181204 (584154)
Текст из файла
План
-
Методи обчислення дисперсії
-
Задача №6
-
Задача №12
-
Задача №18
-
Задача №24
1. Методи обчислення дисперсії
Статистична дисперсія (від англ. statistical dispersion) — ступінь відхилення або зміни значень змінній від центрального пункту. Статистична дисперсія розраховується як різниця між значенням середньою квадратів варіюючої ознаки і квадратом середнього значення цієї ознаки. Дисперсія є базовим інструментом для статистичної оцінки варіації розподілу. Якщо значення ознаки розподілу ідентичні, то дисперсія рівна нулю. Дисперсія не може бути негативною величиною.
Умови існування і розвитку окремих одиниць сукупності певною мірою різні, що позначається і на відмінності значень у них узятої нами ознаки. Середня величина відображає ці середні умови.
Середнє лінійне відхилення дає узагальнену характеристику ступеня тієї, що коливається ознаки в сукупності. Проте при його численні доводиться допускати некоректні з погляду математики дії, порушувати закони алгебри, що спонукало математиків і статистиків шукати інший спосіб оцінки варіації для того, щоб мати справу тільки з позитивними величинами. Найпростіший вихід - звести всі відхилення в другий ступінь.
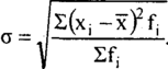
Отримана міра варіації називається дисперсією, а корінь квадратний з дисперсії - середнім квадратичним відхиленням. Ці показники є загальноприйнятими заходами варіації і часто використовуються в статистичних дослідженнях, а також в техніці, біології і інших галузях знань. Дані показники знайшли також своє широке застосування в міжнародній практиці обліку і статистичного аналізу, зокрема в системі національного рахівництва.
Середнє квадратичне відхилення - це узагальнююча характеристика розмірів варіації ознаки в сукупності. Воно виражається в тих же одиницях вимірювання, що і ознака (у метрах, тоннах, рублях, відсотках і т. д.).
Дисперсія - середній квадрат відхилень індивідуальних значень ознаки від їх середньої величини.
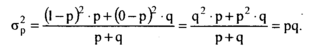
Серед безлічі варіюючих ознак, що вивчаються статистикою, існують ознаки, якими володіють одні одиниці сукупності і не володіють інші. Ці ознаки називаються альтернативними. Прикладом таких ознак є: наявність бракованої продукції, вчений ступінь у викладача вузу, робота по отриманій спеціальності і так далі. Варіація альтернативної ознаки кількісно виявляється в значенні нуля у одиниць, які цією ознакою не володіють, або одиниці у тих, які дану ознаку мають.
Хай р - частка одиниць в сукупності, що володіють даною ознакою (р = m/n); q - частка одиниць, що не володіють даною ознакою, причому р + q = 1. Альтернативну ознаку приймає всього два значення - 0 і 1 з вагами відповідно q і р. Обчислений середнє значення альтернативної ознаки по формулі середньої арифметичної:
Дисперсія альтернативної ознаки визначається по формулі:
Таким чином, дисперсія альтернативної ознаки рівна твору частки на доповнюючи цю частку до одиниці число. Корінь квадратний з цього показника відповідає середньому квадратичному відхиленню альтернативної ознаки.
Показники варіації альтернативних ознак широко використовуються в статистиці, зокрема при проектуванні вибіркового спостереження, обробці даних соціологічних обстежень, статистичному контролі якості продукції, у ряді інших випадків.
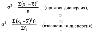
Буває необхідно прослідкувати кількісні зміни ознаки по групах, на які розділяється сукупність, а також і між групами. Таке вивчення варіації досягається за допомогою обчислення і аналізу різних видів дисперсії.
Виділяють дисперсію загальну, міжгрупову і внутрішньогрупову. Загальна дисперсія вимірює варіацію ознаки у всій сукупності під впливом всіх чинників, що зумовили цю варіацію.
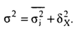
Існує закон, що зв'язує три види дисперсії. Загальна дисперсія рівна сумі середньої з внутрішньогрупових і міжгруповою дисперсій:
Дане співвідношення називають правилом складання дисперсій. Згідно цьому правилу, загальна дисперсія, що виникає під дією всіх чинників, рівна сумі дисперсії, що з'являється під впливом всіх інших чинників, і дисперсії, що виникає за рахунок группировочного ознаки.
Знаючи будь-які два види дисперсій, можна визначити або перевірити правильність розрахунку третього вигляду.
2. Задача №6
Виробництво хімічних волокон і ниток становили, в млн. грн.:
| 2003 р. | 2004 р. | 2005 р. | |
| Штучні волокна і нитки | 2,3 | 1,6 | 3,5 |
| Синтетичні волокна і нитки | 2,7 | 2,4 | 4,8 |
Визначити по кожному волокну:
-
Базисні та ланцюгові темпи зростання та приросту.
-
Середньорічні темпи зростання та приросту.
Здійснити аналіз:
-
Зміни виробництва волокон по відношенню до минулого року.
-
Зміни виробництва волокон по відношенню до базисного року.
Среднегодовой темп роста выпуска товаров:
Среднегодовой темп прироста выпуска товаров:
| П Год | уц | уб | Тц | Тб | Тц % | Тб % |
| 2003 | ----- | ----- | ----- | 1 | ----- | ----- |
| 2004 | -0,7 | -0,7 | 69,56 | 69,56 | -30,43 | -30,43 |
| -0,3 | -0,3 | 88,89 | 88,89 | -11,11 | -11,11 | |
| 2005 | 1,9 | 1,2 | 218,75 | 152,17 | 118,75 | 52,17 |
| 2,4 | 2,1 | 200 | 117,78 | 100 | 77,78 |
Рассчитываем среднегодовые темп роста и темп прироста по формулам
Среднегодовой темп роста
3. Задача № 12
Є такі дані про чисельність населення України і виробництво цукру–піску:
| Рік | 1994 р. | 1995 р. | 1996 р. |
| Чисельність населення на початок року, млн.чол. | 52,1 | 51,7 | 51,3 |
| Виробництво цукру-піску, млн.т. | 3,4 | 3,9 | 3,3 |
Обчисліть:
-
Середні рівні рядів динаміки;
-
Середньорічні абсолютні прирости зменшення і середньорічні темпи зростання (зниження). Проаналізуйте обчислені показники.
4. Задача № 18
Слюсарі ремонтного цеху у березні отримали таку заробітню платню:
| З/п, грн. | 204 | 212 | 215 | 225 | 240 | 244 | 250 | 260 |
| Число слюсарів | 2 | 3 | 4 | 6 | 2 | 3 | 3 | 2 |
Розрахувати розміри середньої заробітньої платні за місяць одного слюсаря:
а) для всієї сукупності слюсарів;
б) для тих слюсарів, які мають заробітню платню вищу загального середнього;
в) для тих слюсарів, які мають заробітню платню нижчу загального середнього.
5. Задача № 24
Собівартість і обсяг продукції підприємства характеризується такими даними:
| Вид виробів | Собівартість одиниці продукції, грн. | Вироблено продукції, тис.шт. | ||||
| Базисний період | Звітний період | Базисний період | Звітний період | |||
| А | 30 | 29 | 120 | 125 | ||
| Б | 24 | 20 | 140 | 50 | ||
| В | 8 | 9 | 90 | 76 | ||
Визначте:
Індивідуальні індекси собівартості і фізичного обсягу продукції; загальний індекс собівартості; суму економії від зміни собівартості.
7
Характеристики
Тип файла документ
Документы такого типа открываются такими программами, как Microsoft Office Word на компьютерах Windows, Apple Pages на компьютерах Mac, Open Office - бесплатная альтернатива на различных платформах, в том числе Linux. Наиболее простым и современным решением будут Google документы, так как открываются онлайн без скачивания прямо в браузере на любой платформе. Существуют российские качественные аналоги, например от Яндекса.
Будьте внимательны на мобильных устройствах, так как там используются упрощённый функционал даже в официальном приложении от Microsoft, поэтому для просмотра скачивайте PDF-версию. А если нужно редактировать файл, то используйте оригинальный файл.
Файлы такого типа обычно разбиты на страницы, а текст может быть форматированным (жирный, курсив, выбор шрифта, таблицы и т.п.), а также в него можно добавлять изображения. Формат идеально подходит для рефератов, докладов и РПЗ курсовых проектов, которые необходимо распечатать. Кстати перед печатью также сохраняйте файл в PDF, так как принтер может начудить со шрифтами.
оказатели













