183779 (584797), страница 2
Текст из файла (страница 2)
Так как α =87 и это число находится в строке, соответствующей А2, то А2 – стратегия крайнего пессимизма, ожидаемый выигрыш равен 87 единицам. Так как β =117 и это число находится в строке, соответствующей А3, то А3 стратегия крайнего оптимизма, ожидаемый выигрыш равен 117 единицам. Так как γ =97 и это число находится в строке, соответствующей А2, то А2 стратегия оптимизма-пессимизма, ожидаемый выигрыш равен 97 единицам.
Задание 5. Системы массового обслуживания
1. Дайте описание входящего потока требований и каналов обслуживания. Какие экономические показатели характеризуют работу СМО?
Системы массового обслуживания - это такие системы, в которые в случайные моменты времени поступают заявки на обслуживание, при этом поступившие заявки обслуживаются с помощью имеющихся в распоряжении системы каналов обслуживания. С позиции моделирования процесса массового обслуживания ситуации, когда образуются очереди заявок (требований) на обслуживание, возникают следующим образом. Поступив в обслуживающую систему, требование присоединяется к очереди других (ранее поступивших) требований. Канал обслуживания выбирает требование из находящихся в очереди, с тем, чтобы приступить к его обслуживанию. После завершения процедуры обслуживания очередного требования канал обслуживания приступает к обслуживанию следующего требования, если такое имеется в блоке ожидания. Цикл функционирования системы массового обслуживания подобного рода повторяется многократно в течение всего периода работы обслуживающей системы. При этом предполагается, что переход системы на обслуживание очередного требования после завершения обслуживания предыдущего требования происходит мгновенно, в случайные моменты времени.
Обслуживание требований в СМО производится обслуживающими приборами. Классическая СМО содержит от одного до бесконечного числа приборов. Основными элементами СМО являются: входящий поток требований, очередь требований, обслуживающие устройства, (каналы) и выходящий поток требований Входящий поток требований - совокупность требований, поступающих в СМО. В общем случае под требованием обычно понимают запрос на удовлетворение некоторой потребности. Входящий поток требований изучается с целью установления закономерностей этого потока и дальнейшего улучшения качества обслуживания. В большинстве случаев входящий поток неуправляем и зависит от ряда случайных факторов. Число требований, поступающих в единицу времени, случайная величина. Случайной величиной является также интервал времени между соседними поступающими требованиями. Однако среднее количество требований, поступивших в единицу времени, и средний интервал времени между соседними поступающими требованиями предполагаются заданными. Среднее число требований, поступающих в систему обслуживания за единицу времени, называется интенсивностью поступления требований, и она показывает, сколько в среднем требований поступает в единицу времени.
Средства, обслуживающие требования, называются обслуживающими устройствами или каналами обслуживания. Одной из важнейших характеристик обслуживающих устройств, которая определяет пропускную способность всей системы, является время обслуживания. Время обслуживания одного требования - случайная величина, которая может изменяться в большом диапазоне. Она зависит от стабильности работы самих обслуживающих устройств, так и от различных параметров, поступающих в систему, требований. Интенсивность обслуживания показывает, сколько в среднем требований обслуживается одним каналом в единицу времени.
Экономические показатели, характеризующие работу СМО:
Pk - доля времени работы k каналов, k=0,1,+,n;
L - средняя длина очереди
P0 - вероятность того, что система свободна
П - вероятность образования очереди
Pотк - вероятность отказа в обслуживании
g - относительная пропускная способность
А - абсолютная пропускная способность
nзан - среднее количество занятых каналов
tож - среднее время нахождения в очереди
2. В магазине самообслуживания работают две кассы с интенсивностью µ=(β+300)/100 (треб./мин.) каждая. Входящий поток требований имеет интенсивность λ=(β+400)/100 (треб./мин.). Рассчитай те долю времени простоя касс и среднюю длину очереди. Если интенсивность входящего потока станет равной λ =(700- β)/10 (треб./мин.), то будет ли выполнено условие стационарности? Если будет, то во сколько раз увеличится средняя длина очереди?
Пусть β =523. Тогда µ=8,23 (треб./мин.), а первоначальное значение λ равно 9,23 (треб./мин.)
α = 9,23/8,23=1,122
р0= (2-1,122)/(2+1,122) = 0,878/3,122 = 0,281 (р0 = 28,1%)
L1 = (1,122) /4- (1,122) = 1,412/2,741 = 0,515 (треб.)
Если интенсивность λ станет равной (700-523)/10 = 17,7 (треб./мин.), то в силу неравенства 17,7 › 2·8,23 условие стационарности СМО не будет выполнено.
Задание 6 Оптимальное управление запасами
1. Сформулируйте задачу оптимального управления запасами.
Задача: определить такой объем заказываемой партии товара, при котором затраты на складские операции в единицу времени будут минимальные и темп поступления заказанного товара будет, превышает норму спроса на этот товар.
2. Дайте экономическую интерпретацию предельной арендной платы.
Предельная арендная плата λ экономически интерпретируется как предельная (максимальная) арендная плата за использование дополнительных складских емкостей. Если фактическая арендная плата α
меньше либо равна предельной λ
, т.е. α ≤ λ, то аренда выгодна, если же α › λ, то аренда не выгодна.
3. Сделайте вывод о целесообразности аренды дополнительных складских емкостей или о необходимости сокращения объема заказываемой партии товара с учетом имеющихся складских емкостей при сравнении фактической α (руб/кг*сут) и предельной λ (руб/кг*сут) арендной платы за хранение единицы товара в единицу времени.
α = (700 – β) / 4000
λ = (β – 400) / 4000
Решение
α = (700 – 523) / 4000 = 0,044 (руб/кг*сут)
λ = (523– 400) / 4000 = 0,031 (руб/кг*сут)
α › λ
Вывод: фактическая арендная плата больше предельной арендной платы. Следовательно, аренда дополнительных складских емкостей невыгодна, и тогда объем заказываемой партии надо сократить до таких пределов, чтобы возникший товарный запас можно было разместить в имеющихся складских емкостях.
Задание 7. Выборочный метод
1. Дайте понятия генеральной и выборочной совокупностей.
Совокупность генеральная - множество результатов всех возможных наблюдений, которые могли бы быть получены при данном исследовании. При выборочном наблюдении совокупность генеральную называют совокупность (множество) объектов, из которых производится выборка.
Выборочная совокупность - часть объектов из генеральной совокупности, отобранных для изучения, с тем чтобы сделать заключение о всей генеральной совокупности.
2. Определите соотношения между доверительными интервалами:
а) при фиксированных значениях среднеквадратического отклонения σ, надежности Р и различных значениях объема выборки
n1=610- β, n2= β -490;
б) при фиксированных значениях среднеквадратического отклонения σ, объема выборки n и различных значениях надежности
р1=800- β /400
р2= β-300/400
в) при фиксированных значениях надежности Р, объема выборки n и различных значениях среднеквадратического отклонения
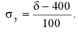
σ1= (700- β)/100
σ2 = (β – 400)/100
а) n1=610-523=87 ; n2=523-490=33.
Объемы выборок находятся в соотношении n1 >n2 . Тогда из формулы нахождения погрешности следует, что при возрастании объема выборки n значение Δ уменьшается и Δ1< Δ2, т.е. доверительный интервал, соответствующий объему выборки n1=87, будет меньше доверительного интервала, соответствующего объему выборки n2=33.
Задание 8. Корреляционные методы
1. Дайте понятия функциональной и корреляционной зависимостей.
Корреляционная зависимость - это такая связь между результативными и факторными признаками, когда значение результативного признака функции полностью определяется значениями факторных признаков.
Функциональная зависимость - форма устойчивой взаимосвязи между объективными явлениями или отражающими их величинами, при которой изменение одних явлений вызывает определенное количественное изменение (определенным значениям факторных признаков соответствует множество случайных значений результативного признака).
2. Коэффициент корреляции. Его смысл и свойства.
Коэффициент корреляции показывает степень статистической зависимости между двумя числовыми переменными.
Коэффициентом корреляции rху случайных величин X и Y называется отношение корреляционного момента к произведению средних квадратических отклонений этих величин.
rxy = µxy/σxσy
Коэффициент корреляции является безразмерной величиной. Коэффициент корреляции независимых случайных величин равен нулю.
Свойства:
-
Абсолютная величина корреляционного момента двух случайных величин Х и Y не превышает среднего геометрического их дисперсий.
│µxy│≤ √DxDy
-
Абсолютная величина коэффициента корреляции не превышает единицы.
│rxy│≤ 1
Случайные величины называются коррелированными, если их корреляционный момент отличен от нуля, и некоррелированными, если их корреляционный момент равен нулю. Если случайные величины независимы, то они и некоррелированы, но из некоррелированности нельзя сделать вывод о их независимости. Если две величины зависимы, то они могут быть как коррелированными, так и некоррелированными.
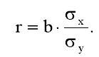
3. Оцените тесноту связи и направление связи между признаками x и y, если известны: b – коэффициент регрессии,
– среднеквадратические отклонения признаков x и y.
Направление и теснота связи между признаками x и y оцениваются на основе коэффициента корреляции, который рассчитывается по формуле
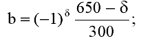
b = (-1) (650-523)/300 = -0,423;
-
= (700-523)/100 = 1,77;
-
= (523-400)/100 = 1,23;
r = -0,423* 1,77/1,23 = -0,423*1,439 = -0,609;
r = -0,609.
Полученный коэффициент корреляции показывает, что связь между признаками x и y умеренная и обратная, т.е. при возрастании факторного признака x значение результативного признака y уменьшается.
Список используемой литературы
-
Иванилов Ю.П., Лотов А.В. Математические методы в экономике – М.: Наука, 1979.
-
Лопатников Л.И. Экономико-математический словарь. – М.: Наука, 1987.
-
Экономико-математические методы и прикладные модели: Учеб. пособие для вузов / Под ред. В.В. Федосеева. - М.: ЮНИТИ, 2000.
-
Громенко В. В. Математическая экономика: Учебно-практическое пособие, руководство по изучению дисциплины, учебная программа по дисциплине / Московский государственный университет экономики, статистики и информатики. – М.:МЭСИ, 2004. – 100 с.
-
Щедрин И.И., Кархов А.Н. Экономико-математические методы в торговле. – М.: Экономика , 1980.















