62933 (588864), страница 5
Текст из файла (страница 5)
3.3.3 Руководство пользователя
Программа ФАР_полоса.mcd является дополнением к центральной программе пакета ФАР_вз_связь.mcd и выполняет расчет полевых и импедансных характеристик ФАР с учетом и без учета взаимной связи между излучателями в полосе частот.
Программа разработана в рамках математического пакета для инженерных расчетов Mathcad 2001 Professional. Требования к ресурсам вычислительной техники представлены в разделе 3.2.3 данной дипломной работы.
Для выполнения программы необходимо:
-
Загрузить математический пакет Mathcad 2001;
-
Открыть файл с именем ФАР_полоса, имеющий расширение mcd;
-
В разделе Исходные данные для расчета в таблице Frequency необходимо ввести числовые значения не менее трех частот. В директории, где расположена программа ФАР_полоса, должны находиться файлы данных с именами, соответствующими введенным значениям частот (например, если в таблице были введены числа 1670,1680,1690, то должны быть файлы DataZ_2.6_1670_MHz.prn, DataZ_2.6_1680_MHz.prn, DataZ_2.6_1690_MHz.prn). Если таких файлов данных не существует, то необходимо перейти в программу ФАР_вз_связь и провести последовательно расчет на каждой из интересующих частот. Кроме того, следует ввести значение относительной диэлектрической проницаемости второго слоя подложки в поле εdiel. Это сделано для того, чтобы можно было проводить анализ характеристик ФАР при различных материалах подложки.
-
Для начала вычислений нужно нажать клавишу F9, если в установках не указано автоматическое вычисление. Ошибки, которые могут возникнуть на этом этапе – это отсутствие одного или нескольких подключаемых файлов данных. Проверьте в директории, где расположена программа ФАР_полоса, наличие всех файлов данных. Признаком начала вычислений служит мигающая лампочка курсора. Время вычислений незначительно (до 1 мин.)
-
По окончании расчетов (признаком окончания является возвращение обычной стрелки курсора) должны быть построены графики, выведены числовые значения, которые могут быть скопированы и через буфер обмена экспортированы в другие пакеты (например Word). Поскольку для построения графиков используется интерполяция расчетных точек, может возникнуть ситуация, когда интерполированный график выходит за границы физической реализуемости параметров (например, КСВ<1, Re(Zвх)<0). Для устранения этого явления рекомендуется дополнить количество расчетных точек, выполнив вычисления в программе ФАР_вз_связь на частоте, где происходит искажение величины.
3.3.4 Описание программы
Программа ФАР_полоса.mcd является дополнением к центральной программе пакета ФАР_вз_связь и создана для удобства обработки результатов. Расчет в полосе частот можно было бы производить и в рамках одной программы ФАР_вз_связь, но это потребовало бы значительных одновременных затрат ресурсов вычислительной техники (до 1 часа). При расчете характеристик ФАР последовательно на каждой из частот существует возможность прервать вычисления на одной из них при получении некорректного результата или при выходе результата за границы интересующего диапазона.
Алгоритм расчета, используемый в данной программы, совпадает с алгоритмом программы ФАР_вз_связь (рис.3.2). Подробное его описание можно найти в разделе 3.2.4. Отличие заключается в том, что в программе не проводится расчет массива входных сопротивлений излучателя в составе бесконечной периодической решетки Za. Этот массив считывается с файлов данных. Кроме того, пользователем не вводятся исходные данные для расчета, они также считывается с файлов данных.
Главной особенностью программы является построение характеристик ФАР (КСВ, Zвх) в полосе частот. Количество расчетных точек должно быть не менее трех, верхний предел не ограничен, но исходя из значительных затрат машинного времени не может быть несколько десятков, которое требуется для построения гладких графиков. Для решения этой проблемы в программе предусмотрена интерполяция расчетных точек полиномом второй степени, которая осуществляется с помощью встроенной функции математического пакета.
3.4 Программа для расчета входного сопротивления изолированного излучателя
3.4.1 Описание применения
Программа, имеющая название рез_размер.mcd, проводит расчет входного сопротивления изолированного одиночного излучателя, выполненного на многослойном диэлектрической подложке, при различной геометрии излучателя (размера a и b). Программа применяется для того, чтобы выбрать резонансный размер излучателя, при котором Xвх=0. Выбранный размер используется в дальнейшем в программе ФАР_вз_связь.mcd. Выходными данными программы являются:
-
график активной части входного сопротивления излучателя в зависимости от его длины b;
-
график реактивной части входного сопротивления излучателя в зависимости от его длины b;
Входные данные задаются пользователем вручную в тексте программы, состав входных данных представлен в разделе 3.4.4.
3.4.2 Методика испытаний
Объектом испытаний является файл с именем рез_размер.mcd, который является программой, позволяющей определить резонансный размер излучателя. Во время испытаний следует проверить прохождение контрольного примера при решении задачи с различными входными параметрами. Испытания следует проводить на той же вычислительной установке, на которой планируется эксплуатация программы.
Для проведения испытаний нужно иметь:
-
установленный математический пакет Mathcad 2001 или его более поздние версии;
-
файл с именем рез_размер.mcd;
-
значения входных данных, приводимых ниже;
-
таблицу тестовых результатов.
В качестве тестовой задачи выступает определение резонансного размера квадратного излучателями при разных материалах подложки. Общие исходные данные следующие:
-
f0=1680 МГц;
-
d1=3 мм, d2=1 мм;
-
ε1=1, ε3=1, μ1=1, μ2=1, μ3=1;
-
b0λmin=0,4;
-
b0λmax=0,6;
-
Nb0=3.
Для открытой структуры в зависимости от материала подлжки должны быть получены следующие резонансные размеры:
-
ε2=1, a0λ=b0λ =0,463;
-
ε2=2,6, a0λ=b0λ =0,424;
-
ε2=5, a0λ=b0λ =0,405.
3.4.3 Руководство пользователя
Программа рез_размер.mcd является дополнением к центральной программе пакета и позволяет определить резонансный размер одиночного излучателя, который используется в исходных данных для расчета программы ФАР_вз_связь.
Программа разработана в рамках математического пакета для инженерных расчетов Mathcad 2001 Professional. Требования к ресурсам вычислительной техники представлены в разделе 3.2.3 данной дипломной работы.
Для выполнения программы необходимо:
-
Загрузить математический пакет Mathcad 2001;
-
Открыть файл с именем рез_размер, имеющий расширение mcd;
-
В разделе Исходные данные для расчета ввести числовые значения нижеуказанных параметров, указывая размерность для абсолютных величин.
-
f0 – частота для расчетов;
-
a, b – ширина и длина одиночного излучателя;
-
d1, d2 – толщина слоев диэлектрической подложки;
-
ε1, ε2, μ1, μ2 – диэлектрическая и магнитная проницаемость слоев;
В программе предусмотрены два варианта изменения размера излучателя:
-
b=varia, a=const. В этом случае ширина излучателя a остается постоянной, а его длина b изменяется в задаваемых пределах с фиксированным шагом;
-
b=varia, a=kb. В этом случае изменяется и длина b излучателя в задаваемых пределах с фиксированным шагом, и пропорционально длине ширина a (k – коэффициент пропорциональности);
-
Для начала вычислений нужно нажать клавишу F9, если в установках не указано автоматическое вычисление. Ошибки, которые могут возникнуть на этом этапе – это пустое поле одной из входных величин или же неверно указанная (или вовсе неуказанная) размерность величины. Признаком начала вычислений служит мигающая лампочка курсора. Время вычислений незначительно (до 2–3 мин.);
-
По окончании расчетов (признаком окончания является возвращение обычной стрелки курсора) должны быть построены графики, выведены числовые значения, которые могут быть скопированы и через буфер обмена экспортированы в другие пакеты (например Word). Поскольку для построения графиков используется интерполяция расчетных точек, может возникнуть ситуация, когда интерполированный график выходит за границы физической реализуемости параметров (например, Re(Zвх)<0). Для устранения этого явления рекомендуется увеличить количество расчетных точек в заданном интервале. Резонансный размер излучателя определяется по графику X(b), из условия X(bрез)=0.
3.4.4 Описание программы
Программа рез_размер.mcd явлется дополнением к центральной программе пакета ФАР_вз_связь и выполняет расчет входного сопротивления изолированного одиночного излучателя.
Алгоритм расчета входного сопротивления, используемый в данной программы, основан на алгоритме входного сопротивления излучателя в составе бесконечной периодической решетки. Для этого выбирается период решетки равный 5λ, при таком расстоянии взаимное сопротивление пренебрежимо мало по сравнения с собственным сопротивлением. Подобный алгоритм используется в программе ФАР_вз_связь.mcd, рассмотренный в разделе 3.2.4. Особенность заключается в том, что массив входных сопротивлений вычисляется при варьируемой геометрии излучателя. Блок – схема функции расчета входного сопртивления одиночного излучателя представлена на рис. 3.4.
Для увеличения быстродействия в программе проводится интерполяция расчетных точек полиномом второй степени, которая осуществляется с помощью встроенной функции математического пакета.
Рис. 3.4 Блок – схема функции расчета входного сопртивления одиночного излучателя
3.5 Программа для расчета взаимного сопротивления между излучателями
3.5.1 Описание применения
Программа, имеющая название вз_сопрот.mcd, проводит расчет взаимного сопротивления между двумя излучателями при различном угловом положении и расстоянии между ними. Программа применяется для того, чтобы исследовать как взаимная связь изменяется с расстоянием. Выходными данными программы являются:
-
график активной части взаимного сопротивления между излучателям в зависимости от расстояния d между ними;
-
график реактивной части взаимного сопротивления между излучателям в зависимости от расстояния d между ними;
Входные данные задаются пользователем вручную в тексте программы, состав входных данных представлен в разделе 3.5.4.
3.5.2 Методика испытаний
Объектом испытаний является файл с именем вз_сопрот.mcd. Во время испытаний следует проверить прохождение контрольного примера при решении задачи с различными входными параметрами. Испытания следует проводить на той же вычислительной установке, на которой планируется эксплуатация программы.
Для проведения испытаний нужно иметь:
-
установленный математический пакет Mathcad 2001 или его более поздние версии;
-
файл с именем вз_сопрот.mcd;
-
значения входных данных, приводимых ниже;
-
таблицу тестовых результатов.
В качестве тестовой задачи выступает расчет зависимости взаимного сопротивления между квадратными параллельными излучателями от расстояния между ними при разных материалах подложки. Общие исходные данные следующие:
-
f0=1680 МГц;
-
d1=3 мм, d2=1 мм;
-
ε1=1, ε3=1, μ1=1, μ2=1, μ3=1;
-
α=90˚ (параллельные излучатели);
-
d0λmin=0,2,
-
d0λmax=1,2,
-
Nd0=6.
В качестве подлжки используются материалы с ε2=1; ε2=2,6; ε2=5. Для каждого из них был выбран резонансный размер посредством программы рез_размер.mcd:
-
ε2=1, a0λ=b0λ =0,463
-
ε2=2,6, a0λ=b0λ =0,424
-
ε2=5, a0λ=b0λ =0,405
Результаты расчета для каждого диэлектрика представлены на рис.4.1 и в табл. 4.1.
3.5.3 Руководство пользователя
Программа вз_сопрот.mcd является автономной программой пакета и может быть использована независимо от других программ пакета. Программа позволяет исследовать взаимную связь между излучателям при различном расстоянии и угловом положении.
Программа разработана в рамках математического пакета для инженерных расчетов Mathcad 2001 Professional. Требования к ресурсам вычислительной техники представлены в разделе 3.2.3 данной дипломной работы.
Для выполнения программы необходимо:
-
Загрузить математический пакет Mathcad 2001;
-
Открыть файл с именем вз_сопрот, имеющий расширение mcd;
-
В разделе Исходные данные для расчета ввести числовые значения нижеуказанных параметров, указывая размерность для абсолютных величин:
-
f0 – частота для расчетов;
-
a0λ, b0λ – ширина и длина одиночного излучателя;
-
d1, d2 – толщина слоев диэлектрической подложки;
-
ε1, ε2, ε3, μ1, μ2, μ3 – диэлектрическая и магнитная проницаемость слоев;
-
α – параллельные излучатели;
-
d0λmin – минимальное относительное расстояние между излучателями,
-
d0λmax – максимальное относительное расстояние между излучателями,
-
Nd0 – количество точек для расчета.
-
Для начала вычислений нужно нажать клавишу F9, если в установках не указано автоматическое вычисление. Ошибки, которые могут возникнуть на этом этапе – это пустое поле одной из входных величин или же неверно указанная (или вовсе неуказанная) размерность величины. Признаком начала вычислений служит мигающая лампочка курсора. Время вычислений незначительно (до 2–3 мин.);
-
По окончании расчетов (признаком окончания является возвращение обычной стрелки курсора) должны быть построены графики, выведены числовые значения, которые могут быть скопированы и через буфер обмена экспортированы в другие пакеты (например Word). Поскольку для построения графиков используется интерполяция расчетных точек, может возникнуть ситуация, когда интерполированный график выходит за границы физической реализуемости параметров. Для устранения этого явления рекомендуется увеличить количество расчетных точек в заданном интервале.
3.5.4 Описание программы
Программа вз_сопрот.mcd явлется автономной программой пакета и может быть использована независимо от других программ пакета. Программа позволяет исследовать взаимную связь между излучателям при различном расстоянии и угловом положении.
Алгоритм расчета взаимного сопротивления основан на процедуре (2.8) и совпадает с алгоритмом, который используется в программе ФАР_вз_связь.mcd и подробно рассмотрен в разделе 3.2.4 данной дипломной работы.
Для увеличения быстродействия в программе проводится интерполяция расчетных точек полиномом второй степени, которая осуществляется с помощью встроенной функции математического пакета.
4. Результаты расчетов
4.1 Взаимное сопротивление
Разработанный пакет программ позволяет исследовать различные зависимости характеристик ФАР от параметров решетки и излучателя. Рассмотрим некоторые из них.
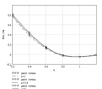
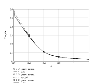
С помощью программы вз_сопрот.mcd, был проведен расчет взаимного сопротивления между двумя излучателями, имеющими структуру как на рис. 2.1 и 2.2, при различных материалах подложки (ε=1; ε= 2,6; ε=5). Результаты расчета модуля взаимного сопротивления для открытой структуры (рис. 2.1) представлены в табл.4.1 и на рис.4.1.
Таблица 4.1
| d/λ | Zвз, Ом (ε2=1) | Zвз, Ом (ε2=2,6) | Zвз, Ом (ε2=5) |
| 0,2 | 0,771‑j3,212 | 0,794‑j0,841 | 0,816+j0,11 |
| 0,4 | 0,387‑j0,107 | 0,42+j0,071 | 0,444+j0,065 |
| 0,6 | 0,12‑j0,104 | 0,139‑j0,092 | 0,148‑j0,092 |
| 0,8 | -0,025‑j0,077 | -0,018‑j0,078 | -0,016‑j0,08 |
| 1,0 | -0,046‑j2,563·10-3 | -0,048+j2,884·10-4 | -0,049+j4,628·10-4 |
| 1,2 | -7,419·10-3+j0,028 | -0,014+j0,033 | -0,015+j0,036 |
Рис. 4.1 Зависимость модуля взаимного сопртивления от относительного расстояния между параллельными излучателями (открытая структура)
Рис. 4.2 Зависимость модуля взаимного сопртивления от относительного расстояния между параллельными излучателями (закрытая структура)
Как видно из графиков, взаимное сопротивление с увеличением расстояния убывает и в пределе стремится к нулю, это полностью подтверждает все теоретические положения. Анализируя влияние диэлектрика, для открытой структуры можно сделать вывод, что с ростом величины ε взаимная связь проявляется меньше на малых расстояниях при d/λ<0,4. При d/λ>0,4 различие в величинах диэлектрической проницаемости подложки проявляется меньше. Для закрытой структуры различие в величинах диэлектрической проницаемости подложки практически не проявляется даже при малых расстояниях.
Рис. 4.3 Зависимость активной части взаимного сопротивления от расстояния
Рис. 4.3 Зависимость реактивной части взаимного сопротивления от расстояния
4.2 Диаграмма направленности ФАР
Интересным является исследование взаимной связи на такую характеристику антенны как диаграмма направленности. С помощью программы ФАР_вз_связь.mcd можно исследовать зависимость ДН ФАР от шага излучателей, диэлектрической проницаемости подложки ε и других параметров. В данной дипломной работе была исследована зависимость степени влияния взаимной связи на ДН от размера решетки. С этой целью были рассмотрены три антенные решетки: 2х2, 4х4 и 8х4. При этом все решетки имели следующие общие параметры:
-
f0=1680 МГц;
-
ε2=5;
-
a=b=0,405;
-
dx=dy=0,5.
Рис. 4.4 ДН ФАР, 2х2 (открытая структура)
Для наглядности анализа ДН ФАР с учетом и без учета взаимной связи строились на одном графике. На всех нижеприведенных рисунках сплошная линия обозначает ДН без учета взаимной связи, штриховая линия – ДН с учетом взаимной связи.
Рис. 4.5 ДН ФАР, 4х4 (открытая структура)
Рис. 4.6 ДН ФАР, 4х4 (закрытая структура)
Рис. 4.7 ДН ФАР, 8х4 (открытая структура)
Из рис. 4.4-4.7 можно сделать вывод, что ДН ФАР, построенная с учетом взаимной связи отличается от ДН, построенной без учета взаимной связи, а именно:
-
Наблюдается смещение максимума в направлении, совпадающим с направлением отклонения луча.
-
Уровень боковых лепестков при взаимной связи увеличивается.
-
Происходит так называемое «заплывание нулей» при учете взаимной связи.
-
С ростом количества элементов в АР влияние взаимной связи сказывается в меньшей степени на ДН, чем при малом количестве излучателей, сравните рис. 4.4 и 4.7.
Последнее замечание объясняется тем, что при большом размере антенной решетки центральные ее элементы находятся примерно в одинаковых условиях, тогда как для решеток с малым размером (4х4, 4х2) наблюдается «краевой эффект». Надо отметить, что для решетки 2х2 и 2х1 при фазировании по нормали взаимная связь не влияет на ДН, т. к. все элементы находятся в одинаковых краевых условиях.
4.3 Частотные характеристики ФАР
Поскольку в результате взаимного влияния входное сопротивление излучателя, находящегося в составе АР отличается от сопротивления изолированного излучателя, то и сопротивление всей АР будет отличаться от сопротивления, рассчитанного в предположении отсутствия взаимного влияния излучателей друг на друга. Это может привести к рассогласованию входа АР с фидерной линии. Поэтому очень полезным является рассмотрение входного сопротивления АР в полосе частот и определение такого параметра согласования как КСВ.
Данную возможность предоставляет программа ФАР_полоса.mcd. Ниже приводятся частотные графики КСВ для последовательной и двоично-этажной схем питания с указанием относительной ширины полосы пропускания (%), определяемой по уровню КСВ=2. Расчет проводился для решетки 2х2, f0=1680 МГц, ε2=2,6.
Рис. 4.8 Согласование без учета взаимной связи
Как видно из рис. 4.8, если проводить согласование без учета взаимной связи, то относительной ширины полосы пропускания окажется на 0,5% меньше, к тому же наблюдается смещение центральной частоты (1680 МГц). На рис. 4.9 приведено согласование уже с учетом взаимной связи, при этом относительной ширина полосы пропускания увеличилась примерно на 1,7%, но при этом ни на одной из частот не достигается идеального согласования (КСВ=1).
Схема согласования, выполненная на двойном λ/4 трансформаторе увеличивает полосу пропускания от 0,2 до 0,5%. Двоично-этажная схема питания при согласовании с учетом взаимной связи дает большую полосу пропускания, чем последовательная.
Смещение чентральной частоты хорошо иллюстрируют частотные графики входного сопротивления ФАР. Как видно из рис. 4.11 и 4.12 резонансная частота (Xвх=0) смещена в область меньших частот.
Рис. 4.9 Согласование с учетом взаимной связи
Рис. 4.10 Согласование с учетом взаимной связи
Рис. 4.11 Частотная зависимость входного сопротивления (тонкие линии – без учета взаимной связи)
Рис. 4.12 Частотная зависимость входного сопротивления (тонкие линии – без учета взаимной связи)
5. Технико-экономическое обоснование дипломной работы
5.1 Краткая характеристика работы
В результате дипломной работы была разработана программа для расчета взаимных связей между излучателями, находящимися в составе плоской антенной решетки. Излучатели могут быть как резонаторными, так и полосковыми вибраторами. Диэлектрик, служащий в качестве подложки, является многослойным. Программа разработана в рамках математического пакета для инженерных расчетов Mathcad.
5.2 Определение затрат на создание программы
Для определения этих затрат воспользуемся методикой, изложенной в [8]. Необходимо рассчитать расходы по оплате труда разработчиков программы и расходы по оплате машинного времени при разработке программы.
5.2.1 Расходы по оплате труда разработчиков программы
Этот вид расходов определяется путем умножения трудоемкости программы на среднюю часовую оплату программиста.
, руб. (5.1)
где t – трудоемкость создания программы,
- среднечасовая зарплата программиста.
Трудоемкость создания программы включает в себя затраты труда на следующие этапы:
-
подготовка описания задачи,
-
исследование алгоритма и разработка блок-схемы программы,
-
программирование по готовой блок-схеме,
-
отладка программы на ЭВМ,
-
подготовка документации по задаче.
Составляющие затрат труда можно определить через условное число операторов в программном продукте. В эту категорию входят те операторы, которые необходимо написать программисту в процессе работы над задачей с учетом возможных уточнений в постановке задачи, коррекции программы и совершенствования алгоритма реализации поставленных требований и условий.
Условное число операторов можно определить по следующей формуле [8]
, (5.2)
где q – предполагаемое число операторов, шт.;
с – коэффициент сложности программы. Этот коэффициент находится в пределах от 1 до 2 [8];
p – коэффициент коррекции программы в ходе ее разработки. Этот коэффициент находится в пределах от 0,05 до 1 [8].
Предполагаемое число операторов можно определить, исходя из предварительной версии программы. В программе 330 строк, каждая строка включает в среднем по 3 оператора, поэтому q=1000.
В данном программном продукте при расчете характеристик антенных решеток используются матрицы с комплексными значениями токов, напряжений и сопротивлений. Для их расчета применялись тензорные функции Грина, численное интегрирование функций методом Симпсона, для отображения результатов расчета применялись методы интерполяции. Все это позволяет заключить, что программа является достаточно сложной, поэтому выбираем коэффициент сложности программы с=2.
В процессе работы программный продукт исправлялся, дополнялся и уточнялся. Относительно первоначального варианта в окончательный вариант было внесено до 30% различного рода изменений, поэтому примем коэффициент коррекции программы p=0,3.
Тогда в соответствии с формулой (5.2) условное число операторов будет равно Q=1000·2·(1+0,3)=2600 шт.
Затраты труда на изучение описания задачи с учетом уточнения описания и квалификации программиста определяются по следующей формуле, взятой из [8]
, чел.‑ч (5.3)
где B – коэффициент увеличения затрат труда вследствие недостаточного описания задачи, уточнений и некоторой доработки. Этот коэффициент находится в пределах от 1,2 до 5;
K – коэффициент квалификации разработчика. Он должен составлять для работающих до 2 лет – 0,8; от 2 до 3 лет – 1,0; от 3 до 7 лет – 1,3÷1,4; свыше 7 лет – 1,5÷1,6.
Постановка задачи была описана четко, грамотно и полно. Потребовались лишь незначительные уточнения и корректировки. Поэтому можно принять B=1,5.
Разработчиком программного продукта является студент, работающий менее 2 лет, поэтому коэффициент квалификации разработчика принимаем K=0,8.
Затраты труда на описание задачи, исходя из выбранных выше коэффициентов, в соответствии с формулой (5.3), будут равны
чел.‑ч
Затраты труда на разработку алгоритма решения задачи определяются по следующей формуле, взятой из [8]
, чел.‑ч (5.4)
где Q – условное число операторов, определяемое по (5.2);
K – коэффициент квалификации разработчика, который был определен ранее.
Так как разработка алгоритма была довольно сложной задачей, то примем числовой коэффициент, находящийся в знаменателе формулы (5.4), равным 60.
Тогда затраты труда на разработку алгоритма, в соответствии с формулой (5.4), будут равны
чел.‑ч.
Затраты труда на составление программы по готовой блок-схеме определяются по следующей формуле, взятой из [8]
, чел.‑ч (5.5)
где коэффициенты Q и K имеют тот же смысл, что и в предыдущих формулах. Числовой коэффициент примем равным 60.
Тогда затраты труда на составление программы по блок-схеме, в соответствии с формулой (5.5), будут равны
чел.‑ч.
Затраты труда на отладку программы на ЭВМ при автономной отладке одной задачи определяются по следующей формуле, взятой из [8]
, чел.‑ч (5.6)
При комплексной отладке эти же затраты определяются по формуле из [8]
, чел.‑ч (5.7)
Отладка программы требовала значительных затрат, особенно машинного времени, поэтому в формуле (5.6) примем числовой коэффициент равным 40.
Данный программный продукт представляет комплекс программ, каждая из которых выполняет определенную функцию, поэтому в ходе работы требовалась комплексная отладка, включающая в себя как отладку каждой программной единицы, так и отладку совместимости этих единиц. Таким образом, в соответствии с формулами (5.6) и (5.7) имеем следующие затраты на отладку программы
чел.‑ч
чел.‑ч
Любой программный продукт требует точного и ясного документирования. Выходными документами для данной прграммы явились пояснительная записка дипломной работы, руководство пользователя, руководство программиста и комментарии в тексте программы в соответствии с [9], [10].
Затраты труда на подготовку документации можно определить по следующей формуле, взятой из [8]
, чел.‑ч (5.8)
где
- затраты труда на подготовку материала к рукописи, чел.‑ч;
- затраты труда на редактирование, печать и оформление документации.
Эти два вида затрат определяются по следующим формулам, взятым из [8]
, чел.‑ч (5.9)
, чел.‑ч (5.10)
Численный коэффициент в формуле (5.9) примем равным 200, поскольку подготовка материалов к рукописи производилась в удобных графических оболочках математического пакета Mathcad, имеющего все необходимо функции текстового редактора. Исходя из этого определяем, что
чел.‑ч,
чел.‑ч.
Общие затраты труда на подготовку документации в соответствие с ‑ч (5.8) составят
, чел.‑ч
Общая трудоемкость создания программного продукта определяется по формуле, взятой из [8]
, чел.‑ч (5.11)
Подставив ранее полученные значения в формулу ‑ч (5.11), определим общую трудоемкость
чел.‑ч
Полученные данные на затраты труда сведены в табл. 5.1.
Табл. 5.1
| Наименование затрат | Трудоемкость, чел.-ч |
| Подготовка описания задачи | 61 |
| Разработка алгоритма решения задачи | 54,2 |
| Составление программирование | 54,2 |
| Отладка программы на ЭВМ | 121,9 |
| Подготовка документации по задаче | 28,5 |
| Общие затраты труда | 319,8 |
5.2.2 Среднечасовая оплата разработчика
Разработка программного продукта проводилась на кафедре ВЧСРТ, зарплата научного сотрудника этой кафедры на апрель 2001 года составляла 1760 руб. Определим среднечасовую оплату разработчика. Количество часов в рабочем дне составляет 8, количество рабочих дней при пятидневной рабочей неделе в месяце 22. Среднечасовая оплата определяется как отношение зарплаты к числу рабочих часов в месяце
, руб./ч (5.12)
руб./ч
При рассчитаных общих затратах труда и зная среднечасовую оплату труда, можно найти прямую заработную плату разработчика программного продукта в соответствие с [8]
, руб. (5.13)
руб.
Основная зарплата (ОЗП) рассчитывается по формуле:
ОЗП=ПЗП+Премия, руб. (5.14)
При премии в 10% основная зарплата составит
ОЗП=3198+3198·0,1=3517,8 руб.
С учетом уральского коэффициента, который равен 15%, основная зарплата будет составлять
ОЗП=3517,8·1,15=4045,5 руб.
Дополнительная заработная плата составляет 12,5% от ОЗП, или 505,7 руб., отчисления на социальные нужды 36,5%-1476,6 руб.
Табл. 5.2
| Наименование затрат | Затраты, руб. |
| Основная заработная плата | 4045,5 |
| Дополнительная заработная плата | 505,7 |
| Отчисления на социальные нужды | 1476,6 |
| Общие затраты по оплате труда разработчика программы | 6027,8 |
5.2.3 Затраты по оплате машинного времени
Эти затраты определяются путем умножения фактического (планового) времени отладки программы и времени подготовки документации, проводимой также с помощью ЭВМ, на стоимость машино-часа вычислительной техники
, руб. (5.15)
В свою очередь, стоимость машино-часа вычислительной техники определяется по следующей формуле, взятой из [8]
, руб./ч (5.16)
где
- действительный годовой фонд времени ЭВМ, ч;
- годовые издержки на амортизацию, руб.;
– годовые издержки на зарплату обслуживающему персонала, руб.;
– годовые издержки на вспомогательные материалы, руб.;
– годовые издержки на текущий ремонт, руб.;
– прочие расходы, руб.;
– накладные расходы, руб.
Стоимость ЭВМ, согласно товарному чеку, составляет 10 000 руб. Согласно [11], издержки на амортизацию составляют 12,5% в год
=10000·0,125=1250 руб. (5.17)
Издержек на зарплату обслуживающему персоналу нет (
руб.). Кроме того, нет издержек на текущий ремонт, т. к. в течение года действовал гарантийный срок (
руб.).
Поскольку в процессе работы проводилась распечатка данных результатов машинного расчета, необходимых для отладки, документации на программный продукт, то к издержкам на вспомогательные материалы стоит отнести затраты на бумагу для принтера и его заправку. Среднегодовой расход бумаги составляет 500 листов, или одну пачку. Стоимость одной пачки бумаги для принтера равна 95 руб. (данные взяты из расценника одного из магазинов, торгующего расходными материалами). Среденгодовой расход чернил для принтера составляет один картридж. Стоимость заправки черно-белого картриджа равна 200 руб. (данные взяты из расценника фирмы, занимающейся обслуживанием офисной техники). Суммарные издержки на вспомогательные материалы составят
руб.
Затраты на электроэнергию определяются по следующей формуле, взятой из [8]
, руб. (5.18)
где
- потребляемая мощность ЭВМ, равна 250 Вт по техн. паспорту;
- действительный годовой фонд времени ЭВМ, ч;
- стоимость 1 кВт·ч электроэнергии, на апрель 2001 года составляла 0,90 руб.
Действительный годовой фонд времени ЭВМ можно определить исходя из того, что ЭВМ эксплуатируется каждый день в среднем в течение 3 часов.
ч
Таким образом, согласно формуле (5.18) получаем следующие затраты на электроэнергию
руб.
В соответствие с формулой (5.16) стоимость машино-часа собственной вычислительной техники будет равна
руб./ч
Тогда затраты по оплате машинного времени согласно формуле (5.15) составят
руб.
5.2.4 Общие затраты на создание программы
Эти затраты определяются как сумма затрат по оплате труда разработчика программного продукта и затрат по оплате машинного времени
, руб. (5.19)
6108,7+246=6354,7 руб.
Основную часть затрат на создание программы составляют затраты по оплате труда разработчика. Если при создании программы использовать квалифицированного специалиста с опытом работы свыше 7 лет, что соответствует коэффициенту квалификации К=1,6, то общая трудоемкость создания программного продукта уменьшится вдвое. Однако, среднечасовая оплата квалифицированного разработчика будет в 2,5–3 раза выше, поскольку его среднемесячная зарплата должна составлять не менее 5000 руб. (данные по вакансиям программистов). Из всего этого следует, что стоимость создания программы высококвалифицированным разработчиком будет в 1,25–1,5 раз выше, чем в данном случае.
6. Безопасность и экологичность дипломной работы
6.1 Краткая характеристика работы
В результате дипломной работы была разработана программа для расчета взаимных связей между излучателями, находящимися в составе плоской антенной решетки. Излучатели могут быть как резонаторными, так и полосковыми вибраторами. Диэлектрик, служащий в качестве подложки, является многослойным. Программа разработана в рамках математического пакета для инженерных расчетов Mathcad.
6.2 Безопасность проекта
6.2.1 Электробезопасность рабочего места
Рабочим местом в данной дипломной работе является место пользователя ПЭВМ. В ЭВМ источником опасности является электрическая часть, а именно входные цепи блока питания, который может быть подключен к сети промышленного тока напряжением 220 В частотой 50 Гц, с изолированной нейтралью. Данный уровень напряжения представляет опасность для человеческой жизни. Выходные цепи блока питания составляют 15, 5 В. Следовательно, устройство относится к установкам с рабочим напряжением до 1000 В.
Использовавшееся помещение с ЭВМ относится к классу помещений без повышенной опасности с точки зрения поражения электрическим током. Температура окружающей среды +20 °С,относительная влажность воздуха 60±20%. В помещении должны быть непроводящие полы, отсутствовать токопроводящая пыль, отсутствовать электрически активная среда, отсутствовать возможность одновременного прикосновения к металлическим частям прибора и заземляющему устройству, отсутствовать высокая температура и сырость.
Эксплуатация устройства должна производиться персоналом, имеющим квалификацию по ТБ III. Работа по устранению неисправностей и наладка должна производиться персоналом с квалификационной группой по ТБ не ниже III и только после снятия напряжения питания с устройства.
Согласно [23], предельно допустимые значения напряжения прикосновения и тока составляют, соответственно 20 В и 6 мА при продолжительности воздействия тока более 1 сек. Поэтому, необходимо предусмотреть защитное заземление, которое обеспечило бы защиту людей от прикосновения к нетоковедущим частям (корпуса измерительных приборов), которые могут оказаться под напряжением в результате повреждения изоляции.
Стекание тока в землю происходит только через проводник, находящийся с нею в непосредственном контакте. Такой контакт обеспечивается проводником или группой соединенных между собой проводников. Одиночный проводник, находящийся в контакте с землей называется одиночным заземлителем или заземляющим электродом, а заземлитель, состоящий из нескольких параллельно соединенных электродов, называется групповым или сложным заземлителем.
По условиям безопасности заземление должно обладать сравнительно малым сопротивлением, обеспечить которое можно путем увеличения геометрических размеров одиночного заземлителя или применения группового заземлителя. В нашем случае, будем использовать групповой заземлитель.
Коэффициент использования проводимости заземления или просто коэффициент использования, есть отношение действительной проводимости группового заземлителя
к наибольшей возможной его проводимости
, т.е. при бесконечно больших расстояниях между электродами:
(6.1)
При использовании группового заземлителя определить коэффициент использования расчетным путем сложно. Поэтому, при расчете заземляющих устройств, значения η берутся из таблицы 6.1, составленной на основании опытов [24].
Табл. 6.1
| η | Отношение расстояний между вертикальными электродами к их длине | Число вертикальных электродов | ||||
| 2 | 4 | 6 | 10 | 20 | ||
| ηв | 1 | 0.85 | 0.73 | 0.65 | 0.59 | 0.48 |
| 2 | 0.91 | 0.83 | 0.77 | 0.74 | 0.67 | |
| 3 | 0.94 | 0.89 | 0.85 | 0.81 | 0.76 | |
| ηг | 1 | 0.85 | 0.77 | 0.72 | 0.62 | 0.42 |
| 2 | 0.94 | 0.80 | 0.85 | 0.75 | 0.56 | |
| 3 | 0.96 | 0.92 | 0.88 | 0.82 | 0.68 | |
Здесь: ηв – коэффициент использования вертикальных электродов группового заземлителя (труб, уголков и т.п.) без учета влияния полосы связи (электроды размещены в ряд);
ηг – коэффициент использования горизонтального полосового электрода, соединяющего вертикальные электроды.
Проводимость группового заземлителя получается путем суммирования проводимостей заземлителей обоих типов (вертикального и горизонтального), поскольку они работают параллельно:
(6.2)
Выражение для сопротивления группового заземлителя запишется в виде:
(6.3)
где n – число вертикальных электродов;
- сопротивление вертикального стержневого электрода;
– сопротивление горизонтального полосового электрода.
Формула для вычисления сопротивлений одиночных заземлителей растеканию тока в однородном грунте записываются в виде:
, (6.4)
где 1 – длина электрода;
s – площадь сечения электрода;
ρ – удельное сопротивление материала электрода.
Выполним заземляющее устройство в виде группового заземлителя, состоящего из трех стержневых электродов, расположенных на расстоянии r = 4 м.
-
Возьмем стержневой электрод длиной l = 5 м с круглым сечением, диаметр которого D = 10 мм. Стержень выполнен из стали, удельное сопротивление которой составляет
Ом/м. Рассчитаем сопротивление вертикального электрода:
-
Горизонтальная полоса имеет следующие габаритные размеры:
длина полосы 1 = 12 м, длина сечения – а = 1 см, ширина сечения – b = 1 мм.
Горизонтальный электрод сделан из меди, удельное сопротивление которой равно
Ом/м. Вычислим сопротивление горизонтальных электродов:
Отношение расстояния между вертикальными электродами r = 4 м к их длине 1 = 5 м составит r/1 ≈ 1, откуда по таблице 6.1 находим значения коэффициентов использования вертикальных и горизонтальных электродов, которые составляют соответственно ηв = 0,85, ηг = 0,85. Теперь можем вычислить сопротивление всего группового заземлителя:
Для электроустановок напряжением до 1000 В в сети с изолированной нейтралью, сопротивление заземляющего устройства должно быть не более 4 Ом.
Сопротивление группового заземлителя значительно меньше допустимого, а это означает, что рассчитанное заземляющее устройство обеспечит защиту людей от поражения электрическим током в случае повреждения изоляции.
Питание к рабочему столу подводится электропроводами сечением 3 мм2. Протяженность провода на пути распределительный щиток – электророзетка не превышает 20 м. Провода подводящие напряжение к щитку имеют сечение (2х6 мм2). Суммарное сопротивление проводов не превышает 1,5 Ом, что обеспечивает ток короткого замыкания на уровне 146 А. Защита сети от перегрузок должна осуществляется автоматом типа ОП‑6, рассчитанным на ток 25 А, который значительно меньше тока короткого замыкания.
6.2.2 Пожаробезопасность рабочего места
Пожарная безопасность помещений, имеющих электрические сети, регламентируется [17] и [18]. Рабочее место оператора ПЭВМ оборудовано в помещении, которое соответствует категории «Д» пожарной безопасности (негорючие вещества и материалы в холодном состоянии) по [19].
Материалы, применяемые для ограждающих конструкций и отделки рабочего помещения должны быть огнестойкими. Для предотвращения возгорания в зоне расположения ЭВМ обычных горючих материалов (бумага) и электрооборудования, необходимо приниять следующие меры:
-
в помещении должны быть размещены углекислотные огнетушители типов ОУ‑2, ОУ‑5, ОУ‑8. в качестве вспомогательного средства тушения пожара могут использоваться гидрант или устройства с гибкими шлангами. Рабочее помещение имеет площадь 12м2. Согласно [25] на каждые 50м2 должен приходиться один огнетушитель. Таким образом, для обеспечения помещения средствами пожаротушения необходим один огнетушитель.
-
для непрерывного контроля за помещением необходимо установить систему обнаружения пожаров, для этого можно использовать комбинированные извещатели типа КИ‑1 из расчета один извещатель на 100 м2 помещения.
-
к работе на ПЭВМ допускаются только пользователи, прошедшие инструктажа по безопасности труда и пожарной безопасности
-
в помещении должна быть инструкция с правилами пожарной безопасности и план противопожарных мероприятий;
-
для помещения быть разработан план эвакуации персонала в случае возникновения пожара;
-
должен быть назначен ответственный за противопожарную безопасность;
-
монитор и системный блок ПЭВМ дожны быть установлены вдали от источников тепла (например, батареи центрального отопления), прямые солнечные лучи не должны попадать на экран дисплея;
-
необходимо использовать модели ПЭВМ, у которых в корпусе имеются вентиляционные отверстия и охлаждающий вентилятор.
6.2.3 Микроклимат рабочего места
В соответствие с [14] помещение с ПЭВМ для поддержания микроклимата оборудовано системой отопления и кондиционирования воздуха. В помещении обеспечиваются оптимальные параметры микроклимата, представленные в табл.6.2. Для повышения влажности воздуха в помещении с ПЭВМ применяется увлажнители воздуха, заправляемые ежедневно дистиллированной или прокипяченнои питьевой водой. Регулярно осуществляется проветривание, что обеспечивает улучшение качественного состава воздуха, в том числе и аэроионный режим.
Табл. 6.2
| Период года | Температура воздуха, ºС не более | Относительная влажность воздуха, % | Скорость движения воздуха, м/с |
| Холодный | 22–24 | 40–60 | 0,1 |
| Теплый | 23–25 | 40–60 | 0,1 |
Уровни положительных и отрицательных аэроионов в воздухе помещения с ПЭВМ соответствует нормам, приведенным в табл. 6.3. Содержание вредных химических веществ в воздухе помещения не превышает среднесуточных концентраций для атмосферного воздуха.
Табл. 6.3
| Уровни | Число ионов в 1 см куб. воздуха | |
| n+ | n- | |
| Минимально необходимые | 400 | 600 |
| Оптимальные | 1500–3000 | 3000–5000 |
| Максимально допустимые | 50000 | 50000 |
6.2.4 Освещенность рабочего места
В соответствие с [14] помещение с ПЭВМ должны имеет естественное и искусственное освещение.
Естественное освещение осуществляется через светопроемы, ориентированные на северо-восток и обеспечивает коэффициент естественной освещенности (КЕО) не ниже 1,2%, что соответствет норме для зоны с устойчивым снежным покровом. Рабочее место по отношению к световым располагается так, что естественный свет падает сбоку справа, что допускается, см. рис.6.2. Оконные проемы ободудованы регулируемыми устройствами типа жалюзи. Все это ограничивае прямую и отраженную блесткость на рабочих поверхностях (экран, стол, клавиатура).
Искусственное освещение осуществляется комбинированной системой освещения (к общему освещению дополнительно устанавливлен светильник местного освещения, предназначенные для освещения зоны расположения документов).
Проведем расчет освещенности по методике, изложенной в [21]. Помещение, в котором расположено ПЭВМ, имеет размер 3x4 м, высота подвеса светильника 2,5 м. Согласно [14], освещенность на поверхности стола в зоне размещения рабочего документа должна быть 300–500 лк, примем для расчета среднее значение Ен=400 лк. Индекс помещения определяется по следующей формуле, взятой из [21]
(6.5)
где A, B – размеры помещения, м;
H – высота подвеса светильника, м.
Согласно [14], коэффициент запаса (Кз) для осветительных установок общего освещения должен приниматься равным 1,4, коэффициент неравномерности освещения Z=1,1. В качестве светильника применяется светильник серии ЛП036 с зеркализованными решетками, имеющей коэффициент использования осветительной установки η=0,5. Необходимый световой поток при размещении светильников в два ряда (Nр=2) определяется следующим образом, согласно [21]
лм (6.6)
В светильнике используются по две лампы (n=2), каждая мощностью 40 Вт, что соответствует световому потоку Фл=3000 лм (принято, что светоотдача составляет 75 лм / Вт). Тогда количество светильников, обеспечивающих заданную освещенность, определяется по следующей формуле
(6.7)
Если принять число светильников в одном ряду равным N=1, то освещенность снизится в 1,23 раза, что будет соответствовать E=325 лк. Это значение соответствует требуемому диапазону 300–500 лк.
Итак, для обеспечения освещенности в помещении с ПЭВМ требуется размещение двух светильников серии ЛП036 в два ряда.
6.2.5 Шумы и вибрации на рабочем месте
В соответствие с [14], в помещении, где работают инженерно-технические работники, уровень шума не должен превышать 60 дБ. Основным источником шума и вибрации является вентилятор, находящийся в системном блоке, дополнительным источником шума, значительно превышающего шум основного источника, может служить работающий струйный принтер. Заявленный в техническом паспорте на принтер уровень шума согласно ISO 9296 составляет 50 дБ, что соответсвует требуемой норме.
В помещениях, в которых работа с ПЭВМ является основной, вибрация на рабочих местах не должен превышать допустимых норм вибрации, которые представлены в табл. 6.4.
Для снижения уровня шума в помещениии повешены однотонные занавеси из плотной ткани, гармонирующие с окраской стен и подвешенные в складку на расстоянии 15–20 см от ограждения.
Табл. 6.4
| Среднегеометрческие частоты октавных полос, Гц | Допустимые значения | |||
| по виброускорению | по виброскорости | |||
|
| дБ |
| дБ | |
| Ось X | Ось Y | |||
| 2 | 5,3х10 | 25 | 4,5х10 | 79 |
| 4 | 5,3х10 | 25 | 2,2х10 | 73 |
| 8 | 5,3х10 | 25 | 1,1х10 | 67 |
| 16 | 1,0х10 | 31 | 1,1х10 | 67 |
| 31,5 | 2,1х10 | 37 | 1,1х10 | 67 |
| 63 | 4,2х10 | 43 | 1,1х10 | 67 |
6.3 Эргономичность проекта
6.3.1 Рабочее место оператора ЭВМ
Согласно [14], конструкция рабочего стула должна обеспечивать поддержание рациональной рабочей позы при работе на ПЭВМ, позволять изменять позу с целью снижения статического напряжения мышц шейно-плечевой области и спины для предупреждения развития утомления. Рабочий стул должен быть подъемно-поворотным и регулируемым по высоте и углам наклона сиденья и спинки, а так же – расстоянию спинки от переднего края сиденья.
Конструкцияего должна обеспечивать:
-
ширину и глубину поверхности сиденья неменее 400 мм;
-
поверхность сиденья с закругленным передним краем;
-
регулировку высоты поверхности сиденья в пределах 400–550 мм и углам наклона вперед до 15º и назад до 5º; – высоту опорной поверхности спинки 300±20 мм, ширину – не менее 380 мм и радиус кривизны горизонтальной плоскости – 400 мм;
-
угол наклона спинки в вертикальной плоскости в пределах 0±30º;
-
регулировку расстояния спинки от переднего края сиденья в пределах 260–400 мм;
-
стационарные или съемные подлокотники длиной не менее 250 мм и ширинрй – 50–70 мм;
-
регулировку подлокотников по высоте над сиденьем в пределах 230±30 мм и внутреннего расстояния между подлокотниками в пределах 350–500 мм.
Экран видеомонитора должен находиться от глаз пользователя на оптимальном расстоянии 600–700 мм, но не ближе 500 мм. Расположение экрана должно обеспечивать удобство зрительного наблюдения в вертикальной плоскости под углом ±30º от нормальной линии взгляда оператора. Конструкция видеомонитора должна обеспечивать возможность фронтального наблюдения экрана путем поворота корпуса в горизонтальной плоскости вокруг вертикальной оси в пределах ±30º и в вертикальной плоскости вокруг горизонтальной оси в пределах ±30º. Уровень глаз при вертикально расположенном экране ВДТ должен приходиться на центр или 2/3 высоты экрана. Линия взора должна быть перпендикулярна центру экрана и оптимальное ее отклонение от перпендикуляра, проходящего через центр экрана в вертикальной плоскости, не должно превышать ±5º, допустимое ±10º.
Клавиатуру следует располагать на поверхности стола, на расстоянии 100–300 мм от края, обращенного к пользователю или на специальной, регулируемой по высоте рабочей поверхности, отделенной от основной столешницы.
Высота рабочей поверхности стола должна составлять 725 мм. Модульными размерами рабочей поверхности стола для ВДТ и ПЭВМ, на основании которых должны рассчитываться конструктивные размеры, следует считать: ширину 800, 1000, 1200 и 1400 мм; глубину 800 и 1000 мм при нерегулиремой его высоте, равной 725 мм.
Рабочий стол должен иметь пространство для ног высотой не менее 600 мм, шириной – не менее 500 мм, глубиной на уровне колен-не менее 450 мм и на уровне вытянутых ног – не менее 650 мм.
Рабочее место должно быть оборудовано подставкой для ног, имеющей ширину не менее 300 мм, глубину не менее 400 мм, регулировку по высоте в пределах до 150 мм и по углу наклона опорной поверхности подставки до 20º. Поверхность подставки должна быть рифленой и иметь по переднему краю бортик высотой 10 мм.
Схема рабочего места оператора ПЭВМ представлена на рис.6.1.
Рис. 6.1 Рабочее место оператора ПЭВМ
Рис. 6.2 Схема расположения рабочих мест относительно светопроемов
6.3.2 Оценка качества программных средств
Данная оценка производится согласно [15] и [16]. Программное средство оценивается по следующим факторам:
-
надежность;
-
сопровождаемость;
-
удобство применения;
-
эффективность.
Оценочные элементы фактора «надежность», имеющиеся в программе: наличие средств контроля полноты входных данных и наличие обработки неопределенностей.
Оценочные элементы фактора «сопровождаемость», имеющиеся в программе: наличие комментариев в точках входа и выхода программы; наличие комментариев ко всем машинозависимым частям программы; наличие комментариев к заголовкам программы с указанием ее структурных и функциональных характеристик; наличие модульной схемы программы.
Оценочные элементы фактора «удобство применения», имеющиеся в программе: возможность освоения программы по документации; полнота и ясность документации для освоения; наличие описания основных функций программного средства во встроенной справочной системе пакета Mathcad; наличие описания входных и выходных данных; наличие рисунков, поясняющих характер вводимых данных; возможность распечатки содержимого программы; легкость и быстрота запуска и завершения программы; обеспечение удобства вывода данных; легкость восприятия.
Оценочные элементы фактора «эффективность», имеющиеся в программе: использование функций ввода / вывода; регулировка числа знаков после запятой в результате вычислений; возможность настройки формата выходных данных для конкретных пользователей; наличие заголовка в программе; размещение операторов по строкам.
6.4 Экологичность проекта
На рабочем месте монитор ПЭВМ является источником электромагнитного и рентгеновского излучения.
Источником рентгеновских лучей внутри монитора является внутренняя флуоресцирующая поверхность экрана. Согласно [14], конструкция видеомонитора должна обеспечивать мощность экспозиционной дозы рентгеновского излучения в любой точке на расстоянии 0,05 м от экрана и корпуса при любых положениях регулировочных устройств не превышающую 7,74х10 А/кг, что соответствует эквивалентной дозе, равной 0,1 мбэр/час (100 мкР/час).
Допустимые значения параметров неионизирующих электромагнитных излучений приведены в табл. 6.5.
Для защиты от электромагнитных и электростатических полей рекомендуется применение приэкранных фильтров, специальных экранов и других средств индивидуальной защиты.
Табл. 6.5
| Наименование параметров c 01.01.1997 | Допустимое значение |
| Напряженность электромагнитного поля на расстоянии 50 см. вокруг ВДТ по электрической составляющей должна быть не более: – в диапазоне частот 5 Гц – 2 кГц; | 25 В/м |
| – в диапазоне частот 2 – 400 кГц | 2,5 В/м |
| Плотность магнитного потока должна быть не более: – в диапазоне частот 5 Гц – 2 кГц; | 250 нТл |
| – в диапазоне частот 2 – 400 кГц. | 25 нТл |
| Поверхностный электростатический потенциал не должен превышать | 500 В |
Согласно техническому паспорту на монитор, он разработан в соответствии с рекомендациями SWEDAC (MPR II) по уменьшению электрических и магнитных полей.
6.5 Особенности проектирования антенно-фидерных устройств к воздействию сильных электромагнитных излучений. Возможный характер повреждений
Если не обеспечена электромагнитная совместимость антенно-фидерных трактов с внешней средой, то может возникнуть подавление слабого сигнала сильной помехой, пробой диэлектрика в фидере, выход из строя входного каскада РЭА. Кроме того, необходимо осуществлять защиту персонала от воздействия электромагнитного излучения радиочастоты (ЭМИ РЧ).
Для предотвращения возникновения последствий чрезвычайных ситуаций и для защиты персонала необходимо проводить [22]:
-
организационные мероприятия (рационально выбирать режимы работы оборудования, ограничивать место и время нахождения персонала в зоне воздействия электромагнитных полей);
-
инженерно-технические мероприятия (экранирование, применение фильтров в каскадах РЭА, заземление антенно-фидерных трактов, использование поглотителей мощности);
-
лечебно-профилактические мероприятия, направленные на предупреждение, диагностику и лечение нарушений в состоянии здоровья работника, связанные с воздействием ЭМИ РЧ;
-
использовать средства индивидуальной защиты.
6.5.1 Экранирование
Экранирование является одним из эффективных средств защиты антенно-фидерных устройств от действия мощного электромагнитного излучения, возникающего при атомных и термоядерных взрывах, а также от излучения радиолокационных установок, работающих в импульсном режиме.
Экранирование является конструкторским средством ослабления электромагнитного поля помех в пределах определенного пространства и предназначено для повышения помехозащищенности и обеспечения электромагнитной совместимости РЭА. Конструкции, реализующие указанные требования, называются экранами.
Коэффициент экранирования
представляет собой отношение напряженности электрического
или магнитного
поля в какой-либо точке защищаемого пространства при наличии экрана к напряженности
и
при отсутствии экрана в той же точке. Практически принято оценивать действие экрана экранным затуханием, которое определяется по следующей формуле, взятой из [13].
, дБ (6.8)
Электромагнитный экран одновременно с выполнением основной функции оказывает воздействие на собственные параметры цепей и контуров экранируемого объекта, что связано с перераспределением электромагнитного поля при установке экрана. Это влияние оценивается с помощью коэффициента реакции экрана, т.е. отношения
(или
) в точке пространства помехонесущего поля при наличии экрана к
(или
) при отсутствии экрана [13]
(6.9)
Экранирование источников ЭМИ РЧ оссуществляется с помощью отражающих или поглощающих экранов. Отражающие экраны выполняют из металлических листов, сетки, ткани с микропроводом. В поглощающих экранах используются специальные материалы, обеспечивающие поглощение излучения соответствующей длины волны.
При испытании, настройке и регулировке аппаратуры СВЧ применяют защиту рабочего места, представленную на рис. 6.3 . Экран выполняют из металлических листов или сетки, а со стороны излучения покрывают поглощающим материалом, чтобы снизить или исключить отражение от него электромагнитной энергии.
Уменьшение мощности излучения непосредственно в самом источнике излучения достигается за счет применения поглотителей мощности, способных ослабить излучение в 60 дБ и более.
Рис. 6.3 Экранирование рабочего места 1- генератор СВЧ; 2- антенна; 3- экран; 4- поглощающий материал; 5 - рупор
Защита временем предусматривает ограничение времени пребывания человека в электромагнитном поле и применяется, когда нет возможности снизить интенсивность излучения до допустимых значений. В диапазоне частот 300 МГц. 300 ГГц значения предельно допустимых уровней плотности потока энергии (ППЭ) представлены в табл. 6.6.
Табл. 6.6
| Продолжительность воздействия, ч |
|
| 8 и более | 25 |
| 7 | 29 |
| 6 | 33 |
| 4 | 50 |
| 2 | 100 |
| 1 | 200 |
| 0,5 | 400 |
| 0,2 и менее | 1000 |
Защита расстоянием применяется в том случае, если невозможно ослабить интенсивность облучения другими мерами, в том числе и сокращением времени пребывания человека в опасной зоне. В этом случае прибегают к увеличению расстояния между излучателем и обслуживающим персоналом.
Помимо обеспечения заданной эффективности затухания и коэффициента реакции к экрану предъявляются следующие требования:
-
тепловой режим, пыле- и влагозащищенность, устойчивость к вибрационным и ударным нагрузкам;
-
требования эргономики, технологичности конструкции.
6.5.2 Фильтрация
Основным средством ослабления кондуктивных помех является фильтрация. Предназначенные для этой цели помехоподавляющие устройства позволяют снижать кондуктивные помехи как от внешних, так и от внутренних источников.
Эффективность фильтрации определяется вносимым затуханием, которое определяется по следующей формуле, взятой из [13]
, дБ (6.10)
где
- напряжение помех на нагрузке в исходном состоянии,
-напряжение на нагрузке при фильтрации.
К фильтру предъявляются следующие требования:
-
обеспечение заданной эффективности фильтрации в требуемом диапазоне частот;
-
ограничение по требованиям техники безопасности допустимого значения реактивной составляющей тока на основной частоте;
-
конструктивные: эффективность экранирования, минимальные габариты и масса, тепловой режим, стойкость к механическим и климатическим воздействиям, технологичность конструкции.
6.5.3 Заземление
Система заземления – это электрическая цепь, обладающая свойством сохранять минимальный потенциал, являющийся уровнем отсчета в конкретной аппаратуре.
Антенно-фидерны системы всегда заземляются отдельной цепью заземления. Т. к. антенны используются на высоте обычно превышающей высоту окружающих предметов, то необходимо предусмотреть наличие молниеотвода и заземления.
Согласно [26], молниеотвод защищает от прямых ударов, электростатической и электромагнитной индукции и заноса высоких потенциалов. Зона защиты молниеотвода должна быть типа А, которая обеспечивает степень надежности 99.5% и выше.
Для приема электростатичекого заряда молнии и отвода ее токов в землю служат специальные части молниезащиты-молниеотводы, которые состоят из несущей части (опоры), молниеприемника, токоотвода и заземлителя. В качестве конструкции выберем одиночный стержневой молниеотвод. Опора молниеотвода выполняется из стали любой марки, железобетона или дерева. Высоту опоры молниеотвода примем равной 2 м, тогда зона защиты для стержневого молниеотвода будет иметь вид, паредставленный на рис. 6.4.
Стержневой молниеприемник изготавливают из стали сечением не менее 100 мм2 и длиной не менее 200 мм. От каждого стержневого молниеприемника устраивают не менее двух токоотводов. Токоотводы, соединяющие сетку или кровлю с заземлителями прокладываются не реже, чем через 25 м по периметру здания. Токоотводы выполняются в виде стальных тросов, полос, труб, сечением (24–48 мм2) и прокладываются к заземлителям кратчайшим путем. Они должны быть оцинкованы, пролужены или окрашены. При прокладке во избежание разрыва от электродинамических усилий при больших токах молнии, необходимо избегать острых углов и петель. В качестве заземлителя можно использовать следующие конструкции:
а) углубленные из полосовой или круглой стали, укладываемые на дно котлована.
б) вертикальные из стальных ввинчиваемых стержней (2–5 м) или на уголковой стали; верхний конец заземлителя углубляется на 0,6–0,7 м.
в) горизонтальные – из круглой или полосовой стали (160 мм2), уложенные на глубине 0,6–0,8 м в виде одного или нескольких симметричных лучей.
г) комбинированные – вертикальные и горизонтальные.
Соединение молниеприемников токоотводов и заземлителей проводится с помощью сварки. Сопротивление заземлителя должно быть не более 10 Ом. Заземлитель защиты от прямых ударов молнии объединяют с заземлителем электроустановок.
Антенна имеет прямоугольную форму, подсчитаем ожидаемое количество поражений молнией в год (N) по следующей формуле, взятой из [26]:
, (6.11)
где h – наибольшая высота сооружения, м;
S, L – соответственно ширина и длина сооружения, м;
n – среднегодовое число ударов молнии в 1 км2 земной поверхности (удельная плотность ударов молнии в землю) в месте нахождения здания.
Для расчета используем следующие данные h=15 м (антенна установлена на крыше 5‑этажного дома), S=1 м, L=1 м, n=4 (соответствует среднегодовой продолжительности гроз 40–60 ч), тогда
Для защиты зданий от вторичных проявлений молнии предусматривают следующие мероприятия:
-
металлические корпуса всего оборудования и аппаратов, установленных в защищаемом объекте, присоединяют к заземляющему устройству электроустановок или к железобетонному фундаменту здания;
-
внутри здания между трубопроводами и другими протяженными металлическими конструкциями в местах их сближения на расстояние менее 10 см через каждые 30 м выполняют перемычки;
-
во фланцевых соединениях трубопроводов внутри здания обеспечивают нормальную затяжку не менее четырех болтов на каждый фланец.
Для защиты от вторичных проявлений молнии металлические корпуса объекта присоединяют к заземляющему устройству электрооборудования или к заземлителю защиты от прямых ударов молнии. Защиту от заноса высокого потенциала по подземным коммуникациям осуществляют присоединением их на вводе в сооружение к заземлителю электроустановок или защиты от прямых ударов молнии.
Защиту от заноса высокого потенциала по внешним наземным (надземным) коммуникациям выполняют путем их присоединения на вводе в сооружение к заземлителю электроустановок или защиты от прямых ударов молнии, а на ближайшей к вводу опоре коммуникации – к ее железобетонному фундаменту.
Рис. 6.4 Молниезащита антенны
Рабочее место разработчика данного программного продукта, находящееся в домашних условиях не удовлетворяет требованиям электробезопасности по следующим пунктам:
-
питание к ПЭВМ подводится от розетки не с помощью специальной вилки с заземляющим контактом,
-
не подключены к заземлению металлические части оборудования, доступные для оператора.
-
не предусмотрена защита сети от перегрузок
С точки зрения пожаробезопасности рабочее место не удовлетворяет следующим требованиям:
-
для оперативного оповещения не применяются средства автоматического обнаружения пожара и дымоулавливающие датчики;
2) для тушения пожара не установлены углекислотные огнетушители.
Микроклимат рабочего места соответствует всем требованиям. Для выполнения требований по освещенности требуется установить в помещении светильники, количество и тип которых был определен в ходе расчетов в разделе 6.2.4.
Оборудование удовлетворяет требованиям по шуму и вибрации. Современный дизайн системного блока и монитора ПЭВМ соответствует всем требованиям эргономики рабочего места.
Заключение
В дипломной работе были достигнуты следующие результаты:
-
Реализован алгоритм расчета взаимного сопротивления между полосковыми излучателями, выполненными на многослойной диэлектрической подложке, который основан на методе бесконечных периодических структур.
-
На осонове разработанного алгоритма в современном математическом пакете для инженерных расчетов Mathcad был создан пакет программ, позволяющий вычислить полевые и импедансные характеристики ФАР как с учетом, так и без учета взаимной связи между излучателями.
-
С помощью пакета программ были получены зависимости взаимного сопротивления между излучателями от расстояния при различных материалах диэлектрической подложки.
-
Рассчитаны диаграммы направленности при разных размерах антенной решетки.
-
Построены частотные зависимости характеристики ФАР и представлены возможности учета взаимной связи при согласовании ФАР с линией питания.
Приложение 1
Тексты файлов данных, генерируемых программой ФАР_вз_связь.mcd.
DataZ_2.6_1600_MHz.prn
**********************
/ Datafile written by Mathcad 8.0
// 06/03/01 02:22:29
MATRIX 0 0 2 1
{1,0,3,1} {2,1,24,1}
MATRIX 1 0 3 1
{3,1,26,1} {4,1,26,1} {5,1,26,1}
MATRIX 2 1 24 1
0.1786, 0 1600, 0 0.424, 0 0.424, 0
3, 0 1, 0 1, 0 2.6, 0
1, 0 1, 0 1, 0 1, 0
0, 0 0, 0 2, 0 2, 0
0.5, 0 0.5, 0 1, 0 1, 0
1, 0 1, 0 50, 0 0.9285, -2.086
MATRIX 3 1 26 1
1.456, -1.515 0.8771, -2.077 0.9393, -2.066 0.9322, -2.069
0.9266, -2.057 0.9319, -2.074 0.9283, -2.061 0.9266, -2.071
0.925, -2.071 0.925, -2.071 0.925, -2.071 0.925, -2.071
0.925, -2.071 0.925, -2.071 0.925, -2.071 0.925, -2.071
0.925, -2.071 0.925, -2.071 0.925, -2.071 0.925, -2.071
0.925, -2.071 0.925, -2.071 0.925, -2.071 0.925, -2.071
0.925, -2.071 0.925, -2.071
MATRIX 4 1 26 1
1.348, -2.099 0.7965, -2.097 0.962, -2.094 0.9431, -2.095
0.9167, -2.097 0.9337, -2.096 0.9257, -2.094 0.9277, -2.095
0.9277, -2.095 0.9277, -2.095 0.9277, -2.095 0.9277, -2.095
0.9277, -2.095 0.9277, -2.095 0.9277, -2.095 0.9277, -2.095
0.9277, -2.095 0.9277, -2.095 0.9277, -2.095 0.9277, -2.095
0.9277, -2.095 0.9277, -2.095 0.9277, -2.095 0.9277, -2.095
0.9277, -2.095 0.9277, -2.095
MATRIX 5 1 26 1
1.06, -2.179 0.9546, -2.071 0.9197, -2.073 0.9318, -2.089
0.9291, -2.083 0.9238, -2.083 0.9298, -2.084 0.9298, -2.084
0.9298, -2.084 0.9298, -2.084 0.9298, -2.084 0.9298, -2.084
0.9298, -2.084 0.9298, -2.084 0.9298, -2.084 0.9298, -2.084
0.9298, -2.084 0.9298, -2.084 0.9298, -2.084 0.9298, -2.084
0.9298, -2.084 0.9298, -2.084 0.9298, -2.084 0.9298, -2.084
0.9298, -2.084 0.9298, -2.084
DataZ_2.6_1680_MHz.prn
*********************
// Datafile written by Mathcad 8.0
// 06/03/01 18:12:43
MATRIX 0 0 2 1
{1,0,3,1} {2,1,24,1}
MATRIX 1 0 3 1
{3,1,26,1} {4,1,26,1} {5,1,26,1}
MATRIX 2 1 24 1
0.1786, 0 1680, 0 0.424, 0 0.424, 0
3, 0 1, 0 1, 0 2.6, 0
1, 0 1, 0 1, 0 1, 0
0, 0 0, 0 2, 0 2, 0
0.5, 0 0.5, 0 1, 0 1, 0
1, 0 1, 0 50, 0 1.059, 0.1557
MATRIX 3 1 26 1
1.695, 0.9479 0.9997, 0.1609 1.071, 0.1726 1.063, 0.1697
1.057, 0.1837 1.063, 0.1637 1.059, 0.1785 1.057, 0.1665
1.055, 0.1668 1.055, 0.1668 1.055, 0.1668 1.055, 0.1668
1.055, 0.1668 1.055, 0.1668 1.055, 0.1668 1.055, 0.1668
1.055, 0.1668 1.055, 0.1668 1.055, 0.1668 1.055, 0.1668
1.055, 0.1668 1.055, 0.1668 1.055, 0.1668 1.055, 0.1668
1.055, 0.1668 1.055, 0.1668
MATRIX 4 1 26 1
1.575, 0.1778 0.9067, 0.1373 1.097, 0.1465 1.076, 0.1443
1.045, 0.1416 1.065, 0.1427 1.056, 0.1443 1.058, 0.1439
1.056, 0.146 1.056, 0.146 1.056, 0.146 1.056, 0.146
1.056, 0.146 1.056, 0.146 1.056, 0.146 1.056, 0.146
1.056, 0.146 1.056, 0.146 1.056, 0.146 1.056, 0.146
1.056, 0.146 1.056, 0.146 1.056, 0.146 1.056, 0.146
1.056, 0.146 1.056, 0.146
MATRIX 5 1 26 1
1.223, 0.06011 1.089, 0.1706 1.048, 0.1685 1.063, 0.1494
1.059, 0.1567 1.053, 0.1562 1.06, 0.155 1.06, 0.155
1.06, 0.155 1.06, 0.155 1.06, 0.155 1.06, 0.155
1.06, 0.155 1.06, 0.155 1.06, 0.155 1.06, 0.155
1.06, 0.155 1.06, 0.155 1.06, 0.155 1.06, 0.155
1.06, 0.155 1.06, 0.155 1.06, 0.155 1.06, 0.155
1.06, 0.155 1.06, 0.155
DataZ_2.6_1740_MHz.prn
*********************
// Datafile written by Mathcad 8.0
// 06/03/01 17:35:22
MATRIX 0 0 2 1
{1,0,3,1} {2,1,24,1}
MATRIX 1 0 3 1
{3,1,26,1} {4,1,26,1} {5,1,26,1}
MATRIX 2 1 24 1
0.1786, 0 1740, 0 0.424, 0 0.424, 0
3, 0 1, 0 1, 0 2.6, 0
1, 0 1, 0 1, 0 1, 0
0, 0 0, 0 2, 0 2, 0
0.5, 0 0.5, 0 1, 0 1, 0
1, 0 1, 0 50, 0 1.169, 1.777
MATRIX 3 1 26 1
1.896, 2.801 1.104, 1.778 1.182, 1.79 1.173, 1.786
1.166, 1.802 1.173, 1.78 1.169, 1.797 1.166, 1.783
1.164, 1.783 1.164, 1.783 1.164, 1.783 1.164, 1.783
1.164, 1.783 1.164, 1.783 1.164, 1.783 1.164, 1.783
1.164, 1.783 1.164, 1.783 1.164, 1.783 1.164, 1.783
1.164, 1.783 1.164, 1.783 1.164, 1.783 1.164, 1.783
1.164, 1.783 1.164, 1.783
MATRIX 4 1 26 1
1.768, 1.84 1.001, 1.751 1.211, 1.766 1.187, 1.763
1.154, 1.76 1.175, 1.761 1.165, 1.763 1.167, 1.763
1.165, 1.765 1.165, 1.765 1.165, 1.765 1.165, 1.765
1.165, 1.765 1.165, 1.765 1.165, 1.765 1.165, 1.765
1.165, 1.765 1.165, 1.765 1.165, 1.765 1.165, 1.765
1.165, 1.765 1.165, 1.765 1.165, 1.765 1.165, 1.765
1.165, 1.765 1.165, 1.765
MATRIX 5 1 26 1
1.362, 1.684 1.202, 1.792 1.157, 1.788 1.173, 1.767
1.169, 1.776 1.163, 1.775 1.17, 1.774 1.17, 1.774
1.17, 1.774 1.17, 1.774 1.17, 1.774 1.17, 1.774
1.17, 1.774 1.17, 1.774 1.17, 1.774 1.17, 1.774
1.17, 1.774 1.17, 1.774 1.17, 1.774 1.17, 1.774
1.17, 1.774 1.17, 1.774 1.17, 1.774 1.17, 1.774
1.17, 1.774 1.17, 1.774
Библиографический список
1. Князев С.Т. Расчет электродинамических характеристик антенных решеток при наличии слоистого диэлектрика, Свердловск, 1984.
2. Метод расчета взаимных сопротивлений, основанный на теории бесконечных периодических структур. Князев С.Т., Наймушин М.П., Панченко Б.А.-Радиотехника и электроника, вып. 6, 1046–1049 с., 1985.
3. Сазонов Д.М. Антенны и устройства СВЧ: Учеб. для радиотехнич. спец. вузов.-М. Высш. шк., 1988. – 432 с.
4. Антенны и устройства СВЧ. Проектирование фазированных антенных решеток: Учеб. пособие для вузов/ В.С. Филиппов, Л.И. Пономарев, А.Ю. Гринев и др.; Под ред. Д.И. Воскресенского. 2-е изд. – М.: Радио и связь, 1994 – 592 с.
5. Вендик О.Г. Антенны с немеханическим движением луча (введение в теорию). – М.: Советское радио, 1965.
6. Анализ и синтез антенных решеток/ Чаплин А.Ф. – Львов: Вища шк. Изд-во при Львов. ун-те. 1987. – 180 с.
7. Сканирующие антенные системы СВЧ. т. II, перевод с англ. под ред. Г.Т. Маркова и А.Ф. Чаплина, изд-во Советское радио, 496 с.
8. Организационно-экономическое обоснование конструкторско-технологических проектов в условиях рыночной экономики: методические указания по дипломному проектированию / С.П. Павлов, В.А. Сорокин. Екатеринбург: УГТУ, 1995.
9. Оформление учебных программных продуктов: методические указания / С.Ю. Дайлис, Р.А. Петров. Екатеринбург: УГТУ, 1996.
10. ГОСТ 19.504–79. Руководство программиста.
11. О составе затрат и единых нормах амортизационных отчислений: Сборник нормативных документов с комментариями, 2000.
12. ГОСТ 12.1.019–79. ССБТ. Электробезопасность. Общие требования.
13. Мырова Л.О. Обеспечене стойкости аппаратуры связи к ионизирующим и электромагнитным излучениям – М.: Радио и Связь, 1988.
14. СанПиН 2.2.2.542–96. Гигиенические требования к видеодисплейным терминалам, персональным электронно-вычислительным машинам и организации работы.
15. ГОСТ 28195–89. Оценка качества программных средств. Общие положения.
16. ГОСТ 28806–90. Качество программных средств. Термины и определения.
17. ГОСТ 12.1.033–81. ССБТ. Пожарная безопасность объектов с электрическими сетями.
18. ГОСТ 12.1.004–85. ССБТ. Пожарная безопасность. Общие требования.
19. ОНТП 24–86. Общесоюзные нормы технического проектирования. Определение категорий помещений и зданий по взрывоопасной и пожарной безопасности.
20. СниП 2.01.02–85. Противопожарные нормы и правила.
21. Кобевник В.Ф. Охрана труда – Киев: В.Ш., 1990.
22. Безопасность жизнедеятельности. Безопасность технологических процессов и производств: Учебное пособие для вузов/ П.П. Кукин, В.Л. Лапин, Е.А. Подгорных. – М. Высш. шк., 1999.
23. ГОСТ 12.1.038–82. Электробезопасность. Предельно допустимые значения напряжений прикосновения и токов.
24. Долин П.А. Основы техники безопасности в электроустановках. М.: Энергоатомиздат, 1984.
25. ГОСТ 12.4.009–85. ССБТ. Пожарная техника для защиты объектов. Общие требования.
26. Требования пожарной безопасности к проектам сооружений. Internet‑адрес: http://www.zodchiy.ru/s-info/archive/24.97
1>0>0>0>
Ом/м. Рассчитаем сопротивление вертикального электрода:















