166194 (582596), страница 3
Текст из файла (страница 3)
Лабильные ПAВ, гидролизующиеся в щелочной среде
Нормальные сложные эфиры четвертичных аммониевых солей
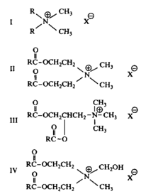
Название сложные эфиры четвертичных аммониевых солей относится к соединениям общей формулы ILN+X, в которых длинноцепочечные радикалы R присоединены к заряженной группе через сложноэфирную связь. Под нормальными эфирами ЧАС подразумеваются ПАВ, молекулы которых состоят из сложных эфиров одной или более жирной кислоты и кватернизированного ами-носпирта. На рис. 13 в качестве примеров приведены три эфира ЧАС, содержащие у атома азота по два длинноцепочечных и два короткоцепочечных заместителя. На этом рисунке приведено также исходное ПАВ — ЧАС, не содержащее лабильной связи. Видно, что молекулы таких ПАВ содержат два атома углерода между сложноэфирной связью и атомом азота, несущим положительный заряд. Гидролиз сложноэфирной связи в соединениях II-IV приводит к образованию солей жирных кислот и хорошо растворимых в воде двух- или трехатомных кватернизированных аминоспиртов. Эти продукты обнаружили низкую токсичность в тестах на рыбах. Дальше они разрушаются по установленному метаболизму. В целом по экологическим тестам сложные эфиры ЧАС гораздо лучше обычных ЧАС.
Рис. 13. Структуры обычного четвертичного аммониевого ПАВ и трех сложных эфиров ЧАС; R — длинная алкильная цепь, X — Cl, Br или CH3SO4
В последние 10-15 лет диалкилэфирные ЧАС заметно вытесняют устойчивые диалкильные ЧАС в качестве мягчителей в промывочных циклах, что составляет самую большую область применения четвертичных аммониевых соединений. Отказ от устойчивых диалкильных ЧАС и переход на использование диалкилэфирных ЧАС представляет наиболее значительное изменение типа продукта в истории ПАВ и всецело связан с защитой окружающей среды. В отличие от устойчивых ЧАС эфирные ЧАС характеризуются прекрасными показателями биоразлагаемости и токсичности в водной среде. Эти ПАВ полностью или частично вытеснили обычные ЧАС и в других областях применения катионных ПАВ, например в средствах ухода за волосами и других промышленных композициях.
Катионный заряд вблизи сложноэфирной связи делает нормальные эфиры ЧАС необычайно стабильными в кислых и лабильными в щелочных средах. Такая сильная зависимость от рН может быть использована для инициирования быстрого разложения ПАВ. Этот эффект еще больше проявляется у эфиров бетаина. Механизм их гидролиза подробно обсуждается ниже. Зависимость от рН скорости гидролиза эфиров ЧАС показана на рис. 14. Видно, что скорость гидролиза минимальна при рН 3-4 и резко увеличивается при рН выше 5-6. Понятно также, что композиции, содержащие сложные эфиры ЧАС, должны использоваться при низких рН.
Рис. 14. Влияние рН на гидролитическую стабильность дицетилового сложного эфира хлорида бисаммония при 25°С
Эфиры бетаина
Скорость щелочного гидролиза зависит от расположенных близко к эфирной связи электроноакцепторных или электронодонорных групп. Четвертичная аммониевая группа является сильным акцептором электронов. Индуктивный эффект приводит к снижению электронной плотности на сложноэфирной связи, что облегчает инициирование щелочного гидролиза, который начинается с нук-леофильной атаки гидроксильными ионами углерода карбонильной группы. Соединения II-IV содержат по два атома углерода между аммониевым азотом и кислородом эфирной связи. Скорость щелочного гидролиза таких эфиров превосходит скорости гидролиза эфиров, не имеющих соседних зарядов, хотя различие не очень велико. Если же заряд расположен с другой стороны эфирной связи, скорость гидролиза существенно увеличивается. Такие эфиры чрезвычайно лабильны в щелочной среде и очень устойчивы в сильнокислой. Столь значительное влияние аммониевой группы на скорости щелочного и кислотного гидролиза обусловлено явлениями стабилизации / дестабилизации основного состояния. Отталкивание положительно заряженного атома углерода карбонильной группы и положительно заряженного атома азота ослабляется атакой ионов гидроксила и увеличивается при протонировании. Суммарный эффект заключается в том, что по сравнению со сложными эфира-ми, не имеющими катионного заряда, скорость щелочного гидролиза увеличивается в 200 раз, а скорость кислотного гидролиза уменьшается в 2000 раз. Для поверхностно-активных сложных эфиров бетаина и динноцепочечных алифатических спиртов скорость щелочного гидролиза увеличивается еще больше, поскольку протекает по механизму мицеллярного катализа. Однако присутствие крупных, поляризуемых противоионов, например бромид-ионов, может полностью выключать мицеллярный катализ.
Рис. 15. Механизм кислотного и щелочного гидролиза эфиров бетаина
Исключительно сильная зависимость от рН поведения поверхностно-активных эфиров бетаина делает их чрезвычайно перспективными разрушающимися катионными ПАВ. Время их жизни в кислотных средах очень большое, а скорость гидролиза зависит от рН, при которых эти вещества используются. Одно-цепочечные ПАВ этого типа были предложены в качестве «временных» бактерицидов в средствах гигиены, для дезинфекции в пищевой промышленности и в других отраслях, где требуется кратковременное бактерицидное действие. Распад эфира бетаина, обладающего бактерицидным действием, с образованием безвредных продуктов показан на рис. 16. В патентной литературе описаны сложные эфиры бетаина с двумя длинноцепо-чечными алкильными группами.
Другие сложные эфиры
Как уже упоминалось, одной из целей использования ПАВ с ограниченной устойчивостью является получение продукта распада, обладающего новыми свойствами. Рис. И. 17 иллюстрирует эту концепцию: ПАВ с хорошим моющим действием разрушается в щелочной среде с образованием гидрофобного алифатического спирта. ПАВ такого типа представляют интерес для комбинации чистки и гидрофобизации, например при чистке палаток, плащей и т. д. При соответствующем контроле рН этих композиций текстильные изделия стираются и гидрофобизируются в одностадийном процессе.
Наиболее часто используемый путь получения разрушающихся ПАВ заключается в введении в молекулы связей, лабильных в кислых или щелочных средах.
Рис. 16. Щелочной гидролиз катионного ПАВ, обладающего бактерицидным действием, с образованием алифатического спирта и бетаина
Рис. 17. Щелочной гидролиз анионного ПАВ с образованием гидрофобного алифатического спирта и водорастворимого малеата
Разрабатываются и другие подходы. Например, были получены и исследованы ПАВ, разрушающиеся при облучении ультрафиолетом. В результате фотохимического разрушения образуются соединения, не обладающие поверхностной активностью. Такой подход представляет интерес, поскольку он позволяет достичь максимально быстрого разложения ПАВ.
Особый интерес фотолабильные ПАВ представляют при использовании их в качестве эмульгаторов в процессах эмульсионной полимеризации. Использование фотолабильных эмульгаторов открывает возможность простого контроля за процессом коагуляции латексов путем облучения влажной пленки ультрафиолетом. Ионные полярные группы ПАВ отщепляются в результате фотолиза, приводя к агрегированию частиц латекса. Для таких целей были предложены ПАВ с диазосульфонатной полярной группой. При ультрафиолетовом облучении диазо-связь разрушается, и ПАВ разлагается с образованием сульфит-иона и гидрофобного остатка, не обладающих поверхностной активностью. Этот подход также перспективен, поскольку ультрафиолетовое облучение часто используется при создании разнообразных покрытий.
Другой пример УФ-лабильных ПАВ — двухцепочечные ПАВ, содержащие Co в качестве комплексообразующего агента для двух одноцепочечных ПАВ с этилендиаминовыми полярными группами. УФ-Облучение или просто солнечный свет вызывают восстановление Co до Co. Последний образует очень лабильный комплекс, и двухцепочечное ПАВ мгновенно разлагается на два одноцепочечных остатка.
В качестве примеров экологически безопасных ПАВ были синтезированы озон-лабильные соединения. Такие ПАВ, содержащие ненасыщенные связи, легко разрушаются при озонировании воды, которое становится важнейшим способом ее очистки. Вполне вероятно, что в ближайшем будущем будут разработаны новые методы разрушения ПАВ в окружающей среде, основанные на создании новых структур ПАВ с хорошими экологическими показателями.
















