183744 (584780)
Текст из файла
Министерство образования и науки РФ
Федеральное агентство по образованию Российской Федерации
Удмуртский государственный университет
Институт экономики и управления УдГУ
КОНТРОЛЬНАЯ РАБОТА
по курсу «Экономико-математическое планирование»
на тему:
«Математическая модель экономики посредников»
Преподаватель: Гольфман
Алексей Филлипович
Выполнил: Килин
Алексей Валентинович
Ижевск, 2009
Экономическая ситуация в России вышла за рамки всех исторических аналогов и всех, описанных в литературе. История не знает прецедентов, когда рабочим месяцами не выплачивают зарплату, доля бартера в расчетах между предприятиями превзошла 50 процентов, возрастает объем неплатежей между предприятиями, не выплачиваются налоги в федеральный и местные бюджеты. Дошло до того, что одна крупная фирма заплатила налоги в бюджет одного из регионов пачками чая по 150 рублей штука, и пластмассовыми табличками по 6000 рублей. Надпись на табличках гласила: "ВЫХОДА НЕТ". Перед экономической наукой встала задача по объяснению описанных парадоксов.
Условно можно выделить две научные школы, имеющих совершенно различный взгляд на причины сложившейся ситуации. Первую из них можно назвать школой технологической неэффективности. К ней относятся такие ученые, как Е. Гайдар, А. Илларионов, Б. Икес, Р. Фридман, А. Рападзински, Дж. Эрли. Они считают, что в экономике много технологически отсталых фирм, себестоимость продукции которых выше, чем ее рыночная цена. В таких условиях любая западная фирма разорилась бы в короткий срок. Но у российских предприятий есть два запасных выхода: они могут добиваться субсидий, или хотя бы фактического права не платить налоги, шантажируя правительство угрозой увольнения большого количества работников. Второй выход заключается в том, что предприятие завышает цену на свою продукцию, и ищет другое предприятие, которое готово поменять по бартеру свою также нерентабельную продукцию. Так в экономике возникают бартерные цепочки. Когда у кого-либо из участников цепочки возникает необходимость в живых деньгах, он вынужден продать полученную по бартеру продукцию по реальной рыночной цене, что приводит к крупным убыткам, которые предприятие перекладывает на своих контрагентов в виде неплатежей. Эту точку зрения представляла недавно опубликованная в журнале модель Гадди и Икеса. Выход из ситуации видится достаточно простым: необходимо обанкротить все нерентабельные предприятия (больше половины российской промышленности), привлечь иностранные инвестиции и на обновленной технической базе построить новую промышленность. В этом рецепте существует, правда, существенный изъян: ни один нормальный инвестор не станет вкладывать деньги в страну, где около половины населения не имеют работы и средств к пропитанию.
Другую школу можно условно назвать школой институциональной неэффективности. К ней можно отнести таких ученых, как Д. Львов, С. Глазьев, А. Некипелов, Г. Шмелев, А. Белоусов и др. Представители этой школы считают, что, хотя технологическая база российской экономики действительно устарела, чрезвычайно низкая цена труда позволила бы ей быть достаточно прибыльной, если бы не определенные институциональные особенности сложившейся экономической системы. Полученная прибыль могла бы стать основой собственных средств, инвестируемых в развитие производства – основного источника инвестиций во всем мире. Однако, результатом проведенной приватизации стала такая ситуация, когда высший менеджмент не является хозяином предприятий, но осуществляет никем не контролируемое оперативное управление собственностью. Совершенно естественно в таком случае желание менеджмента "приватизировать" текущий доход от деятельности предприятия, направив финансовые потоки через подконтрольные структуры. Из-за нежелания, чтобы живые деньги уходили из рук менеджмента, в качестве платежных средств активно используются бартер, квазиденьги и неплатежи. Поэтому для возрождения экономики необходимо сначала провести не технологическую, а институциональную реструктуризацию, в основе которой должна лежать коренная реформа отношений прав собственности. Только после этого можно будет найти внутренние источники инвестиций для технического перевооружения промышленности.
Безусловно, в реальной российской экономике одновременно присутствуют как элементы технологической, так и институциональной неэффективности. Однако, необходимо выяснить вопрос о том, какие элементы являются доминирующими и определяют генеральное направление развития экономики, а какие второстепенны и лишь дополняют картину. Представленные в статье статическая и динамическая модели экономики, созданные на базе взглядов экономистов школы институциональной неэффективности, показывают, что их подход позволяет объяснить многие парадоксальные явления российской действительности от кризиса неплатежей до системного кризиса, разразившегося после 17 августа.
В статической модели рассматривается такой интересный феномен, как возникновение в экономике нового типа посредников, редко встречающихся в рыночных экономиках. Эти посредники навязывают предприятиям невыгодные условия поставок сырья и сбыта продукции и обогащаются фактически за счет безвозмездного присвоения амортизационных, налоговых отчислений и отчислений на оплату труда. Основное отличие этого типа посредников от классических заключается в том, что нормы прибыли посредников и предприятий не имеют тенденции к выравниванию. Это наглядно видно из того, что посредники вывозят за границу капитал в больших количествах, тогда как предприятия не имеют денег на выплату зарплаты.
Построенная модель описывает такие особенности российской экономики, как высокий уровень налоговых ставок, низкая собираемость налогов, высокая степень криминализации экономики, существование посредников, паразитирующих на предприятиях, и кризис неплатежей.
Модель создана на основе следующих предпосылок:
-
экономика состоит из ряда невзаимосвязанных отраслей, в каждой из которых действует единственное предприятие - монополист, кривая спроса на продукцию которого имеет отрицательный наклон;
-
предприятие может реализовывать свою продукцию как самостоятельно, так и через единственного посредника. При самостоятельной реализации предприятие устанавливает цену на свою продукцию pl, при реализации через посредника достигается договоренность по поставке посреднику количества продукции, равного xt по цене pt. Посредник перепродает продукцию на рынке по цене pc, конкурируя с предприятием;
-
в целях упрощения предполагается, что предприятие обложено легальным налогом с выручки по ставке tl и обозначим l tl. Считается, что, используя связи с коррумпированными бюрократами, посредник вообще не платит легальные налоги, но уплачивает "теневые" налоги с прибыли по ставке tc; положим c tc. Для упрощения предполагается, что посредник имеет нулевые издержки, таким образом, его прибыль после "налогообложения" равна n=cxt (pc-pt);
-
очевидно, для того, чтобы реализовать продукцию на рынке, посредник должен установить на нее цену не выше, чем цена предприятия: pc pl. Если обозначить спрос на продукцию, выпускаемую предприятием, D(pl), то, поскольку цена у посредника не выше цены предприятия, он продаст xt, а спрос на продукцию предприятия составит D(pl) – xt. Из того условия, что количество продаж предприятия неотрицательно, следует, что D(pl) xt. Прибыль предприятия составит l=l (pl (D(pl)–xt)+ptxt) – C(D(pl)), где C(x) – издержки предприятия по производству количества продукции, равного x;
-
высший менеджмент предприятия заинтересован как в прибыли предприятия, так и в прибыли посредника. Последнее достигается двумя путями: либо участием менеджеров предприятия в прибылях посредника, либо запугиванием менеджеров со стороны преступных групп, владеющих фирмой - посредником. Примем, что высший менеджмент предприятия максимизирует свою целевую функцию l+(1-n, где степень заинтересованности менеджмента в прибыли своего предприятия. Очевидно, 0 По своей сути является параметром, характеризующим институциональную структуру экономики: он отражает, в какой мере высший менеджмент предприятий заинтересован в добросовестном исполнении налагаемых на него в рыночной экономике параметров, поэтому среднее значение можно трактовать как меру рыночности экономики. Отсутствие специфических российских феноменов в экономиках развитых стран по мнению автора объясняется тем, что там среднее значение близко к единице.
Предположим, что С(х) и D(p) дважды дифференцируемы, тогда, решив поставленную задачу стандартным методом Лагранжа максимизации функции нескольких переменных при наличии ограничений, получим:
где С ' (х)=dС(х)/dx, D ' (p)=dD(p)/dp.
Таким образом, если доля выручки, оставляемая предприятию государством, с учетом значимости этой доли выручки для менеджмента предприятия (l), будет меньше доли выручки, оставляемой криминальными структурами посреднику, с учетом значимости этой доли выручки для менеджмента ((1-)c), то предприятие всю торговлю будет осуществлять через посредника, в противном случае вся торговля будет осуществлятся предприятием самостоятельно. На взгляд автора, в этом и заключается инициирующий механизм кризиса неплатежей: поскольку предприятия, торгующие через посредников, не получают выручки, но имеют затраты на производство продукции, то они перекладывают свою задолженность на своих контрагентов. В свою очередь, контрагенты вынуждены перекладывать эту задолженность дальше, разворачивая цепочку неплатежей.
Для получения решения уравнений в явном виде, подставим в них простейшие функции спроса и предложения в виде: D(p)=max(d0-d1p,0), C(x)=c1x. Мы получим:
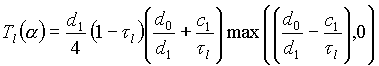
Тогда величина сбора легальных налогов составит:
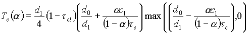
Объем нелегальных налогов будет равен:
Следует отметить тот факт, что в приведенной модели предприятие платит налоги либо только государству, либо только криминальным структурам. По всей видимости, это объясняется тем, что функция полезности менеджмента предприятия моделируется линейной комбинацией прибыли предприятия и посредника. В реальности это условие, вероятно, не соблюдается, поэтому часть деятельности предприятия осуществляется легально, а часть – нелегально. Введение нелинейной функции полезности усложнило бы математические выкладки, не приведя к принципиально новым результатом, поэтому в рамках данной модели факт сбора налогов как криминальными структурами, так и государством объясняется различием в значении параметра у менеджмента различных предприятий. Те предприятия, у менеджмента которых с/(с+l), платят налоги государству, а те, у которых <с/(с+l), платят налоги криминальным структурам.
Теперь вычислим суммарный сбор налогов со всех предприятий. Для этого необходимо подобрать плотность распределения dW() на интервале от 0 до 1. К сожалению, оценка реальных вида распределения и параметров этого распределения невозможна, в виду отсутствия статистических данных. В рамках данной модели в целях упрощения можно предположить, что все предприятия имеют одинаковые параметры c1, d0 и d1. В качестве плотности распределения dW() возьмем функцию вида:
В формуле введено обозначение: - параметр, характеризующий среднюю заинтересованность менеджмента в прибыли своих предприятий и связанный с ней соотношениями:
Введеная таким образом плотность распределения a непрерывно дифференцируема на интервале (0;1) и стремится к 0 на его границах, что соответствует интуитивным предпосылкам Она позволяет варьировать степень средней заинтересованности менеджмента предприятий в результатах их деятельности, и удобна для интегрирования.
После выбора плотности распределения a можно получить значения суммарного сбора налогов государством, криминальными структурами, суммарных объемов производства в легальном секторе экономики, суммарных объемов производства в теневом секторе экономики, суммарных прибылей предприятий легального сектора, суммарных прибылей посредников и суммарных убытков предприятий, торгующих через посредников (что в рамках данной модели трактуется как объем неплатежей в экономике. Также можно рассчитать средние уровени цен в легальном секторе, теневом секторе и в целом по экономике. Однако формулы получаются чрезвычайно громоздкими, поэтому ниже будут приведены их графики. Вычислив в явном виде вышеназванные величины, можно приступить к исследованию модели. Исходная гипотеза заключается в том, что коррумпированный бюрократический аппарат сросся с криминальными структурами, поэтому бюрократы непосредственно устанавливают такой уровень теневых налоговых ставок и лоббируют установление такого уровня официальных налоговых ставок, чтобы максимизировать свою целевую функцию вида Tl+(1-)Tс, где параметр характеризует степень заинтересованности бюрократического аппарата в пополнении бюджета. С формальной точки зрения, необходимо найти максимум этой функции по параметрам l и c. Поскольку затруднительно найти аналитическое выражение для l и c, соответствующих максимуму целевой функции бюрократического аппарата, в представленной модели он ищется численно.
Полученные в модели формулы громоздки и сложны для анализа, поэтому представим их графики.
На рисунке 1 изображены поверхности Лаффера, характеризующие зависимость сбора налогов от значений ставок легальных и теневых налогов, отложенных в горизонтальной плоскости. На левом верхнем рисунке изображена кривая зависимости легальных налоговых сборов от доли дохода, оставляемого в распоряжении фирмы легальными и нелегальными структурами (tl и tc соответственно). При каждой фиксированной величине tс мы получаем известную в макроэкономике кривую Лаффера: по мере увеличения ставки налога (уменьшения tl) налоговые сборы сначала растут, а затем начинают падать из-за ухода в теневой сектор и свертывания производства. При величине tl<c1d1/d0 легальное производство полностью прекращается, так как производители вынуждены устанавливать такие цены, что спрос на их продукцию падает до 0. При меньшей величине нелегального налогообложения (большей величине tс) высота соответствующей кривой Лаффера ниже: большее количество предприятий уходят в теневой сектор из-за возрастания выгодности правонарушений. Поэтому при каждой фиксированной величине tl по мере возрастания tс собираемость налогов снижается. Левый нижний рисунок отражает ситуацию со сбором нелегальных теневых налогов, которая является инверсной по отношению к ситуации в легальном секторе: при фиксированной легальной ставке налога наблюдается эффект Лаффера в зависимости от значения нелегальной ставки, а при уменьшении налогообложения в легальном секторе и сохранении нелегальной ставки на том же уровне, собираемость нелегальных налогов падает. На правом рисунке изображена целевая функция бюрократического аппарата, которая в данной модели в целях упрощения представляет линейную комбинацию легальных и нелегальных сборов, взвешенных с весами b и 1-b соответственно. Белыми полосами отмечено множество недоминируемых альтернатив между сбором легальных и теневых налогов. Оно представляет множество таких комбинаций налоговых ставок, для каждой из которых невозможно увеличить собираемость одного из видов налогов, не уменьшив собираемости другого. При принятии решения о установлении налоговых ставок рационально действующий аппарат будет принимать во внимание только альтернативы из этого множества.
Характеристики
Тип файла документ
Документы такого типа открываются такими программами, как Microsoft Office Word на компьютерах Windows, Apple Pages на компьютерах Mac, Open Office - бесплатная альтернатива на различных платформах, в том числе Linux. Наиболее простым и современным решением будут Google документы, так как открываются онлайн без скачивания прямо в браузере на любой платформе. Существуют российские качественные аналоги, например от Яндекса.
Будьте внимательны на мобильных устройствах, так как там используются упрощённый функционал даже в официальном приложении от Microsoft, поэтому для просмотра скачивайте PDF-версию. А если нужно редактировать файл, то используйте оригинальный файл.
Файлы такого типа обычно разбиты на страницы, а текст может быть форматированным (жирный, курсив, выбор шрифта, таблицы и т.п.), а также в него можно добавлять изображения. Формат идеально подходит для рефератов, докладов и РПЗ курсовых проектов, которые необходимо распечатать. Кстати перед печатью также сохраняйте файл в PDF, так как принтер может начудить со шрифтами.














