183548 (584688)
Текст из файла
Задания к контрольной работе.
Задание 1.
В каждом варианте приведены поквартальные данные о кредитах от коммерческого банка на жилищное строительство (в условных единицах) за 4 года (всего 16 кварталов, первая строка соответствует первому кварталу первого года).
Требуется:
1) Построить адаптивную мультипликативную модель Хольта-Уинтерса с учетом сезонного фактора, приняв параметры сглаживания α1 =0,3; α2=0,6; α3=0,3.
2) Оценить точность построенной модели с использованием средней относительной ошибки аппроксимации.
3) Оценить адекватность построенной модели на основе исследования:
-
случайности остаточной компоненты по критерию пиков;
-
независимости уровней ряда остатков по d-критерию (критические значения d1, = l,10 и d2=1,37) и по первому коэффициенту автокорреляции при критическом значении r1 =0,32;
-
нормальности распределения остаточной компоненты по R/S-критерию с критическими значениями от 3 до 4,21.
4) Построить точечный прогноз на 4 шага вперед, т.е. на 1 год.
5) Отразить на графике фактические, расчетные и прогнозные данные.
| Квартал | 1 | 2 | 3 | 4 | 5 | 6 | 7 | 8 | 9 | 10 | 11 | 12 | 13 | 14 | 15 | 16 |
| Вариант 9 | 41 | 52 | 62 | 40 | 44 | 56 | 68 | 41 | 47 | 60 | 71 | 44 | 52 | 64 | 77 | 47 |
Решение:
1. Построение адаптивной мультипликативной модели Хольта-Уинтерса:
Исходные данные:
Таблица 1.
| t | 1 | 2 | 3 | 4 | 5 | 6 | 7 | 8 | 9 | 10 | 11 | 12 | 13 | 14 | 15 | 16 |
| Y(t) | 41 | 52 | 62 | 40 | 44 | 56 | 68 | 41 | 47 | 60 | 71 | 44 | 52 | 64 | 77 | 47 |
Для оценки начальных значений а(0) и b(0) применим линейную модель к первым 8 значениям Y(t) из таблицы 1. Линейная модель имеет вид:
Yp(t) = a(0) + b(0) * t
Определим коэффициенты линейного уравнения а(0) и b(0) по формулам:
Произведем расчеты в Excel (рис.1):
Рис .1 расчеты в Excel
Уравнение с учетом полученных коэффициентов имеет вид:
Yp(t) = 47 + 0,79*t
Из этого уравнения находим расчетные значения Yp(t) и сопоставляем их с фактическими значениями (рис. 2):
Рис. 2
Такое сопоставление позволяет оценить приближенные значения коэффициентов сезонности кварталов F(-3), F(-2), F(-1) и F(0) Эти значения необходимы для расчета коэффициентов сезонности первого года F(1), F(2), F(3), F(4) и других параметров модели Хольта –Уинтерса.
Рис. 3
Оценив значения а(0) и b(0), а также F(-3), F(-2), F(-1), F(0) перейдем к построению адаптивной модели Хольта Уинтерса.
Рассчитаем значения Yp(t), a(t), b(t), F(T) для t=1 значения параметров сглаживания α1=0,3, α2=0,6, α3=0,3.
Рис. 4
2. Проверка точности построенной модели.
Условие точности выполнено, если относительная погрешность в среднем не превышает 5%.
1,26%<5%, следовательно, условие точности выполнено.
3. Оценка адекватности построенной модели.
3.1 Проверка случайности уровней.
Гипотеза подтверждается если P > q, где
Функция int означает, что от полученного значения берется только целая часть.
Из таблицы P = 10, 6<10, т.е. можно заключить, что гипотеза выполнена.
3.2 проверка независимости уровней ряда остатков (отсутствия автокорреляции). Проверка проводится двумя методами:
а) по d-критерию Дарбина – Уотсона: табличные значения d1 = 1,08, d2 = 1,36
В данном случае имеет место отрицательная автокорреляция. В таком случае величину d уточняем, вычитая полученное значение из 4.
d’ = 4 – d = 4-2,53 = 1,48
Уточненное значение d сравниваем с табличными значениями d1 и d2, в данном случае d1=1,1 и d2=1,37.
Так как d2<1,48<2, то уровни ряда остатков являются независимыми.
б) по первому коэффициенту автокорреляции
Для нашей задачи критический уровень rтаб = 0,32 - значит уровни независимы.
3.3 Проверка соответствия ряда остатков нормальному распределению по R/S-критерию с критическими значениями от 3 до 4,21.
, где
, S = 0,93
Рис. 5
Полученное значение не попало в заданный интервал.
4. Построим точечный прогноз на 4 шага вперед.
Находим прогнозные значения экономического показателя для Yp(t)
Рис. 6
5. Отразим на графике расчетные, фактические и прогнозные данные.
Рис. 7 Сопоставление расчетных и фактических данных.
Из рисунка видно, что расчетные данные хорошо согласуются с фактическими, что говорит об удовлетворительном качестве прогноза.
Задание 2.
Даны цены (открытия, максимальная, минимальная и закрытия) за 10 дней. Интервал сглаживания принять равным пяти дням. Рассчитать:
-
экспоненциальную скользящую среднюю;
-
момент;
-
скорость изменения цен;
-
индекс относительной силы;
-
%R, %K и %D.
Расчеты выполнить для всех дней, для которых эти расчеты можно выполнить на основании имеющихся данных.
| Вариант 9 | ||||
| Дни | Цены | |||
| Макс. | Мин. | Закр. | ||
| 1 | 650 | 618 | 645 | |
| 2 | 680 | 630 | 632 | |
| 3 | 657 | 627 | 657 | |
| 4 | 687 | 650 | 654 | |
| 5 | 690 | 660 | 689 | |
| 6 | 739 | 685 | 725 | |
| 7 | 725 | 695 | 715 | |
| 8 | 780 | 723 | 780 | |
| 9 | 858 | 814 | 845 | |
| 10 | 872 | 840 | 871 | |
Решение:
Введем исходные данные:
Рис. 8
Экспоненциальная скользящая средняя (ЕМА) определяется по формуле:
EMAt = Ct*K + EMAt-1*(1- K)
Где
,
Ct – цена закрытия
n– интервал сглаживания, n=5
Для вычисления экспоненциальной средней сформируем таблицу:
Рис. 9
Момент (МОМ) рассчитывается как разница конечной цены текущего дня и цены n дней тому назад:
Рис. 10
Рис. 11
Движение графика момента вверх (рис. 11) свидетельствует о повышении цен.
Скорость изменения цен (ROC):
Рис. 12
Рис. 13
ROC является отражением скорости изменения цены , а также указывает направление этого изменения. В качестве нулевой линии используется уровень 100%. Нахождения индекса выше линии 100 и положительная динамика в 7-9 дни говорит о сигнале к покупке. На 7-8 день скорость изменения цен была максимальной.
Индекс относительной силы (RSI).
Значения RSI изменяются от 0 до 100. Этот индикатор может подавать сигналы либо одновременно с разворотом цен, либо с опережением, что является важным его достоинством.
Для его расчета применяется формула:
Где AU – сумма приростков конечных цен за n дней;
AD – суммы убыли конечных цен за n дней.
Повышение цены рассчитываем по формуле: =ЕСЛИ((H5-H4)>0;H5-H4;""), а понижение =ЕСЛИ((H4-H3)<0;ABS(H4-H3);"")
Рис. 14
Отобразим на графике полученные значения RSI (рис. 15).
Рис. 15
Зоны перепроданности располагаются обычно ниже 25-20, а перекупленности - выше 75-80. Сигналом служит разворот RSI в указанных зонах и выход из нее. Как видно из рисунка, индекс относительной силы вошел в зону, ограниченной линией 80%, на 6-10 день. Это значит, что цены поднялись слишком высоко, надо ждать их падения и подготовится к продаже. Сигналом к продаже послужит момент выхода графика из зоны перепроданности.
Стохастические линии.
Смысл индексов %К и %R состоит в том, что при росте цен цена закрытия бывает ближе к максимальной цена ,а при падении цен, наоборот, ближе к минимальной. Индексы %R и %К проверяют куда больше тяготеет цена закрытия.
Где %Kt – значение индекса текущего дня;
Ct – цена закрытия текущего дня;
L5 и H5 – соответственно минимальная и максимальная цены за 5 предшествующих дней, включая текущий.
Где %Rt – значение индекса текущего дня, t;
Ct – цена закрытия текущего дня t;
Ln и Hn – соответственно минимальная и максимальная цены за n предшествующих дней, включая текущий.
Составим таблицу расчета индексов стохастических линий и заполним ее (рис. 18).
В ячейку Е8 введем формулу =МАКС(B4:B8) и размножим ее, а в ячейку F8 формулу =МИН(C4:C8) и тоже размножим (рис. 16)
Рис. 16
В ячейку G8 введем формулу =D8-F8, в H8 =E8-D8, в I8 =E8-F8 и размножим их (рис. 17).
Рис. 17
Далее рассчитаем индексы (рис. 18).
Рис. 18 расчет индексов стохастических линий.
Медленное %D рассчитывается по формуле =СРЗНАЧ(N10:N12).
Критические значения %К (зона перекупленности) свидетельствуют о том, что можно ожидать скорого разворота тренда, т.е. падения цен. Как видно из графика и из таблицы если цена закрытия ближе к максимальной цене, то наблюдается рост цен , в противном случае, падение (рис. 19).
Рис. 19 Ценовой график.
Задание 3.
Выполнить различные коммерческие расчеты, используя данные, приведенные в таблице. В условии задачи значения параметров приведены в виде переменных. Например, S означает некую сумму средств в рублях, Тлет - время в годах, i - ставку в процентах и т.д. По именам переменных из таблицы необходимо выбрать соответствующие численные значения параметров и выполнить расчеты.
| Вариант | Сумма | Дата начальная | Дата конечная | Время в днях | Время в годах | Ставка | Число начислений |
| S | TH | TK | Tдн | Tлет | I | m | |
| 9 | 4500000 | 09.01.02 | 21.03.02 | 90 | 5 | 50 | 4 |
3.1 Банк выдал ссуду, размером S руб. Дата выдачи ссуды - TH , возврата - TK . День выдачи и день возврата считать за 1 день. Проценты рассчитываются по простой процентной ставке i% годовых.
Найти:
3.1.1) точные проценты с точным числом дней ссуды;
3.1.2) обыкновенные проценты с точным числом дней ссуды;
3.1.3) обыкновенные проценты с приближенным числом дней ссуды.
3.2 Через Tдн дней после подписания договора должник уплатит S руб. Кредит выдан под i% годовых (проценты обыкновенные). Какова первоначальная сумма и дисконт?
3.3Через Tдн дней предприятие должно получить по векселю S руб. Банк приобрел этот вексель с дисконтом. Банк учел вексель по учетной ставке i% годовых (год равен 360 дням). Определить полученную предприятием сумму и дисконт.
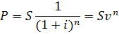
3.4 В кредитном договоре на сумму S руб. и сроком на Tлет лет, зафиксирована ставка сложных процентов, равная i% годовых . Определить наращенную сумму.
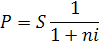
3.5 Ссуда, размером S руб. предоставлена на Тлет . Проценты сложные, ставка i% годовых. Проценты начисляются m раз в году. Вычислить наращенную сумму.
3.6 Вычислить эффективную ставку процента, если банк начисляет проценты m раз в году, исходя из номинальной ставки i% годовых.
3.7 Определить, какой должна быть номинальная ставка при начислении процентов m раз в году, чтобы обеспечить эффективную ставку i% годовых.
3.8 Через Тлет предприятию будет выплачена сумма S руб. Определить ее современную стоимость при условии, что применяется сложная процентная ставка i% годовых.
3.9 через Тлет по векселю должна быть выплачена сумма S руб. Банк учел вексель по сложной учетной ставке i% годовых. Определить дисконт.
3.10 В течение Тлет на расчетный счет в конце каждого года поступает по S руб., на которые m раз в году начисляются проценты по сложной годовой ставке i%. Определить сумму на расчетном счете к концу указанного срока.
Решение.
3.1Используем формулу:
3.1.1 К = 365, t = 71,
3.1.2 К = 360, t = 71,
.
3.1.3 К = 360, t = 71,
3.2 Используем формулы:
3.3 Используем формулы:
3.4 Используем формулу:
Где n – срок ссуды
3.5 Используем формулу:
3.6 Используем формулу:
3.7 Используем формулу:
3.8 Используем формулу:
3.9 Используем формулы:
3.10 Используем формулу:
21
Характеристики
Тип файла документ
Документы такого типа открываются такими программами, как Microsoft Office Word на компьютерах Windows, Apple Pages на компьютерах Mac, Open Office - бесплатная альтернатива на различных платформах, в том числе Linux. Наиболее простым и современным решением будут Google документы, так как открываются онлайн без скачивания прямо в браузере на любой платформе. Существуют российские качественные аналоги, например от Яндекса.
Будьте внимательны на мобильных устройствах, так как там используются упрощённый функционал даже в официальном приложении от Microsoft, поэтому для просмотра скачивайте PDF-версию. А если нужно редактировать файл, то используйте оригинальный файл.
Файлы такого типа обычно разбиты на страницы, а текст может быть форматированным (жирный, курсив, выбор шрифта, таблицы и т.п.), а также в него можно добавлять изображения. Формат идеально подходит для рефератов, докладов и РПЗ курсовых проектов, которые необходимо распечатать. Кстати перед печатью также сохраняйте файл в PDF, так как принтер может начудить со шрифтами.















