками центру телекомунікаційної технології реклами (ЦТТР) ТОВ “Україна-АРТ”;
-
не втрачати час на відвідування рекламного агентства в стандартних рекламних кампаніях;
-
створення високоприбуткового посередницького бізнесу основаного на наданні консультативної підтримки зареєстрованих клієнтів в області існуючих та перспективних видів Інтернет-реклами, оперативний заказ та макетування клієнтом зовнішніх видів реклами, надання можливості просмотра на сайті ЦТТР ТОВ “Україна-АРТ” результатів дизайну виконаних рекламних замовлень;
3. ШЛЯХИ ПІДВИЩЕННЯ ЕФЕКТИВНОСТІ РОБОТИ СЛУЖБИ МАРКЕТИНГУ РЕКЛАМНОГО АГЕНТСТВА ТОВ “УКРАЇНА – АРТ”
3.1 Проект створення підрозділу Інтернет-реклами в службі маркетингу ТОВ “Україна-АРТ”
Для того, щоб зробити рекламу в Інтернету ефективною необхідно відповісти на основне питання - що Ви хочете одержати від рекламної кампанії, якого результату чекаєте.
Тільки так можна поставити мету і визначити основні пріоритети (або це рекламна кампанія, спрямована на просування бренда, тобто потрібна широка іміджева кампанія, або ж це тематична рекламна кампанія, або вузькоспеціалізована реклама в мережі, спрямована на залучення визначеної групи Ваших потенційних клієнтів).
У залежності від поставлених цілей і пріоритетів підбираються сайти, на яких буде вироблятися розміщення реклами, оптимальні види рекламного розміщення (баннери, текстові блоки й ін.), розробляються рекламні матеріали і визначається бюджет рекламної кампанії.
В дипломногму проекті виконана розробка та обґрунтування поцільності створення на базі РА ТОВ “Україна-АРТ” Інтернет-агентства реклами по Україні.
а) Загальна характеристика та основні параметри проекту
1. Назва проекту - Мультимедійний проект “Інтернет – технологія надання рекламних послуг ТОВ “Україна-АРТ””
2. Сутність проекту
Цілями інноваційного проекту “Інтернет – технологія надання рекламних послуг ТОВ “Україна-АРТ” є створення прикладного програмного продукту, телекомунікаційного та прикладного Інтернет-серверів, шлюзів та внутрішніх Інтранет-серверів в рекламному агентстві “Україна-АРТ” для надання можливості:
-
використання розвитку Інтернет – мережі телекомунікаційного спілкування для створення нової технології надання рекламних послуг віддаленим клієнтам, яка на базі взаємодії комп'ютерних програм дозволять готувати, перевіряти, подавати рекламні замовленняь в реальному режимі взаємодії з серверами рекламного агентства із офісу платника податків;
-
отримувати клієнтам довідкову інформацію про хід та ефективність рекламної компанії та інформацію про стан і своєчасність розрахунків його фірми з рекламним агентством з офісу;
-
в автоматичному режимі мати самі останні версії програм та форм діалогових програм створення та дизайну рекламних оголошень, які клієнт бажає створити самостійно при наявності в офісі тільки стандартної програми – редактора Інтернет , все програмне забезпечення та його актуалізація проводиться на сервері рекламного агентства розробниками центру телекомунікаційної технології реклами (ЦТТР)ТОВ “Україна-АРТ”;
-
не втрачати час на відвідування рекламного агентства в стандартних рекламних кампаніях;
-
створення високоприбуткового посередницького бізнесу основаного на наданні консультативної підтримки зареєстрованих клієнтів в області існуючих та перспективних видів Інтернет-реклами, оперативний заказ та макетування клієнтом зовнішніх видів реклами, надання можливості просмотра на сайті ЦТТР ТОВ “Україна-АРТ” результатів дизайну виконаних рекламних замовлень;
3. Стислий зміст проекту
Головною економічною фабулою стратегії інноваційного проекту є наступне:
-
створення програмно-телекомунікаційного центру проводиться за рахунок інвестування коштів на зворотній основі ;
-
повернення інвестованих коштів та фінансування існування центру забезпечується невеликою щомісячною абонентною платою - сумою внеску (15,5 $ - 80 грн./місяць) кожним учасником телекомунікаційної системи Інтернет-реклами, що за рахунок новітніх телекомунікаційних технологій дозволяє колективу з 10 –12 працівників обслуговувати до 15000 клієнтів по Україні одночасно;
4. Подія, яка свідчить про закінчення проекту, кінцевий продукт:
-
впровадження центру транзит - прийому Інтернет/Інтранет заказів на діалоговий сервер (front-server) в ТОВ “Україна-АРТ”;
-
впровадження центру обробки заказів на аналітичному сервері (back-up server) в ТОВ “Україна-АРТ”;
5. Час виконання проекту – 9 місяців
6. Бюджет проекту – 590 000 $ (3 млн.грн.)
7. Характеристика сторін, які беруть участь у проекті :
-
заказчик – створюванний ЦТТР ТОВ “Україна-АРТ”.
-
виконавець - приватне підприємство “Інформаційні та технологічні системи” , ідентифікаційний код 20275845.
Юридична адреса: 320005, м. Дніпропетровськ, вул. Сімферопольська, 2а
Фактичні види діяльності :
-
проектування , монтаж та впровадження комп'ютерних мереж та активного комп'ютерного обладнання;
-
проектування серверів та робочих станцій комп'ютерних мереж, поставка, впровадження системного програмного забезпечення та пусконалагоджувальні роботи;
-
проектування та програмна розробка Інтернет - серверів, WWW-сторінок;
-
проектування та розробка програмних продуктів WEB- технологій телекомунікаційних Інтернет - сайтів.
Процентна доля комп'ютерно-телекомунікаційного обладнання та програмного забезпечення в основних фондах – 75 %.
б) Передінвестиційна фаза проекту – бізнес-план проекту та оцінка інвестиційної привабливості
Економічне обґрунтування обраної інноваційної стратегії або Бізнес-план інноваційного проекту – це план розвитку нового підрозділу ЦТТР ТОВ “Україна-АРТ”, необхідного для освоєння нових сфер діяльності фірми. Основними цілями бізнес-плану є :
-
визначення ступеня життєздатності і майбутньої стійкості нового центру, зниження ризику підприємницької діяльності;
-
конкретизація перспектив бізнесу;
-
залучення уваги й інтересу потенційних інвесторів фірми, а також споживачів і постачальників;
Бізнес-план складається, якщо підприємство має недолік власних фінансових ресурсів для виконання того чи іншого проекту, і це змушує його звертатися до інвесторів чи у банк за кредитом. Якість, обґрунтованість, переконливість матеріалів і розрахунків, що містяться в бізнес-плані, мають першочергове значення для рішення питання про джерела фінансування.
Головним інструментом розробки бізнес-плану є кошторисне планування. Кошторис – це форма планового розрахунку, що визначає докладну програму дій підприємства на майбутній період і включає розрахунок обсягів витрат і потреби в ресурсах шляхом множення норм витрати ресурсів на планований обсяг еконо-мічного показника (продаж, випуск продукції, обсяг послуг і т.п.).
План доходів і витрат складається на основі кошторисів продажів і кошторисів витрат.
У Додатку Е наведені матеріали кошторисних розрахунків бізнес-плану ТОВ “Україна-АРТ” зі створення комп'ютерного центру ЦТТР по забезпеченню приймання та передачі заказів та діалоговому макетуванню рекламних проект-заказів клієнтами по мережі Інтернет .
Розраховані кошториси витрат та планових доходів, планова ціна за послуги центра, як посередника розрахована як функція кількості клієнтів, що приймають участь у проекті.
Змістовний опис вхідних умов інноваційного проекту
1. Інвестиції в інноваційний проект та умови їх оплати:
1.1 Отриманий довгостроковий кредит у комерційному банку на 5 років на суму 680 000 доларів США (3,434 млн.грн.) під 20 % щорічних.
Повернення валютного кредиту рівними долями з кінця 3-го року, сплата процентів (в валюті) – щорічно;
-
Випущені та куплені облігації на суму 1 000 000 грн. ( 25 % від статутного фонду) з купонним доходом по 25 % щорічних, починаючи з кінця другого року, та викупом облігацій наприкінці 5 року;
1.3 Власнику повинні бути виплачені дивіденди з прибутку від інноваційного проекту у розмірах - за 4 рік впровадження 1 000 000 грн., за 5 рік впровадження – 2 000 000 грн., як компенсація за авансові витрати у 2003-2004 р. на розробку дослідної системи у сумі 1 200 000 грн.;
1.4 Розрахункова девальвація національної валюти відносно долара США становить 0,25 % на рік (втрати від обмінного курсу при поверненні кредиту).
2. Планові обсяги реалізації (кількість клієнтів, які приймають участь у експлуатації системи та оплачують абонентні послуги):
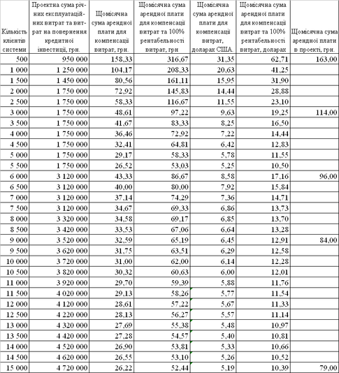
Таблиця 3.1 Показники планових обсягів реалізації послуг проекту
| Рік експлуатації | Середня кількість платників | Ціна участі в проекті | Сума в грн. / місяць | Річний обсяг абонентської плати, грн. |
| 1 рік | 500 | 32,2 $ / місяць | 163,0 | 977 850 |
| 2 рік | 3 000 | 22,5 $ / місяць | 114,0 | 4 106 970 |
| 3 рік | 6 000 | 18,8 $ / місяць | 96,0 | 6 899 710 |
| 4 рік | 9 000 | 16,4 $ / місяць | 84,0 | 9 055 869 |
| 5 рік | 15 000 | 15,5 $ / місяць | 79,0 | 14 262 993 |
При плануванні обсягів продаж та цін враховувались результати фінансового етапу розрахунків (Додаток Е) та додаткового маркетингового етапу опросу попиту, при якому прийнято рішення про закладення в проект мінімально можливих цін абонентської плати, які будуть привабливі для користувачів.
3. Витрати (згідно кошторисним розрахункам бізнес-проекту):
Таблиця 3.2 Планові витрати проекту ЦТТР ТОВ “Україна-АРТ”
| Капітальні витрати на початку інноваційного проекту(0 рік) | Щорічні експлуатаційні витрати | ||||
| № | Назва витрат | Сума, грн | № | Назва витрат | Сума, грн |
| 1. | Купівля офісу та ремонт | 257 550 | 1. | Щорічна абонплата за телекомунікації | 381 477 |
| 2. | Кондиціонери | 18 180 | 2. | Щорічні витратні матеріали | 4 040 |
| 3. | Офісні меблі | 14 140 | 3. | Зарплата з подат-ками та зборами | 695 688 |
| 4. | Комп'ютерне обладнання | 860 146 | 4. | Утримання офісу | 42 420 |
| 5. | Телекомуніка-ційне облад-ня | 347 945 | 5. | Абонплата за канал Інтернет | 303 000 |
| 6. | Монтаж комп' ютерної мережі | 36 845 | 6. | Експлуатаційні витрати | 121 200 |
| 7. | Ліцензійне ПО (НМА) | 166 054 | |||
| 8. | Прикладне ПО | 1 242 300 | |||
| Разом капітальних витрат | 2 943 160 (582800$) | Разом щорічних витрат експлуатації | 1 547 825 (306 500 $) | ||
4. Норма доходу на інвестований капітал становить 25 % річних ( 14,0 % - альтернативна ставка доходів інвестований коштів в банківський депозит + 11,0 % купівельна девальвація національної валюти згідно ставки інфляції 2006 року за данними Держкомстата – 11,6% [69] та прогнозів МВФ та Світового банку на 2007 рік – 10,9% - 11,3% [27]).
5. Додаткові умови :
5.1 Тривалість життєвого циклу інноваційного проекту – 5 років ;
5.2 Амортизація обчислюється рівними частками протягом терміну служби(щорічними порціями) [3];
3.2 Аналіз інвестиційної привабливості та фінансової ефективності впровадження мультимедійного проекту “Інтернет-реклама” в ТОВ “Україна-АРТ”
Результати розрахунків з інвесторами інноваційного проекту наведені в табл.3.3 – “Результати інвестиційної діяльності”, в якій занесені результати інвестиційних потоків на підприємство (із знаком “–“), та результати повернення інвестицій на протязі 5 років .
Таблиця 3.3 Результати інвестицій в інноваційний проект ЦТТР ТОВ «Україна-АРТ»
| № | Значення показників на t - кроку діяльності, грн. | |||||||
| п/п | Показники | 0 рік | 1 рік | 2 рік | 3 рік | 4 рік | 5 рік | Сума |
| 1 | Земля | 0 | 0 | 0 | 0 | 0 | 0 | 0 |
| 2 | Будинки, споруди | -270 300 | 0 | 0 | 0 | 0 | 0 | 0 |
| 3 | Обладнання | -1 557 787 | 0 | 0 | 0 | 0 | 0 | 0 |
| 4 | Нематеріальні активи | -1 478 075 | 0 | 0 | 0 | 0 | 0 | 0 |
| 5 | Разом: вкладення в основний капітал(кредит) | -3 306 161 | 0 | 0 | 1 390 694 | 1 460 228 | 1 533 240 | 0 |
| 6 | Приріст власного оборотного капіталу за рахунок облігацій(-) | -1 000 000 | 0 | 0 | 0 | 0 | 1 000 000 | 0 |
| 7 | Приріст власного оборотного капіталу за рахунок кредиту(-) | -297 839 | 0 | 0 | 0 | 0 | 0 | 0 |
| 8 | Усього інвестицій ( "-" - вкладено, " +" - повер- нуто інвесторам) | -4 604 000 | 0 | 0 | 0 | 0 | 0 | 5 384 161 (+ курсова різниця) |
| 9 | Дивідендні доходи акціонерам за авансові витрати на іннов. проект ( 1 200 000 грн.) | 0 | 0 | 0 | 0 | 1 000 000 | 2 000 000 | 3 000 000 |
Таблиця 3.4 Результати розрахунків амортизації в інноваційному проекті "Україна-АРТ"
| Показники | Сума | Річ. % | Розрахункові суми амортизації, грн. | ||||
| грн. | Аморт. | 1 рік | 2 рік | 3 рік | 4 рік | 5 рік | |
| Інвестиції в ОФ та НМА, | 3 306 161 | 698 577 | 600 539 | 526 876 | 471 500 | 429 846 | |
| Група 1 | 270 300 | 5 | 13 515 | 12 839 | 12 197 | 11 587 | 11 008 |
| Група 2 | 1 557 787 | 25 | 389 447 | 292 085 | 219 064 | 164 298 | 123 223 |
| Група НМА | 1 478 075 | 20 | 295 615 | 295 615 | 295 615 | 295 615 | 295 615 |
В табл. 3.5 приведені результати розрахунку операційної діяльності підприємства на основі вхідних даних та Закону України “Про оподаткування прибутку підприємств” у розділі віднесення до валових затрат [5]:
-
сум виплачених процентів за кредити та процентний дохід по облігаціях (вихідний грошовий потік);
Таблиця 3.5 Результати операційної діяльності проекту ЦТТР “Україна-АРТ”
| № | Показники | Значення показників на t - кроку діяльності | ||||||||
| п/п | 0 рік | 1 рік | 2 рік | 3 рік | 4 рік | 5 рік | Сума 5 років | |||
| Розрахунок валового доходу( курс валюти на 0 рік = 5,05 грн./ 1 $) | ||||||||||
| Курс валюти, грн./ 1 $ | 5,05 | 5,06 | 5,08 | 5,09 | 5,10 | 5,11 | ||||
| 1 | Обсяг продажу, один. | 500 | 3000 | 6000 | 9000 | 15000 | 0 | |||
| 2 | Ціна продажу(без ПДВ) грн./один.(в місяць) | 162,98 | 114,08 | 95,83 | 83,85 | 79,24 | 0 | |||
| 3 | Виручка от продажу, грн.(за 12 місяців) | 977850 | 4106970 | 6899710 | 9055868,9 | 14262993 | 0 | |||
| Розрахунок валових витрат ( для оподаткування) | ||||||||||
| 5 | Виробничі валові витрати, грн. | -1665045 | -1748297 | -1835712 | -1927498 | -2023873 | 0 | |||
| 6 | Проценти по облігаціях, грн. | 0 | -250000 | -250000 | -250000 | -250000 | 0 | |||
| 8 | Амортизація ОФ та НМА, грн. | -698577 | -600539 | -526876 | -471500,1 | -429846 | 0 | |||
| 9 | Відсотки по кредитах ,грн. | -756840 | -794682 | -834416 | -584091,3 | -306648 | 0 | |||
| Розрахунок балансового прибутку для оподаткування | ||||||||||
| 10 | Балансовий прибуток, грн. | -2142612 | 713451,6 | 3452705 | 5822779,8 | 11252627 | 19098952 | |||
| 11 | Податки (25%) на прибуток, грн. | 0 | -214035 | -1035812 | -1746834 | -3375788 | -6372469,1 | |||
| 12 | Проектований чистий прибуток(для нарахування дивідендів), грн. | -2142612 | 499416,1 | 2416894 | 4075945,8 | 7876839 | 12726483 | |||
| Розрахунок чистого операційного доходу ( + фонд амортизації) | ||||||||||
| 13 | Чистий доход від опе-рацій (чистий прибу-ток + амортизація),грн. | -1444035 | 1099955 | 2943770 | 4547446 | 8306685 | 15453821,1 | |||
За результатами розрахунків інвестиційної та операційної діяльностей підприємства (табл. 3.3 – 3.5) розраховуємо результати фінансової діяльності підприємства та грошові потоки.
Таблиця 3.6 Результати фінансової діяльності проекту ЦТТР “Україна-АРТ"
| № | Значення показників на t - кроку діяльності | ||||||||
| п/п | Показники | 0 рік | 1 рік | 2 рік | 3 рік | 4 рік | 5 рік | ||
| Розрахунки динаміки капіталізованого власного капіталу | |||||||||
| 1 | Інвестиції оборотного капіталу, грн. | 1297839 | 0 | 0 | 0 | 0 | 0 | ||
| 2 | Прибуток до капіталізації, грн. | 0 | -2142612 | 499416 | 2416894 | 4075946 | 7876839 | ||
| 3 | Виплата дивідендів, грн. | 0 | 0 | 0 | 0 | -1000000 | -2000000 | ||
| 4 | Власний капітал з капіталізацією прибутку, грн. | 1297839 | -844773 | -345357 | 2071537 | 5147483 | 11024322 | ||
| Розрахунки динаміки запозичення та амортизаційного повернення коштів | |||||||||
| 6 | Довгострокові кредити+облігац, грн. | 4604000 | 0 | 0 | 0 | 0 | 0 | ||
| 7 | Амортизація, грн. | 0 | 698577 | 600539 | 526876 | 471500 | 429846 | ||
| 8 | Погашення заборгова-ності по кредитах, грн. | 0 | 0 | 0 | -1390694 | -1460228 | -2533240 | ||
| Результати фінансової діяльності | |||||||||
| 10 | Потік реальних грошей, грн. | 1297839 | -1444035 | 1099955 | 1553076 | 2087218 | 3773445 | ||
| 11 | Сальдо потоку реальних грошей, грн. | 0 | -146196 | 953759 | 2506835 | 4594053 | 8367499 | ||
| 12 | Сальдо накопичених реальних грошей, грн. | 0 | -1444035 | -344080 | 1208997 | 3296214 | 8367499 | ||
При розрахунках показників табл. 3.6 прийнята методологія [60]:
1) Потік реальних грошей за кожний рік (п.10) розраховується як різниця сум чистого прибутку (п.2) – сум виплачених дивідендів акціонерам (п.3), та враховуючи, що виплата повернення кредиту(п.8) виконується за рахунок фонду амортизації (п.7) та, частково, чистого прибутку.
2) Сальдо реальних грошей (п.11) розраховується як початковий інвестований оборотний капітал + потік реальних грошей (п.10) – приведено наростаючою сумою.
3) Сальдо накопичених реальних грошей (п.12) розраховується як сума накопиченого реального потоку грошей (п.10) – приведено наростаючою сумою.
Ефективність проекту характеризується низкою показників, що відбивають співвідношення витрат і результатів з огляду на інтереси сторін - учасників.
Показники оцінки ефективності інвестиційного проекту щодо ефективності [47], [60], [65]:
-
комерційної (фінансової) – враховують фінансові наслідки реалізації проекту для його безпосередніх учасників;
-
бюджетної – враховують і відбивають фінансові наслідки проекту для державного, регіонального або місцевого бюджету;
-
економічної – враховують витрати і результати, пов’язані з реалізацією проекту; виходять за межі прямих фінансових інтересів безпосередніх учасників інвестиційного проекту і допускають вартісний вимір.
Порівняння різноманітних інвестиційних проектів (або варіантів того самого проекту) і вибір кращого з них проводять з урахуванням таких показників [36], [37]:
-
чистий дисконтований доход (ЧДД) та інтегральний ефект;
-
індекс доходності (ІД);
-
внутрішня норма доходності (ВНД);
-
строк окупності (СО);
В табл. 3.7 наведені результати розрахунку фінансових показників проекту для прийнятих умов бізнес-плану. В табл. 3.8 – 3.9 наведені розрахунки послідовними приближеннями значення ВНД – внутрішньої норми доходності, тобто такого значення % виплати дивідендів акціонерам від чистого прибутку, яка дозволяє вирівняти дисконтовані інвестиції та чистий дисконтований доход підприємства, тобто ВНД – досягнута фактична рентабельність капіталу.
Таблиця 3.7 Показники ефективності інноваційного проекту ЦТТР ТОВ “Україна-АРТ” ( прямий розрахунок за вхідними даними)
| № | Значення показників на t - кроку діяльності | Сума | ||||||
| п/п | Показники | 1 рік | 2 рік | 3 рік | 4 рік | 5 рік | 5 років | |
| 1. | Ефект від інвестиційної діяльності(капітальні витрати) (табл.3.6 п.6, п.8) | -4 604 000 | 0 | 1 390 694 | 1 460 228 | 2 533 240 | 780 161 | |
| 2. | Ефект від операційної діяльності (табл.3.5 п.13) | -1 444 035 | 1 099 955 | 2 943 770 | 4 547 446 | 8 306 685 | 15 453 821 | |
| 3. | Потік реальних грошей (табл.3.6 п.10) | -146 196 | 1 099 955 | 1 553 076 | 2 087 218 | 3 773 445 | 8 367 499 | |
| 4. | Чистий прибуток (табл.3.6 п.2) | -2 142 612 | 499 416 | 2 416 894 | 4 075 946 | 7 876 839 | 12 726 483 | |
| 5. | Значення комплекса ( 1+d)t = D при коефіцієн-ті дисконтування d= 25% | 0,80 | 0,64 | 0,51 | 0,41 | 0,33 | ||
| 6. | Дисконтований потік реальних грошей (п.3/D) | -146 196 | 703 971 | 795 175 | 854 924 | 1 236 483 | 3 444 357 | |
| 7. | Дисконтований потік чистого прибутку (п.4/D) | -2 142 612 | 319 626 | 1 237 450 | 1 669 507 | 2 581 082 | 3 665 054 | |
| 8. | Дисконтовані капітальні витрати (п.1/D) | -4 604 000 | 0 | 712 035 | 598 109 | 830 092 | -2 463 764 | |
| 9. | Дисконтований доход від операційної діяльності (п.2/D) | -1 444 035 | 703 971 | 1 507 210 | 1 862 634 | 2 721 935 | 5 351 715 | |
Таблиця 3.8 Результати розрахунків коефіцієнтів дисконтованої ефективності проекту
| Результати розрахунків коефіцієнтів ефективності за даними табл. 3.7 | Значення | Розмірність | ||
| 1 | ЧДД =(сума пункт 9) – (сума пунктів 8) | Чистий дисконтований дохід | 2 887 951,47 | грн. |
| 2 | ДКЕІ = (сума п.7)/ (суму п.8) *100 | Дисконтований коеф-т ефективності інвестицій | 148,76 | % |
| 3 | ДСО = (сума п.8)/(сума п.9/5) | Дисконтований строк окупності інвестицій | 2,30 | Років |
| 4 | ІДД = (сума пункт 9)/ (суму п.8) | Індекс дисконтованої доходності | 2,17 | |
| 5 | NPV = (сума пункт 6) | Сумарний дисконтований потік грошей за 5 років | 3 444 357,31 | грн. |
| 6 | ВНД =(приближення № 0) | Норма дисконту в розрахунках | 25 | % |
Далі застосовують формулу розрахунку точного значення ВНД за найближ-чими приближеннями (мінімум абсолютного значення ЧДД):
де r1 - значення табульованого коефіцієнта дисконтування, при якому f(r1)>0 (f(r1)<0)); r2 - значення табульованого коефіцієнта дисконтування, при якому f(r2)0)).
Як видно із аналізу результатів розрахунків (дисконтована норма доходу на інвестований капітал – 25 %) для алгоритмів прийняття проектного рішення - [25], [28], [21], [19]:
Аналіз результатів розрахунків фінансової ефективності запропонованого проекту освоєння нового сектору рекламної діяльності – “електронна реклама в мережі Інтернет” показав, що очікуємі показники проекта з початковою кредитною інвестицією 4,6 млн.грн. і її поступовим поверненням, починаючи з 3-го року експлуатації проекту, є наступними:
-
Сумарний NPV-потік дисконтованих грошей від інноваційного проекту = + 3 444 357 грн. ;
-
Приведений чистий дисконтований дохід ЧДД ( мінус дисконтована сума інвестиції) = 2 887 951 грн. ( > 0);
-
Дисконтований коефіцієнт ефективності інвестицій КЕІ = 148,76 % (більше 100%, тобто прибутковість вкладеної інвестиції, окрім повернення суми інвестиції, становить + 48,76%);
-
Дисконтований строк окупності затрат СО = 2,30 роки (менше життєвого циклу інноваційного проекту – 5 років);
-
Внутрішня норма доходності ВНД = 54, 638 % ( що значно вище норми дисконту 25% = банківського депозитного проценту 14% + 11% споживчої інфляції національної валюти);
Таким чином інноваційний проект ТОВ “Україна-АРТ” для вхідних умов бізнес-проекту – є фінансово ефективним, одночасно альтернативно ефективним у порівнянні з вкладенням інвестицій під банківську норму проценту та повинен бути прийнятим.
В результаті впровадження рекомендованих змін в РА ТОВ „Україна-АРТ” очікується:
- підвищення рівня прибутковості, платоспроможності та конкурентоспроможності рекламного агентства;
- зростання професіоналізму його працівників;
- нормалізація психологічного клімату за рахунок появи довгострокової перспективи діяльності фірми;
- підвищення продуктивності праці за рахунок співпадання професійних обов’язків та особистих інтересів професійного росту працівників в області комп’ютерних технологій.
ВИСНОВКИ ТА ПРОПОЗИЦІЇ
Досліджене в дипломному проекті підприємство - рекламне агентство ТОВ «Україна-АРТ» працює на рекламному ринку України з 1997 року.
Товариство є юридичною особою за законодавством України – підприємством з іноземними інвестиціями у формі товариства з обмеженою відповідальністю, створеним юридичними особами за законодавством України, Сполученого Королівства Великобританії, Північної Ірландії та Острову Мен.
Пріоритетною діяльністю компанії є розробка і впровадження ефективних технологій у транзитній рекламі і рекламі на транспорті. А саме:
- у системі «Укрзалізниці»;
- на зовнішніх конструкціях, на вокзалах найбільших міст України;
- у метрополітені рр. Києва, Харкова, Дніпропетровська;
- в автобусах міжміського і міжнародного сполучення;
- в аеропортах;
- на кораблях.
РА ТОВ «Україна-АРТ» здійснює комплексний супровід клієнтів – Full Service (розробка стратегії рекламної кампанії, комплексне проведення рекламних кампаній, стратегічний розподіл бюджету по основних засобах реклами).
Офіційний статус партнера провідних поліграфічних компаній - виробників широкоформатної друкованої продукції, дозволяє у найкоротший термін робити повний спектр якісних поліграфічних послуг будь-якого рівня складності на сучасних матеріалах. Виробнича база підприємства дає можливість виготовлення різних рекламних конструкцій для зовнішньої і зовнішньої реклами.
Згідно з завданнями дослідження ефективності рекламної роботи відділу маркетингу підприємства - рекламного агентства ТОВ «Україна-АРТ» в дипломна робота викладена в 3 розділах, основні результати яких наведені нижче.
1. В Розділі 1 відображені результати проведеного аналізу існуючого механізму та інструментарію роботи служби маркетингу підприємства.
Показано, що функції відділу маркетингу підприємства являють собою сукупність видів діяльності, що включають:
- аналіз внутрішнього і зовнішнього середовища, у якому діє підприємство;
- аналіз ринків, споживачів, конкурентів і конкуренції;
- вивчення товарів і формування концепції нових товарів;
- планування виробництва, товароруху, збуту і сервісу;
- формування попиту і стимулювання збуту;
- формування і здійснення цінової політики;
- розробку і реалізацію маркетингових програм;
- інформаційне забезпечення маркетингу;
- керування маркетингом як організації послідовного чи одночасного (маркетинг-мікс) виконання функцій.
Маркетингові комунікації утворяють складну ієрархічну систему, у якій підлеглими по відношенню до генеральної мети маркетингу-забезпечення стійкого і прибуткового положення підприємства на ринку, виступають наступні цілі (ієрархічне «дерево цілей»):
-
мотивація споживача;
-
генерування, формування й актуалізація потреб споживача;
-
підтримка доброзичливих відносин і взаєморозуміння поміж організацією і громадськістю, партнерами по маркетинговій діяльності;
-
формування сприятливого образа(іміджу) організації;
-
інформування громадськості про діяльність організації;
-
надання інформації про товари, вироблені фірмою;
-
умовляння;
-
формування в покупця переваги до марки і переконаності в необхідності зробити покупку;
-
стимулювання акта покупки;
-
нагадування про фірму, її товарах і т.д.
Виділяють чотири основні засоби маркетингових комунікацій:
-
реклама;
-
комерційна пропаганда, робота з громадськістю (public relations);
-
стимулювання збуту;
-
особистий продаж ,
які утворяють взаємозалежний комплекс під терміном «комунікаційна суміш».
Функціональною відмінністю інструментів реклами від комунікаційних інструментів – «сейлз промоушн», «паблик рилейшнз» і «директ-маркетинга» полягає в наступному:
а) Реклама, як правило, створювана і публикуєма рекламним агентством, інформує про виробника або його товар, формує і підтримує їх образ (image) і оплачується рекламодавцем відповідно до тарифів на розміщення рекламних оголошень у засобах масової інформації.
б).Сейлз промоушн — діяльність по реалізації комерційних і творчих ідей, що стимулюють продажі виробів або послуг рекламодавця, нерідко в короткий термін. Довгострокова мета - формування в сприйнятті споживача більшої цінності фірмових товарів, замаркірованих визначеним товарним знаком; короткострокова - створення додаткової цінності товару для споживача (added value).
в). Паблик рилейшнз припускає використання редакційної частини засобів поширення масової інформації з метою здійснення престижної реклами, спрямованої на завоювання доброзичливого відношення до товарних сімейств або випускаючих їх фірм.
г). Директ-маркетинг — постійно підтримувані спрямовані комунікації з окремими споживачами або фірмами, що мають очевидні наміри купувати визначені товари. Діяльність в області директ-маркетинга, в основному, здійснюється шляхом прямого поштового розсилання реклами(direct mail) або через вузько спеціалізовані засоби поширення реклами.
2. В розділі 2 відображені результати проведеного аналізу рекламної діяльності та якості роботи служби маркетингу в рекламному агентстві ТОВ “Україна-АРТ” у 2004 –2006 роках.
Діяльність відділу маркетингу заснована на наступних ключових факторах забезпечення конкурентних переваг підприємства на ринку реклами:
а) Основні переваги розміщення реклами в автобусах:
-Диференціація цільової аудиторії за рівнем доходу, географічній і соціальній ознаці;
- Схильність Споживача до ознайомлення з інформацією в шляху;
- Тривалий контакт реклами зі споживачем;
- Обмежений вплив інших видів інформаційних носіїв.
Рекламна
Презентація б) Розміщення реклами на річковому і морському транспорті
-Основні переваги розміщення:
- Тривалість впливу реклами на споживача
- Обмеженість впливу інших видів інформаційних носіїв
- Прямий контакт зі Споживачем
- Велика кількість вторинних контактів з рекламою
- Схильність до сприйняття інформації
- Збільшення кількості контактів за рахунок візуальної приступності носія Київ) Реклама на залізниці і в метро
- Виділена за рівнем статку і вікові цільова аудиторія
- Широке охоплення населення і територій
- Наявність часу для сприйняття і схильність до ознайомлення в шляху
- Прямий контакт зі Споживачем, велика кількість вторинних контактів з рекламою
- Тривалість впливу реклами на споживача
- Можливість обговорення інформації в шляху проходження
- Обмеженість впливу інших видів інформаційних носіїв
Однією з нових спеціалізацій є надання BTL-услуг:
а) Консалтінг - розробка стратегії і тактики, комплексних BTL-кампаній в подтримку рекламних кампаний
б) Customer promotion
- Дегустації, роздачі образцов, демонстрації
- Конкурси, розіграші серед покупців
- Консультації в торгівельних точках
- Розповсюдження інформаційних матеріалів
в) Trade promotion
- Конкурси, розіграці
- Програми стимулювання
-
Мерчандайзинг
-
аудит торговых точек
г) Event marketing
- Конференції. Семінари, презентації
- Участь з окремою програмою у міських празниках
- Корпоративні празники
Налагоджений канал збуту FMCG в пасажирських потягах. Проводники потягів виконують розповсюдження рекламних матеріалів, а також продаж рекламируємої продукції. В вагонах-ресторанах можливе розташування P.O.S.M. алкогольних та табачних продуктів.
Загальний аналіз результів оцінки фінансово-господарської діяльності ТОВ “Україна-АРТ” у 2004 -2006 роках показав наступне :
- підприємство у 2006 році динамічно розвивається (статутний фонд - 39,8 тис.грн., прибуток діяльності = 123,7 тис.грн., сумарний власний капітал = 187,7 тис.грн., валюта балансу 454,4 тис.грн.) та поступово виходить з кризи 2004 -2005 років, коли збитки діяльності попередніх років перевищили статут-ний капітал і підприємство перейшло в стан банкрутства:
1) 2004 рік: статутний фонд – 39,8 тис.грн., збитки діяльності = (-80,0 тис.грн.), залишковий власний капітал = - 40,2 тис.грн., валюта балансу 38,2 тис.грн., тобто підприємство функціонує тільки за рахунок залучених коштів та комерційних кредитів (стан банкрутства);
2) 2005 рік: статутний фонд – 39,8 тис.грн., збитки діяльності = (-37,9 тис.грн.), залишковий власний капітал = 1,9 тис.грн., валюта балансу 38,2 тис.грн.);
- валові доходи підприємства поступово зростали з рівней 1214,3 тис.грн. (2004) та 2783,6 тис.грн.(2005 рік) до рівня 3115,6 тис.грн.(2006 рік)
- але собівартість діяльності становить до 97% від чистих валових доходів (1126,2 тис.грн.(2004), 2727,6 тис.грн.(2005), 3083,2 тис.грн.(2006)), тому рента-бельність продукції по чистому прибутку після оподаткування становить всього 1 – 4 %;
- рентабельність активів та власного капіталу в рекламному бізнесі ТОВ „Україна-АРТ” по валовим доходам у 2004 -2005 роках становить тисячі про-центів, що є неприроднім для будь–якої виробничої галузі та характеризує показники етапу банкрутства підприємства, рентабельність власного капіталу по чистому прибутку у 2006 році становить 12,08% при рентабельності активів по чистому прибутку 4,99%, що характеризує перехід підприємства до показників нормальної ефективності роботи фінансів;
- підприємство, досягнувши тільки у 2006 році рівень загальної ліквіднос-ті не нижче нормативів, практично у 2004 – 2006 роках не має строкової та мо-ментальної ліквідності, тобто живе “від заказу до заказу” і не має власних фі-нансових можливостей для фінансування інвестиційних вкладень у розвиток підприємства у ТОВ „Україна-АРТ”.
- підприємство не має довгострокового портфелю „заказів” та ритмічного надходження коштів від реалізації рекламних послуг;
Аналіз даних ресурсів підприємства ТОВ “Україна-АРТ”, показує зна-чення рівней фінансових показників, які не мають права на існування у діючого підприємства, тобто:
- рівень власного капіталу у 2004 році є негативною величиною (-40,2 тис.грн.), а у 2005 році становить практично “нульову” величину (1,9 тис.грн.), що згідно з нормативами законодавства повинно було привести до процедури обов’язкового банкрутства підприємств, оскільки згідно Цивільному Кодексу України, як підстава для обов'язкової ліквідації вказується випадок, коли вартість чистих активів ТОВ, АТ стає менше мінімального розміру статутного капіталу (ч. 4 ст. 144, ч. 3 ст. 155);
- відповідно, показник процентної частки залучених коштів у 2004 році становить 204,4%, оскільки сума залучених коштів перекриває негативний власний капітал та створює залишкову валюту балансу;
- показник процентної частки залучених коштів у 2005 році становить 94,0%, тобто підприємство продовжує жити тільки за рахунок залучених кош-тів;
Але при цьому підприємство ТОВ “Україна-АРТ” у 2004 –2005 роках успішно працює виключно за кошти заказчиків реклами і має обсяги реалізації рекламних послуг, які в 10-20 разів перевищують обсяги валюти балансу підприємства. Така абсурдність діяльності у 2005 році приводить до абсурдних рівней рентабельності власного капіталу (1,9 тис.грн.), при якому можна реалізувати послуги на 2,1 млн.грн. і платити заробітну плату працівникам підприємства.
Аналіз зовнішнього конкурентного середовища для продукції РА „Україна- Арт”, проведений методами спостереження та порівняння показав :
1. Сегмент рекламного ринку, на якому працює РА ТОВ „Україна-Арт”, має інтенсивну конкуренцію, тому для розвитку агентства необхідний пошук „вільних” ніш в інших сегментах рекламного ринку.
2. Основні проблеми розвитку рекламної діяльності РА ТОВ „Україна-Арт” знаходяться в площині :
- нових підходів замовників до ефективності використання реклами з точки зору комплексу маркетингу;
- вимог замовників по економічному обґрунтуванню поточного стану та досяжності аудиторії в кожній рекламній компанії (зворотній зв”язок маркетингових комунікацій);
Основна мета вирішення сформульованих при діагностиці генеральних проблем у внутрішньому та зовнішньому середовищах полягає у:
- досягненні фінансової стійкості РА ТОВ „Україна-Арт” за рахунок організації ритмічного надходження коштів за надані рекламні послуги;
- формуванні стійкої клієнтури, включаючи інші рекламні агентства, та довгострокового „портфелю заказів”;
- формуванні нових видів персоналізованих рекламних послуг зі зворотнім зв”язком;
Для вирішення проблем РА ТОВ „Україна-Арт” в дипломному проекті були проаналізовані 2 альтернативних стратегічних напрямки перспективних технологій рекламної діяльності на сучасному етапі:
- Тотальний натиск на споживача за допомогою брендінга – високо-ефективної технології завоювання й утримання споживача на обмеженій території (область, країна);
- Нова технологія Інтернет-„директ-маркетингу” з використанням техно- логічного механізму персональної “електронної” Інтернет – реклами з всесвітним охватом аудиторії (навіть з подоланням мовного бар”єру);
Підсумкові результати проведеного аналізу показали, щодля РА ТОВ „Україна-Арт” найбільш доцільним є шлях розвитку персональної Інтернет-директ-реклами, оскільки:
- фінансове становище РА ТОВ „Україна-Арт” не дозволяє витратити кошти на створення „території брендінгу”, для чого потрібно різко нарощувати власний капітал і вкладати його в спеціалізовані основні фонди;
- створення підрозділу Інтернет – агентства можливо поступово, витрача-ючи кредитні кошти на зворотній основі, оскільки функціональні можливості Інтернет –агентства є надзвичайно широкі, що дає можливості ефективного комерційного використання створених комунікаційних каналів та персоналі-зованих технологій в різних напрямках окрім реклами;
3. В Розділі 3 відображені результати проведеної розробка всіх стадій проекту - формулювання, оцінка інвестиційної привабливості і можливості організації фінансування та впровадження нового виду роботи служби маркетингу – надання рекламних послуг для агентства – „електронна реклама в Інтернеті”;
На основі результатів аналізу в дипломному проекті для удосконалення діяльності відділу маркетингу запропонована розробка технології та обґрунтування прибутковості і доцільності створення на базі РА ТОВ “Україна-АРТ” Інтернет-агентства реклами по Україні. При впровадженні проекту РА ТОВ „Україна-АРТ” отримує не тільки новий інструмент рекламних компаній, а становиться медіа-центром продажу рекламних послуг не тільки прямим споживачам, але і для інших рекламних компаній, які підуть на співробітництво на клієнтських умовах.
Цілями пропонуємого інноваційного проекту “Інтернет – технологія на-дання рекламних послуг ТОВ “Україна-АРТ”” - є створення прикладного прог-рамного продукту, телекомунікаційного та прикладного Інтернет-серверів, шлюзів та внутрішніх Інтранет-серверів в рекламному агентстві “Україна-АРТ” для надання можливості:
-
використання розвитку Інтернет – мережі телекомунікаційного спілкування для створення нової технології надання рекламних послуг віддаленим клієнтам, яка на базі взаємодії комп'ютерних програм дозволять готувати, перевіряти, подавати рекламні замовлення в реальному режимі взаємодії з серверами рекламного агентства із офісу клієнта –замовника реклами;
-
отримувати клієнтам довідкову інформацію про хід та ефективність рекламної компанії та інформацію про стан і своєчасність розрахунків його фірми з рекламним агентством з офісу;
-
в автоматичному режимі мати самі останні версії програм та форм діа-логових програм створення та дизайну рекламних оголошень, які клієнт бажає створити самостійно при наявності в офісі тільки стандартної програми – редактора Інтернет, все програмне забезпечення та його актуалізація проводиться на сервері рекламного агентства розробниками центру телекомунікаційної технології реклами (ЦТТР) ТОВ “Україна-АРТ”;
-
не втрачати час на відвідування рекламного агентства в стандартних рекламних кампаніях;
-
створення високоприбуткового посередницького бізнесу основаного на наданні консультативної підтримки зареєстрованих клієнтів в області існуючих та перспективних видів Інтернет-реклами, оперативний заказ та макетування клієнтом зовнішніх видів реклами, надання можливості просмотра на сайті ЦТТР ТОВ “Україна-АРТ” результатів дизайну виконаних рекламних замовлень;
Аналіз результатів розрахунків фінансової ефективності запропонованого проекту освоєння нового сектору рекламної діяльності – “електронна реклама в мережі Інтернет” показав, що очікуємі показники проекта з початковою кредитною інвестицією 4,6 млн.грн. і її поступовим поверненням, починаючи з 3-го року експлуатації проекту, є наступними:
-
Сумарний NPV-потік дисконтованих грошей від інноваційного проекту = + 3 444 357 грн. ;
-
Приведений чистий дисконтований дохід ЧДД ( мінус дисконтована сума інвестиції) = 2 887 951 грн. ( > 0);
-
Дисконтований коефіцієнт ефективності інвестицій КЕІ = 148,76 % (більше 100%, тобто прибутковість вкладеної інвестиції, окрім повернення суми інвестиції, становить + 48,76%);
-
Дисконтований строк окупності затрат СО = 2,30 роки (менше життєвого циклу інноваційного проекту – 5 років);
-
Внутрішня норма доходності ВНД = 54, 638 % ( що значно вище норми дисконту 25% = банківського депозитного проценту 14% + 11% споживчої інфляції національної валюти);
Таким чином інноваційний проект ТОВ “Україна-АРТ” для вхідних умов бізнес-проекту – є фінансово ефективним, одночасно альтернативно ефективним у порівнянні з вкладенням інвестицій під банківську норму проценту та повинен бути прийнятим.
В результаті впровадження рекомендованих змін в РА ТОВ „Україна-АРТ” очікується:
- підвищення рівня прибутковості, платоспроможності та конкурентоспроможності рекламного агентства;
- зростання професіоналізму його працівників;
- нормалізація психологічного клімату за рахунок появи довгострокової перспективи діяльності фірми;
- підвищення продуктивності праці за рахунок співпадання професійних обов’язків та особистих інтересів професійного росту працівників в області комп’ютерних технологій.
СПИСОК ЛІТЕРАТУРИ
1. Господарський кодекс України // від 16 січня 2003 року N 436-IV(діє з 01.01.2004)
2. ЗАКОН УКРАЇНИ «Про господарські товариства» // від 19 вересня 1991 року N 1576-XII (Із змінами і доповненнями, внесеними Законами України станом від 19 лютого 2004 року N 1519-IV)
3. Закон України „Про оподаткування прибутку підприємств” // від 22 травня 1997 р. N 283/97-ВР (станом змін від від 7 липня 2005 р. N 2771-IV )
4. ЗАКОН УКРАЇНИ “Про податок на додану вартість “ // від 3 квітня 1997 р. N 168/97-ВР ( Із змінами і доповненнями, внесеними Законами України cтаном від 7 липня 2005 р. N 2771-IV )
5. ЗАКОН УКРАЇНИ “Про рекламу” // Законом України від 11 липня 2003 року N 1121-IV цей Закон викладено в новій редакції (із змінами станом від 3 лютого 2004 року N 1407-IV)
6. ДЕКРЕТ КАБІНЕТУ МІНІСТРІВ УКРАЇНИ “Про місцеві податки і збори” // від 20 травня 1993 року N 56-93 (Із змінами і доповненнями, внесеними Законами України станом від 25 березня 2005 року N 2505-IV)
7. Про затвердження форми податкового розрахунку податку з реклами // Наказ Державної податкової адміністрації України від 24 грудня 2003 року N 624
8. Положення (стандарт) бухгалтерського обліку 1 "Загальні вимоги до фінансової звітності"// Наказ Мінфіна України № 87 від 31.03.1999 + № 304 від 30.11.2000.
9. Положення (стандарт) бухгалтерського обліку 2 "Баланс" // Наказ Мін-фіна України № 87 від 31.03.1999 (Із змінами і доповненнями, внесеними нака-зами Міністерства фінансів України.станом на від 11 грудня 2006 року N 1176)
10. Положення (стандарт) бухгалтерського обліку 3 " Звіт про фінансові результати” // Наказ Мінфіна України № 87 від 31.03.1999 (Із змінами і доповненнями, внесеними наказами Міністерства фінансів України.станом на від 11 груд-ня 2006 року N 1176)
11. Аакер Д. Стратегическое рыночное управление / Пер. с англ. под ред. Ю.Н. Каптуревского. — СПб.: Питер, 2002. — 544 с.
12. Алешина И. В. Корпоративный имидж.//Маркетинг № 2, 1998, стр. 50-53.
13. Алешина И. В. Паблик рилейшнз в менеджменте и маркетинге //Маркетинг № 3, 1996, стр. 108-111.
14. Ансофф И. Стратегическое управление: Сокр.пер. с англ. – М.: Экономика, 1989. – 519 с.
15. Арланцев А.В., Попов Е.В. Синергизм коммуникационного инструментария // Журнал «Маркетинг», № 5, 2002
16. Армстронг Г., Котлер Ф. Введение в маркетинг: Учебное пособие. – М. Изд.дом «Вильямс», 2000 – 467 с.
17. Астахова, Ірина Едуардівна. Маркетинг: Навчальний посібник/ І.Е. Астахова. - Х.: ХНЕУ, 2006. - 208 с
18. Балабанова, Людмила Веніамінівна. Маркетингова товарна політика в системі менеджменту підприємств: Навчальний посібник/ Л.В. Балабанова, О.А. Бриндіна. - К.: Професіонал, 2006. - 330 с
19. Бардиш, Григорій Олексійович. Проектний аналіз: Підручник/ Г.О. Бардиш. - 2-ге вид., стер. . - К.: Знання, 2006. - 416 с
20. Батра Р., Майерс ДЖ.,Аакер Д. Рекламний менеджмент. – М.:Спб.К., 1999 – 371 с.
21. Батенко Л.П., Завгородніх О.А.Ліщинська В.В. Управління проектами: навч. посібник.- К., КНЕУ,2003.- 231 с.
22. Бондар, Наталія Миколаївна. Економіка підприємства: Навчальний посібник/ Н.М. Бондар. - 2-ге вид., допов.. - К.: А.С.К., 2005. - 400 с. - (Університетська б-ка)
23. Василенко В.О., Ткаченко Т.І. Стратегічне управління підприємством. Навчальний посібник. Вид.2-ге, виправл. І доп. За ред.Василенка В.О. – К.:Центр навчальної літератури, 2004.-400 с.
24. Вернет Дж,, Мориарти С. Маркетинговые коммуникации. Интегрированный подход: Пер. с англ./ Под ред. С.Г. Божук. -СПб.: Питер, 2001.-864с.
25. Веретенников В.І. Управління проектами: Навчальний посібник/ В.І. Веретенников, Л.М. Тарасенко, Г.І. Гевлич. - К.: Центр навчальної літератури, 2006. - 280 с
26. Виноградська, Алла Миколаївна. Технологія комерційного підприємст-ва: Навчальний посібник/ А.М. Виноградська. - К.: Центр навчальної літератури, 2006. - 778 с
27. Всесвітній банк оприлюднив економічні ризики України // “Комерсант України» , 13 квітня 2007 р.
28. Грашина, Марина. Основы управления проектами/ М. Грашина,
В. Дункан. - СПб.: Питер, 2006. - 207 с
29. Ізмайлова К.В. Фінансовий аналіз: Навч. посібник – К.: МАУП,2000.
30. Длігач, Андрій Олександрович. Маркетингова цінова політика: світовий досвід, вітчизняна практика: Навчальний посібник/ А.О. Длігач. - К.: Професіонал, 2006. - 304 с
31. Економіка підприємства: ділові ігри, ситуації та імітаційні задачі: Навчально-методичний посібник/ Г.О. Швиданенко, І.М. Рєпіна, І.А. Іванов, О.А. Москаленко. - К.: КНЕУ, 2006. - 120 с
32. Івахненко, Валентин Михайлович. Теорія економічного аналізу: Навчальний посібник/ В.М. Івахненко. - К.: КНЕУ, 2006. - 232 с. - (До 100-річчя Київського національного економічного університету)
33. Каніщенко О.Л. Міжнародний маркетинг:Навч.посібник. – Київ, ІВЦ Вид-во „Політехніка”, 2003. – 152 с.
34. Кларк, Грег. Маркетинг сервиса, приносящего прибыль: Пер. с англ./ Г. Кларк. - К.: Знання, 2006. - 302 с. - (Европейский маркетинг)
35. Котлер Ф., Армстронг Г., Дж. Сандерс, В. Вонг, ОСНОВЫ МАРКЕТИНГА,2-е европейское издание, — М.; СПб.; К.: Издательский дом "Вильямс", 1998. – 402 с.
36. Котлер Ф. Маркетинг менеджмент. - СПб.: Питер Ком, 1998. - 896 с.
37. Куденко Н.В. Стратегічний маркетинг: Навч.посібник. – К.: КНЕУ,1998. – 202 с.
38. Куденко Н.В. Маркетингові стратегії фірми – Київ, КНЕУ, 2002. – 245 с.
39. Ковалев В.В. Финансовый анализ: Управление капиталом. Выбор инвестиций. Анализ отчётности. - М.: Финансы и статистика, 1996г. – 379 с.
40. Мазур И.И., Шапиро В.Д., Ольдерогге Н.Г. Управление проектами – М. “Экономика», 2001 – 574 с.
41. Минцберг Г., Куинн Дж. Б., Гошал С. Стратегический процесс / Пер. с англ. под ред. Ю.Н. Каптуревского. — СПб.: Питер, 2001. — 688 с.
42. Наливайко А.П. Теорія стратегії підприємства. Сучасний стан та напрямки розвитку: Монографія. — К.: КНЕУ, 2001. — 227 с.
43. Новошинська В.В. Міжнародний маркетинг: навчальний посібник. – Київ, Центр навчальної літератури, 2004. – 176 с.
44. Орлова Т. М. “Паблик рилейшнз” и реклама в системе маркетинга// Маркетинг в России и за рубежом, № 3, 1997, стр. 20-28.
45. Попов Е. В. Потенциал маркетинга предприятия. //Маркетинг в России и за рубежом, № 5, 1999, стр. 31-41
46. Мартин, Паула. Управление проектами : Пер. с англ./ П. Мартин, К. Тейт. - СПб.: Питер, 2006. - 224 с. - (Практика менеджмента)
47. Мойсеєнко, Ірина Павлівна. Інвестування: Навчальний посібник/ І.П. Мойсеєнко. - К.: Знання, 2006. - 490 с
48. Мостенська, Тетяна Леонідівна. Основи маркетингу: Навчальний посібник/ Т.Л. Мостенська. - К.: Кондор, 2005. - 240 с
49. Осовська, Галина Володимирівна. Основи менеджменту: Підручник/ Г.В. Осовська, О.А. Осовський. - 3-є вид., переробл. і допов.. - К.: Кондор, 2006. - 664 с
50. Примак, Тетяна Олександрівна. Економіка підприємства: Навчальний посібник/ Т.О. Примак. - 4-те вид., стер. . - К.: Вікар, 2006. - 220 с. - (Вища освіта XXI століття)
51. Портер М. Конкуренция. - М., 2000.
52. Портер М. Конкурентные силы и формирование стратегии //Класика маркетинга /Сост. Б. М. Энис, К. Т. Кокс і ін. Спб., 2001.
53. Промисловий маркетинг: Теорія, світовий досвід, українська практика: Підручник/ Ред. А.О. Старостіна. - К.: Знання, 2005. - 764 с. - (Європейський маркетинг)
54. Росситер Дж. Р., Перси Л. Реклама и продвижение товаров. СПб: Питер, 2000 – 602 с.
55. Семернікова, Ірина Олександрівна. Економіка підприємства: Навчальний посібник/ І.О. Семернікова, Н.В. Мєшкова-Кравченко. - Херсон: Олді-плюс, 2006. - 312 с
56. Сідун, Вікторія Анатоліївна. Економіка підприємства: Навчальний посібник/ В.А. Сідун, Ю.В. Пономарьова. - К.: Центр навчальної літератури, 2006. - 356 с
57. Скибінський, Станіслав Володимирович. Маркетинг: Навчальний посібник у схемах і таблицях/ С.В. Скибінський, В.П. Штуль. - К.: КНЕУ, 2007. - 224 с. - (До 100-річчя Київського національного економічного університету)
58. Слиньков, Владимир Николаевич. Практический маркетинг : Учебное пособие/ В.Н. Слиньков; Отв. вып.Пашутинский Е.К.. - К.: КНТ, 2005. - 368 с
59. Смит, Брайан. Как заставить маркетинг работать: стратегическое планирование на опыте известных компаний: Пер. с англ./ Б.Д. Смит; Ред. А.Л. Разумовская . - М.: Вершина, 2006. - 392 с
60. Федоренко, Валентин Григорович. Інвестування: Підручник для студ. вищих навчальних закладів/ В.Г. Федоренко. - К.: Алерта, 2006. - 442 с
61. Холодний, Геннадій Олександрович. Маркетингова товарна політика: Навчальний посібник/ Г.О. Холодний. - Х.: ХНЕУ, 2006. - 324 с
62. Циганкова Т.М. Міжнародний маркетинг: теоретичні моделі та бізнес- технології – К.: КНЕУ, 2004.- 400 с.
63. Шелудько, Валентина Миколаївна. Фінансовий менеджмент: Підручник/ В.М. Шелудько. - К.: Знання, 2006. - 439 с. - (Вища освіта XXI століття)
64. Шиян, Дмитро Вікторович. Фінансовий аналіз: Навчальний посібник/ Д.В. Шиян, Н.І. Строченко. - К.: А.С.К., 2005. - 240 с. - (Університетська б-ка)
65. Управление проектами / под ред. Дж.К.Пинто – СПб: Питер, 2004 – 464 с.
66. S&P прогнозує інфляцію в Україні на рівні 10% // 14.02.2007 – http://www.proua.com
67. SWOT-аналіз - основа формування маркетингових стратегій: Навчальний посібник/ Ред. Л.В. Балабанова. - 2-ге вид., випр. і допов.. - К.: Знання, 2005. - 301 с. - (Вища освіта XXI століття)
68. Офіційний Інтернет-сайт ТОВ «Україна-АРТ» - http://www.ukr-art.com.ua
69. Офіційний Інтернет- сайт Держкомстату України – http://www.ukrstat.gov.ua
ДОДАТКИ
Додаток А
Види рекламних послуг ТОВ “Україна – АРТ” в метрополітені та їх вартість
Додаток Б
Баланси та звіти про фінансові результати ТОВ “Україна-АРТ”
Додаток В
Динаміка балансів та звітів про фінансові результати ТОВ “Україна- АРТ” в “горизонтальному “ та “вертикальному” розрізах
Додаток Г
Алгоритми розрахунку показників діяльності підприємства [ ]
| № п/п | Показник | Умовн поз-ня | Формула для розрахунку | Джерела інформації з форм фін звітності |
| ПОКАЗНИКИ РЕНТАБЕЛЬНОСТІ | ||||
| 1 | Рентабельність активів за прибутком від звичайної діяльності | Rзв | Прибуток від звичайної діяльності / Валюта активів | Форма 2(190) / Форма1 (280) |
| 2 | Рентабельність капіталу (активів) за чистим прибутком | Rа | Чистий Прибуток / Валюта активів | Форма 2(220) / Форма1 (280) |
| 3 | Рентабельність власного капіталу | Rвк | Чистий Прибуток / Власний капітал | Форма 2(220) / Форма1 (380) |
| 4 | Рентабельність виробничих фондів | Rвф | Чистий Прибуток / Виробничі фонди | Форма 2(220) /Фор-ма1 (030+100+120) |
| 5 | Рентабельність реалізо-ваної продукції за прибутком від реалізації | Rq | Прибуток від реалізації / Виручка | Форма 2(050-070-080) /Форма 2 (035) |
| 6 | Рентабельність реалізованої продукції за прибутком від операційної діяльності | Rqоп | Прибуток від операційної діяльності / Виручка | Форма 2(100) / Форма 2 (035) |
| 7 | Рентабельність реал. продукції за прибутком | Rqч | Чистий прибуток / Виручка | Форма 2(220) / Форма 2 (035) |
| .8 | Коефіцієнт стійкості економічного зростання | Ксез | Реінвестований прибуток / Власний капітал | Форма 2(100 - 335)* Ф.2(220)/100 /Форма 1 (380) |
| 9 | Коефіцієнт реінвестування | Кр | Реінвестований прибуток / Чистий прибуток | Форма 2(100 - 335)* Ф.2(220)/100 /Форма 2 (220) |
| 10 | Період окупності капіталу | Тк | Активи/Чистий прибуток | Форма 1(280) / Форма 2 (220) |
| 11 | Період окупності власного капіталу | Твк | Власний капітал / Чистий прибуток | Форма 1(380) / Форма 2 (220) |
| № п/п | Показник | Умовне позначення | Формула для розрахунку | Джерела інформації з форм фін звітності | ||||||
| ПОКАЗНИКИ МАЙНОВОГО СТАНУ | ||||||||||
| 1. | Частка оборотних виробничих фондів в обігових коштах | Ч овф | Оборотні виробничі фонди/ Оборотні активи | Форма 1 (100+120+270) /Форма1 (260+270) | ||||||
| 2 | Частка основних засобів в активах | Ч оз | Залишкова вартість основних засобів / Валюта активів | Форма 1(030) / Форма1 (280) | ||||||
| 3 | Коефіцієнт зносу основних засобів | К зн | Знос основних засобів/ Первісна вартість основних засобів | Форма 1(032) / Форма1 (031) | ||||||
| 4 | Коефіцієнт оновлення основних засобів | К он | Збільшення за звітний період первісної вар-тості основних засобів/ Первісну вартість основних засобів | Форма 1((031к)-(031п)) / Форма1 (031п) | ||||||
| 5 | Частка довгострокових фінансових інвестицій в активах | Ч дф | Довгострокові фінансові інвестиції / валюта активів | Форма 1(040+045) /Форма1 (280) | ||||||
| 6 | Частка оборотних виробничих активів | Ч ова | Оборотні виробничі фонди/ Валюта активів | Форма 1(100+120+270) /Форма1 (280) | ||||||
| 7 | Коефіцієнт мобільності активів | К моб | Мобільні активи / Немобільні активи | Форма 1(260+270) /Форма1 (080) | ||||||
| Показник | Умов. позн. | Формула для розрахунку | Джерела інформації з форм фін звітності | |||||||
| ПОКАЗНИКИ ФІНАНСОВОЇ СТІЙКОСТІ | ||||||||||
| 1 | Власні обігові кошти (робочий, функціонуючий капітал) | Рк | Оборотні активи – короткострокові зобов ' язання | Форма 1(260+270-620-630) | ||||||
| 2 | Коефіцієнт забезпечення оборотних активів власними коштами | Кзвк | Власні обігові кошти / оборотні кошти | Форма 1(380+430-080) /Форма1 (260+270) | ||||||
| 3 | Маневреність робочого капіталу | Мрк | Запаси / Робочий капітал | Форма 1(100+120 +130+140+150) /Форма1 (260+270-620-630) | ||||||
| 4 | Маневреність власних обігових коштів | Мвок | Грошові Кошти / Власні обігові кошти | Форма 1(230+240) /Форма1 (380+430-080) | ||||||
| 5 | Коефіцієнт забезпечення власними обіговими коштами запасів | Кзап | Власні обігові кошти / Запаси | Форма 1(380+430-080) /Форма1 (100+120 +130+140+150) | ||||||
| 6 | Коефіцієнт покриття запасів | Кпз | "Нормальні" джерела покриття запасів / Запаси | Форма 1(380+430 +480-080+ 500+520+530+540) /Форма1 (100+120 +130+140+150) | ||||||
| 7 | Коефіцієнт фінансової незалежності (автономії) | Кавт | Власний капітал / Валюта Пасивівбалансу | Форма 1(380+430+630) /Форма1 (640) | ||||||
| 8 | Коефіцієнт маневреності власного капіталу | Км | Власні обігові кошти / Власний капітал | Форма 1(380+430+630-080) /Форма1 (380+430+630) | ||||||
| 9 | Коефіцієнт концентрації позикового капіталу | Кпк | Позиковий капітал/Валюта пасивів | Форма 1(480+620) /Форма1 (640) | ||||||
| 10 | Коефіцієнт фінансової стабільності (коефіцієнт фінансування) | Кфс | Власні кошти / позикові кошти | Форма 1(380+430+630) /Форма1 (480+620) | ||||||
| 12 | Коефіцієнт фінансової стійкості | Кфст | Власний капітал + довгострокові зобов ' язання / Валюта пасивів | Форма 1(380+430+480+630) /Форма1 (640) | ||||||
Додаток Д
Динаміка показників діяльності ТОВ “Україна – АРТ”
Додаток Е
Бізнес-план створення та функціонування ЦТТР ТОВ “Україна-АРТ”
Таблиця Е.1 Абонементна плата за користування системою Інтернет-реклами при річному доході, який за перші 2 роки компенсує експлуатаційні витрати та витрати на проценти, а з 3 року компенсує повернення кредитних інвестицій
Рис. Е.1. Розрахунок варіантів орендної плати в проекті
4>0>
















