179269 (583746)
Текст из файла
Содержание:
1. Общие индексы. Индексы структурных сдвигов. Их значение. 3
2. Отрасль как объект изучения промышленности 7
2.1.Промышленность как объект статистического изучения 7
2.2. Предмет и метод статистики промышленности 11
2.3. Система статистических показателей 12
Задача 15
1. Общие индексы. Индексы структурных сдвигов. Их значение
Для характеристики различных явлений и процессов экономической жизни в ряде случав недостаточно применения рассмотренных методов и приемов. Возникает необходимость в особых показателях сравнения, которые представляли бы собой некоторый синтез средних и относительных величин. Ими и являются индексы. Латинское index (индекс) в переводе на русский язык означает «показатель» или «указатель».
В статистике обычно ими принято называть относительные показатели, выражающие изменение во времени или пространстве социально-экономических явлений. Так, при помощи индексов можно определить, как изменились объем нескольких видов разнородной продукции, цены на несколько видов различных товаров, себестоимость нескольких видов изделий, производительность труда, урожайность сельскохозяйственных культур и т. д.
Индексы широко применяются для изучения изменений явлений во времени и в пространстве: динамики, сравнения уровней экономического развития по территории (отдельных хозяйств, районов, стран), для исчисления темпов экономического развития народного хозяйства и отдельных его отраслей, для анализа влияния отдельных факторов на перемену изучаемых показателей, для оценки влияния структурных сдвигов на изменение сложных показателей и др.
Важное значение индексы имеют при расчете и оценке резервов повышения эффективности производства, роста производительности труда. Умелое их применение позволяет разносторонне и глубже проанализировать производственную деятельность организаций АПК, вскрыть, рассчитать и оценить неиспользованные резервы.
По степени охвата элементов совокупности различают индивидуальные, групповые и общие индексы.
Общие индексы характеризуют изменение всей совокупности в целом. Их можно исчислить двумя способами: первый заключается в том, что сначала отыскивают общие соизмерители (веса) для индексируемых величин отчетного и базисного периодов, рассчитывают произведения, которые суммируют, и затем исчисляют отношение этих двух сумм. При втором способе сначала исчисляют индивидуальные индексы, характеризующие изменение отдельных элементов сложного явления, а затем — среднюю величину изменений всех сопоставимых элементов. Общие индексы, исчисленные первым способом, называются агрегатными, а вторым — средними.
В зависимости от базы сравнения различают базисные и цепные индексы. И индивидуальные, и общие, они могут быть рассчитаны только в том случае, если имеются данные не за 2, а за 3-5 и более периодов, или по 3-5 и более сравниваемым объектам.
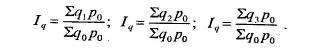
Индексы, исчисляемые путем сравнения данных поочередно каждого последующего с данными одного периода, принятого за базу сравнения, называются базисными. Например, общими базисными индексами физического объема товаров являются следующие:
При этом отметим, что в знаменателе этих индексов общая (единая) база сравнения.
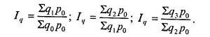
Индексы, исчисляемые путем сравнения данных каждого последующего периода с данными каждого предыдущего периода, принято называть цепными. Общие цепные индексы физического объема товаров за ряд периодов можно выразить следующим образом:
В знаменателе цепных индексов база сравнения систематически меняется.
Явления природы, общества, человеческого мышления отличаются чрезвычайной сложностью, т. е. состоят из большого числа элементов. Поэтому при статистическом изучении любых объектов нередко приходится рассчитывать и оценивать относительные показатели структуры.
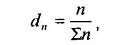
Относительные показатели структуры представляют собой соотношение абсолютного показателя, характеризующего количественную часть какого-либо целого, и абсолютного показателя, выражающего это целое. Из этого определения следует, что при исчислении относительных показателей структуры в качестве базы сравнения берется абсолютный показатель целого, т. е. общий итог по какому-либо показателю, а в качестве сравниваемых — абсолютные значения отдельных его частей. Расчет относительных показателей структуры в общем виде можно выразить формулой:
где dn — доля каждой составной части в составе сложного явления; п — абсолютное значение каждой составной части сложного признака; ∑n — общая абсолютная сумма составных частей сложного признака.
Относительные показатели структуры характеризуют качественный состав, т. е. внутреннее строение сложных признаков, и нацелены на раскрытие подробного содержания явлений.
Относительные показатели структуры могут быть выражены в долях единицы (разах), удельных весах (%, ‰, %оо). Структуру сложного признака в долях чаще всего выражают в тех случаях, когда он состоит из двух частей. В случае, если признак состоит из довольно большого числа частей, его структуру целесообразно выражать в удельных весах (%).
Иногда в составе сложного признака могут быть не только крупные по абсолютной величине, но и мелкие, играющие повышенную роль, составные элементы. В такой ситуации при расчете относительных показателей структуры приходится удельные веса исчислять в промилле или продецимилле. Например, в составе продуктов питания абсолютное количество различных микроэлементов в одном килограмме продукта, допустим, хлеба, измеряется несколькими граммами или даже миллиграммами. В то же время эти микроэлементы играют важнейшую роль в жизнедеятельности человека. Поэтому при расчете такого рода относительных показателей структуры удельные веса отдельных составных элементов наиболее целесообразно выражать в продецимилле. Так, удельный вес калия в ржаном хлебе составляет 3-5 % о о, а калия в молоке — 2-4 ‰.
2.Отрасль как объект изучения промышленности
2.1.Промышленность как объект статистического изучения
В соответствии с Международной стандартной отраслевой классификацией (МСОК) виды деятельности по производству продукции и оказанию услуг классифицированы и сгруппированы в отрасли, причем под видом деятельности понимается процесс, приводящий к получению однородного набора продукции (товаров или услуг).
Отрасль - это совокупность всех производственных единиц, осуществляющих преимущественно одинаковый или сходный вид производственно-хозяйственной деятельности.
Промышленность можно рассматривать как вид трудовой деятельности людей, как крупную отрасль экономики и как совокупность хозяйственных отраслей, каждая из которых характеризуется общностью технологии производства, однородностью используемого сырья, единством назначения производимой продукции.
В широком понимании промышленность - это отрасль материального производства, представляющая собой совокупность специально созданных самостоятельных предприятий, цехов, производственных объединений, в которых организованный труд людей направлен на добычу природных ресурсов, их переработку в готовую продукцию и на ремонт оборудования.
Выделяются две крупные части промышленности: добывающая и обрабатывающая. В добывающей промышленности деятельность людей включает добычу природных ресурсов минерального, растительного и животного происхождения, а также водо-газоснабжение и эксплуатацию гидроэлектростанций. В обрабатывающей промышленности происходит переработка продуктов добывающей промышленности, сельского, лесного хозяйства и ремонт оборудования.
Промышленность состоит из ряда отраслей, которые, исходя из функционального назначения продукции, объединяются в сеть межотраслевых комплексов:
-
топливно-энергетический;
-
металлургический;
-
машиностроительный;
-
химико-лесной;
-
промышленность строительного комплекса;
-
легкая промышленность;
• перерабатывающие отрасли агропромышленного комплекса.
Объектом изучения статистики промышленности является промышленность как экономическая и хозяйственная отрасль.
Первичным звеном материального производства и носителем явлений и процессов производственно-хозяйственного характера (т.е. субъектом хозяйствования) выступает промышленное предприятие -самостоятельный хозяйствующий субъект с правами юридического лица, который на основе использования трудовым коллективом имущества производит и реализует продукцию, выполняет работы, оказывает услуги в сфере промышленной деятельности. Главной задачей предприятия является осуществление производственно-хозяйственной деятельности, направленной на получение прибыли и удовлетворение социально-экономических интересов членов трудового коллектива и собственника имущества предприятия.
Все предприятия независимо от их вида и формы собственности (государственной, частной, коллективной, смешанной) осуществляют деятельность на принципах хозяйственного расчета.
Важная роль в сфере материального производства в условиях рыночной экономики принадлежит предпринимательству - самостоятельной деятельности граждан, направленной на получение прибыли, осуществляемой от своего имени, на свой риск и под свою имущественную ответственность.
Деятельность производственных единиц подразделяется на основную, побочную и вспомогательную. Основным видом деятельности является деятельность, дающая наибольший вклад в создание добавленной стоимости. Для промышленности основным отраслевым видом деятельности является промышленно-производственная деятельность. Побочным видом деятельности является деятельность, при которой производится продукция других отраслей. К вспомогательным относятся виды деятельности, обеспечивающие продукцией и услугами основные производственные виды деятельности. Результат вспомогательных видов деятельности всегда предназначен для j промежуточного потребления в границах рассматриваемого объекта промышленности.
В национальной статистике классификация видов экономической деятельности строится таким образом, чтобы она включала все или
почти все виды деятельности, осуществляемые в какой-либо отрасли. В Республике Беларусь в соответствии с принципами Системы национальных счетов (СНС) разработан общегосударственный классификатор экономической деятельности (ОКЭД), в котором все виды деятельности объединены в сводные категории, состоящие из 17 разделов, обозначаемых буквами латинского алфавита (см. Приложение), и множества подразделов. При определении вида деятельности в ОКЭД не учитываются различия в форме собственности и юридическом статусе хозяйствующего субъекта, а также не проводится различие между материальной и нематериальной сферами деятельности.
С технологической точки зрения промышленное предприятие может подразделяться на производства — технически законченные ступени сложного производственного процесса. Например, на автомобильном заводе можно выделить производства шасси, радиаторов, кузовов и др. Если предприятие имеет одно производство, то оно называется простым, а если несколько - то сложным.
Со структурно-организационной точки зрения промышленное предприятие, как правило, делится на производственные цеха и отделы, хотя небольшие предприятия могут иметь бесцеховую структуру.
Цех - это административно выделенная часть предприятия, имеющая руководителя, производственный план, являющийся частью плана предприятия, собственную систему учета, внутризаводской хозрасчет, но без самостоятельного баланса.
Цеха и отделы промышленного предприятия подразделяются на промышленно-производственные и непромышленные.
Непромышленные подразделения либо производят непромышленную продукцию (строительство, сельское хозяйство, торговля и др.), либо обслуживают непроизводственные нужды работников предприятия(столовая, здравпункт, Дом культуры и др.)-
Промышленно-производственные подразделения обслуживают процесс производства, производят промышленную продукцию и обеспечивают необходимые для этого условия, поэтому их деятельность называют основной или промыпшенно-производственной. В зависимости от функций на предприятии эти подразделения (цеха) разделяются на:
-
основные - выпускающие готовые изделия, для производства
которых и создано предприятие; -
подсобные - выпускающие тару для упаковки основной продукции;
-
побочные - выпускающие продукцию из отходов основного производства, а также продукцию, не связанную с основной деятельностью;
-
вспомогательные - выпускающие продукцию, которая не является основной для данного предприятия, но необходима для функционирования основных подразделений.
2.2. Предмет и метод статистики промышленности
Статистика промышленности, как и любая самостоятельная наука, имеет свой предмет, использует методы и приемы исследования.
Она относится к экономическим наукам. Действия и проявления экономических законов в области промышленности изучают многие экономические науки: политическая экономия, экономика промышленности, планирование, бухгалтерский учет и др. При общности объекта изучения статистика промышленности отличается от других наук своим предметом.
Предмет статистики промышленности — количественная сторона массовых явлений и процессов, представляющих факторы и результат промышленного производства в конкретных условиях места и времени. Количественная определенность статистических категорий и закономерностей неразрывно связана с их качественным своеобразием, что является главной особенностью статистической методологии.
Основные направления статистического изучения промышленно-производственной деятельности представлены схематично на рис.1.
Характеристики
Тип файла документ
Документы такого типа открываются такими программами, как Microsoft Office Word на компьютерах Windows, Apple Pages на компьютерах Mac, Open Office - бесплатная альтернатива на различных платформах, в том числе Linux. Наиболее простым и современным решением будут Google документы, так как открываются онлайн без скачивания прямо в браузере на любой платформе. Существуют российские качественные аналоги, например от Яндекса.
Будьте внимательны на мобильных устройствах, так как там используются упрощённый функционал даже в официальном приложении от Microsoft, поэтому для просмотра скачивайте PDF-версию. А если нужно редактировать файл, то используйте оригинальный файл.
Файлы такого типа обычно разбиты на страницы, а текст может быть форматированным (жирный, курсив, выбор шрифта, таблицы и т.п.), а также в него можно добавлять изображения. Формат идеально подходит для рефератов, докладов и РПЗ курсовых проектов, которые необходимо распечатать. Кстати перед печатью также сохраняйте файл в PDF, так как принтер может начудить со шрифтами.
















